熱線:021-66110810,66110819
手機:13564362870

熱線:021-66110810,66110819
手機:13564362870
圖 1、對照組、改良1組、改良4組和改良12組在 SWI 時 DO(I)、Eh(II)和 pH(III)的微分曲線。虛線表示 SWI 值。
圖2、在為期 80 天的培養過程中,對照組、 Amend1 組、 Amend4 組和 Amend12 組上層水中的 SRP 濃度持續變化(a),以及對照組、 Amend1 組、 Amend4 組和 Amend12 組培養結束時 0 - 2 厘米沉積物中的不同磷組分(OP、IP、HCl-P、NaOH-P、TP)的含量變化(b)。每個樣本的數值以平均值及標準誤差的形式呈現(n = 3),誤差條上方的星號表示存在顯著差異(p < 0.05)。
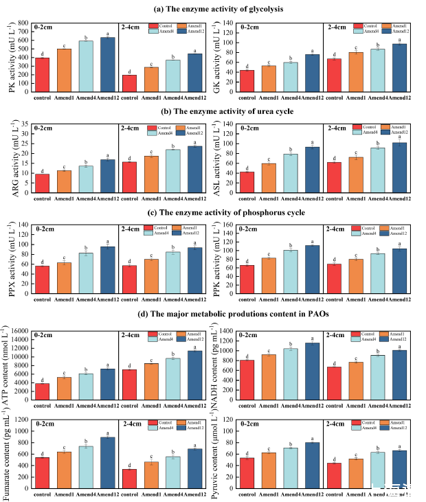
圖3、死亡藻類對沉積物 0 - 2 厘米范圍內微生物代謝中糖酵解(a)、尿素循環(b)、磷循環(c)以及主要代謝產物含量(d)(在微生物氨氧化作用中)在 80 天培養后的關鍵酶活性的影響(在糖酵解中,GK 和 PK 分別為葡萄糖激酶和丙酮酸激酶;在尿素循環中,ARG 和 ASL 分別為精氨酸和精氨琥珀酸裂解酶;在磷循環中,PPX 和 PPK 分別為多聚磷酸酶和多聚磷酸激酶)。結果以與每個對照組相比的百分比形式呈現,平均值并標有標準誤差(n = 3)。不同的字母表示存在顯著差異。
圖4、在PAO菌群的P循環過程中,典型微生物葡萄糖代謝(糖酵解和三羧酸循環)以及尿素循環的示意圖。PHA(蛋白質激素結合劑)(聚羥基脂肪酸酯)、GK(葡萄糖激酶)、PK(丙酮酸激酶)、GAPDH(甘油醛-3-磷酸脫氫酶)、SDH(琥珀酸脫氫酶)、OTC(鳥氨酸轉氨甲酰酶)、ASL(精氨酸琥珀酸裂解酶)、ARG(精氨酸)以及 ASS1(精氨酸琥珀酸合酶 1)均在該圖中有所展示。
圖5、對 P 分子與沉積物性質之間關系的層狀分析。該相關性熱圖展示了死亡藻類沉積后不同物理、化學和生物因素之間的相關性,左側的線條表示水體和沉積物中各種磷濃度與 SWI 的物理、化學和生物因素之間的相關程度及顯著性。通過皮爾遜分析對水相沉積物系統中不同磷形式之間的相關關系進行了研究,顯著性以標記形式表示。
結論與展望
由于水體營養水平的提升,藻華頻繁發生。這些藻華聚集的藻類最終死亡并積累在沉積物表面,影響水生系統的微環境和磷循環。然而關于自然死藻沉積對沉積物內源磷釋放影響的研究尚缺乏。在本研究中,研究人員通過評估微生物代謝和群落結構,調查了不同濃度死藻沉積對沉積物磷釋放的長期影響及其潛在機制。結果表明死藻沉積后,磷從沉積物向水體的釋放在第40天達到峰值(Amend12組為0.14±0.017 mg/L),且在沉積物-水界面的SRP(溶解性活性磷)交換能力在階段1(0-3天)達到最大(Amend12組為6.09±1.63 mg/(cm2·d))。這可能主要歸因于死藻沉積引入了大量有機質(如有機碳和有機磷),從而改變了沉積物微環境,通過增加碳源代謝、減少細胞內氨抑制和創造更適宜的厭氧條件,提高了磷循環微生物(如聚磷菌)的活性。因此,本研究提高了我們對富營養化淺水湖泊控制內源磷釋放管理策略的理解,表明通過在水華高峰期收割藻類可以減輕新鮮沉積藻類的啟動效應。Unisense微電極系統用來精確測量沉積物剖面的關鍵物理化學參數,通過微電極數據,論文論證了死藻沉積如何通過改變微環境(如創造厭氧條件)驅動內源磷釋放。具體而言,DO和Eh的下降增加了磷的遷移能力,這與微生物群落結構變化(如Gallionellaceae的富集)相互印證,強化了“死藻-微環境-微生物-磷釋放”的因果鏈。