熱線:021-66110810,66110819
手機:13564362870

熱線:021-66110810,66110819
手機:13564362870
地下金屬因微生物腐蝕引起的損壞約占80%,其中最主要是硫酸鹽還原菌(SRB)引起的腐蝕。SRB是一種以有機物為養料的厭氧型細菌,可以把硫酸鹽還原為硫化物,廣泛存在于土壤、海水、河水、地下管道、油氣井等處。研究發現,SRB在厭氧條件下會大量生長和繁殖,產生黏液物質,助長垢的形成,造成注水管道堵塞。管線內沉積物及垢下SRB的繁殖,往往會帶來嚴重的局部腐蝕,引發點蝕穿孔,造成很大的經濟損失。在美國,77%以上的油井腐蝕是由SRB造成的,其主要特征是點蝕。對于SRB引起的微生物腐蝕,研究者們提出了不同的腐蝕機理用以解釋其誘發或加速腐蝕的原因,其中較為有名的有陰極去極化理論、局部腐蝕電池理論。但在一些特殊環境中,SRB引起的腐蝕并未得到深入研究,有研究表明,SRB在高含H2S或高礦化度條件下不能存活,但在高含H2S和高礦化度的油氣田集輸管線以及油井管內也會發生嚴重的SRB腐蝕,基于這一現象,本工作對H2S環境中硫酸鹽還原菌對碳鋼點蝕行為的影響進行了研究。
1試驗
1.1試樣
試驗材料為經過冷軋處理的L245NCS管材,其主要化學成分見表1。浸泡試樣尺寸為50 mm×10 mm×3 mm,試驗前用水砂紙(200~800號)逐級打磨;電化學試樣的工作面積為10 mm×3 mm,背部引出銅導線,非工作面用環氧樹脂固封。試驗前,電化學試樣用水砂紙(200~1 500號)逐級打磨并拋光,丙酮擦洗后用紫外線殺菌備用。
表1 L245NCS鋼的化學成分
1.2菌種的培養及初步鑒定
試驗菌種來自勝利油田污水,經過多次劃線法分離、提純培養后獲得。菌種的培養采用API-RP38培養基,培養基組成如下:乳酸鈉3.5 g/L,NH4Cl 1 g/L,CaCl20.1 g/L,K2HPO40.5 g/L,MgSO42 g/L,酵母浸膏1.0 g/L,將上述試劑溶解在去離子水中,定容為1 000 mL。用氫氧化鈉溶液或鹽酸溶液調節培養基pH至7.2±0.2,并分裝在500 mL廣口瓶(有刻度)中,每瓶不超過350 mL,瓶口塞上棉塞,用牛皮紙包好,除氧2 h,蒸汽壓力滅菌器(121±1)℃滅菌15 min,將細菌接種于廣口瓶內,于37℃恒溫培養箱中進行培養,培養時間為7 d。剩余菌種在冰箱中0℃保存。
利用SRB測試瓶以及細菌形貌觀察對SRB進行初步確定,SRB生長代謝可以產生H2S氣體,判斷SRB是否生長的標志是在加有二價鐵鹽的培養基中,培養基顏色是否變黑。細菌在API-RP38培養基中培養7 d后,觀察SRB測試瓶內溶液是否變黑,同時,采用掃描電子顯微鏡(SEM)觀察細菌形貌。
SRB觀察用試樣的制備過程容下:將試樣浸泡在細菌溶液中20 min→2.5%(質量分數)戊二醛固定4 h→磷酸緩沖液洗滌3次→乙醇梯度脫水(質量分數為30%、50%、70%、85%、90%的乙醇各1次,100%乙醇2次,15 min/次)→將表面吸附SRB的試樣置于氮氣氛下自然干燥待用。用SEM對吸附在試樣表面的SRB進行形貌觀察。
1.3試驗方法
1.3.1浸泡試驗
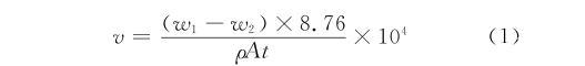
腐蝕失重法是將試樣分別浸泡在有、無SRB的培養基(API-RP38培養基和含油污水培養基)中,然后在恒溫(37±1)℃培養箱中培養,培養3 d后持續通入H2S氣體,使廣口瓶內H2S一直處于飽和狀態,每周注入50 mL API-RP38培養基以提供細菌生長所需的營養物質,試驗時間為30 d。含油污水培養基即在API-RP38培養基中加入Cl-67 g/L,Ca2+12 g/L。試驗結束后取出試片,在純酒精中浸泡10 min,電吹風冷風吹干,在掃場發射環境掃描電子顯微鏡(FEI Quanta 200F)中觀察試樣表面腐蝕產物形貌,最后經常規處理(去除腐蝕產物)后稱量。根據式(1)計算腐蝕速率。
式中:A為試樣表面積,cm2;t為腐蝕時間,h;ρ為試樣密度,g/cm3;w1和w2分別是試樣腐蝕前后的質量,g。
1.3.2 SRB檢測
在含油污水培養基中的浸泡試驗結束后,取出試樣,向試驗溶液中通氮氣1 h去除溶液中的H2S(以免影響SRB檢測的陽性反應),之后取1 mL試驗溶液注入提前配好的API-RP38培養基中,此溶液記作1號溶液,培養7 d后,檢測1號溶液中是否含有活性SRB。此外,刮下腐蝕后試樣表面的腐蝕產物,將腐蝕產物放入提前配好API-RP38培養基中,此溶液記作2號溶液,培養7 d,檢測2號溶液中是否含有活性SRB。因為在自配的API-RP38培養基加入了(NH4)2Fe(SO4)2·6H2O,如果有SRB生長,溶液會變成黑色呈陽性反應,通過觀察2種溶液是否變色來檢測反應后溶液和腐蝕產物中是否含有SRB。
1.3.3電化學試驗
電化學試驗在CHI660E電化學工作站上完成,試驗采用三電極體系,參比電極為飽和甘汞電極(SCE),輔助電極為鉑片,工作電極為電化學試樣。化學阻抗譜(EIS)測試頻率范圍為10 mHz~100 kHz,激勵信號為5 mV正弦波,用ZSimpWin軟件擬合曲線;極化曲線掃描范圍為-500~500 mV(相對于開路電位),掃描速率為0.02 mV/s。試驗時,將電極分別浸泡在有無SRB的API-RP38培養基中1,12,24 h,在含H2S條件下進行電化學測試。