熱線:021-66110810,66110819
手機:13564362870

熱線:021-66110810,66110819
手機:13564362870
簡介:菌藻共生系統被認為是市政和工業廢水處理的有前途的生物技術。最近,通過在暴露在自然陽光下的測序間歇式反應器(SBR)中的細胞自聚集,開發了一種新型藻類-細菌顆粒,其表現出優異的沉降性并克服了難以從處理過的廢水中回收常規藻類和/或細菌污泥的缺點(Huang等人,2015a)。此后,許多研究人員非常關注這種藻-細菌顆粒共生系統的形成和性能。據報道,與細胞外聚合物物質(EPS)橋接的絲狀細菌負責在陽光下形成藻類細菌顆粒(He等人,2018)。
與傳統的好氧顆粒污泥(AGS)相比,藻類在藻類顆粒中的生長導致更好的總氮(TN)和磷酸鹽(PO4-P)去除效率(Liu等人,2017年,Zhang等人,2018年)。此外,許多微藻種類被注意到為含油微生物(脂質含量>20%)(Meng等人,2009)。與傳統AGS中35.4 mg/g-SS的最大生物柴油產量相比,藻類的生長顯著提高了藻類細菌顆粒中的生物柴油產量(66.2 mg/g-SS)(Liu等人,2018)。因此,藻菌顆粒因其優異的污泥沉降性、優異的除營養物質、同時生產高附加值的藻類細菌顆粒等優點,正成為廢水處理的有前途的生物技術。
本研究的目的是研究光強度對藻類-細菌AGS系統中溶解氧分布、脂質產生和生物群落的影響。記錄藻類-細菌顆粒的特征和形態,以便更好地了解造粒過程中的現象和機制。通過確定顆粒內的營養物質(化學需氧量或COD,N和P)去除,生物活性(氧氣攝取和產生速率)和DO分布來評估藻類-細菌顆粒系統的性能。分析了不同光強度條件下藻類-細菌顆粒中脂質含量及其組成。還監測了生物群落(細菌和真核生物)的變化,以闡明藻類細菌顆粒所涉及的機制。期望本工作將為藻菌顆粒體系在實踐中的性能提升和能耗降低提供科學和有意義的參考。
丹麥Unisense微電極研究系統的應用
使用直徑為10μm的氧氣微電極(OX-10,Unisense,Denmark)測量第110天取自R0、R1、R2、R3、R4和R5的顆粒表面下不同深度的局部DO濃度。顆粒的直徑分別為1.4、1.6、1.8、2.8、3.2和3.6毫米。將所有顆粒置于500 ml玻璃燒杯的底部,燒杯中含有500 ml合成廢水(DO=8–9 mg-O2/L),溫度為25°C。然后將玻璃燒杯中的顆粒暴露于與其相應反應器相同照度的光照下。使用微操作器以>20μm的空間分辨率精細調整電極尖端的位置。微電極的直徑遠小于顆粒的直徑,因此其尺寸對內部結構和相關DO濃度的影響可以忽略不計。微電極的校準在每次顆粒測試之前和之后進行。
圖1:在120天的運行過程中,六個反應器中平均粒徑(a)、MLSS(b)和葉綠素(c)的變化。六個反應器的光照強度分別為:R0(無照)、R1(45μmolm?2 s?1)、R2(90μmolm–2 s?2)、R3(135μmolm-2 s?3)、R4(180μmolm-2 s?1。
圖2:六個反應器運行期間COD(a)、TP(b)、NH4-N(c)、TIN(d)去除和出水NO3-N(e)、NO2-N(f)濃度的變化。六個反應器的光照強度分別為:R0(無照)、R1(45μmolm?2 s?1)、R2(90μmolm–2 s?2)、R3(135μmolm-2 s?3)、R4(180μmolm-2 s?1。
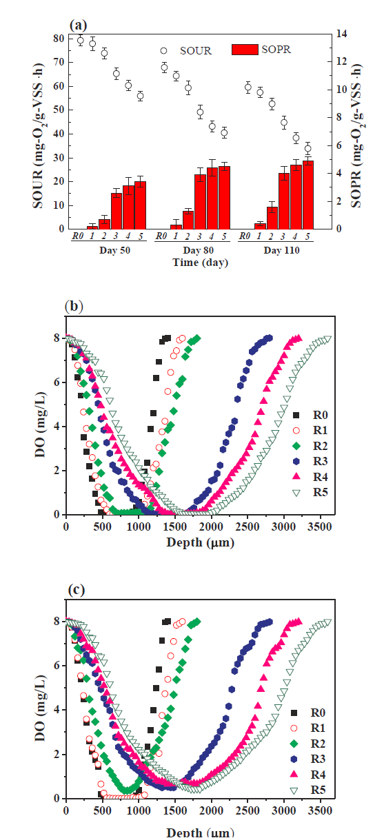
圖3:在操作(a)期間顆粒的生物活性(SOUR和SOPR)的變化,在第110天的熄滅(b)和點亮(c)期間來自六個反應器的顆粒在不同深度的DO分布。六個反應器的光照強度分別為:R0(無照)、R1(45μmolm?2 s?1)、R2(90μmolm–2 s?2)、R3(135μmolm-2 s?3)、R4(180μmolm-2 s?1。
圖4:第120天來自六個反應器的藻類細菌顆粒的脂質含量和生產力。六個反應器的光強度如下:R0(無光照)、R1(45μmolm?2 s?1)、R2(90μmolm–2 s?2)、R3(135μmolm-2 s?3)、R4(180μmolm-1)和R5(225μmolm-2 s?1。
圖5:第100天R0-R5顆粒中家族水平(a)的優勢細菌和屬水平(b)的真核生物的豐度。六個反應器的光照強度分別為:R0(無照)、R1(45μmolm?2 s?1)、R2(90μmolm–2 s?2)、R3(135μmolm-2 s?3)、R4(180μmolm-2 s?1。
總結:藻類細菌顆粒在不同光照強度下在光SBR中成功培養。光照強度可能是與藻類-細菌顆粒的脂質合成和生物活性相關的關鍵因素之一,在良好的細菌-藻類共生系統中同化藻類可以提高氮和磷的去除效率。光照強度≥180μmolm?2 s?1可顯著抑制NOB,在225μmol?2 s–1時可明顯積累NO2-N。不同光照強度顆粒中的生物群落表現出顯著差異,功能細菌(Comamonadaceae和Nitrosomonadaceae)和藻類(Navicula和Stigeoclonium)在強光照射下富集。
相關新聞