熱線:021-66110810,66110819
手機:13564362870

熱線:021-66110810,66110819
手機:13564362870
研究簡介:產電生物膜以獨特的方式呼吸,利用固體外部材料作為其新陳代謝的終端電子受體,這在生物電化學系統(BES)中作為催化劑很有意義,例如微生物燃料電池(MFC)和微生物電解電池(MEC),以及海水淡化、生物修復和傳感系統。目前尚不清楚陽極生物膜內的電流密度和pH分布如何相互關聯。細胞產生的質子及其從陽極生物膜的運輸,應該會導致整個生物膜形成質子梯度。生物膜深度上pH梯度的形成會導致內部微生物的性能降低并影響其生長。因此了解微型生物膜內pH分布的詳細特征及其對發電性能的影響對于提高陽極性能至關重要。本研究是量化發電生物膜深度的空間和時間pH分布和變化。還探討了pH分布和電流密度之間的關系。Geobacter spp是發電細菌的絕佳候選者,因為它可以將乙酸鹽轉化為陽極上的電子,并且電子轉移被認為是直接的。通過pH微電極獲得地桿菌生物膜內的pH深度剖面,可對活生物膜進行非侵入性、非破壞性、高空間分辨率和實時測量。找到上述條件取決于對陽極生物膜內部微觀條件的理解,本研究推薦了一種通過繪制pH深度剖面導數來估計生物膜和邊界層厚度的方法。
Unisense微電極系統的應用
pH微電極(Unisense,丹麥)用于表征陽極生物膜內的pH分布。微電極尖端的直徑為50μm。每次測量之前,使用商業緩沖溶液(pH=4.01、6.86和9.18)校準pH微電極。獲得斜率在-58.10–-58.80mV/pH范圍內的線性校準曲線。pH值測量是在操作條件下進行的。通過移除生物膜陽極上方的橡膠塞來打開端口以插入微電極及其參比電極。純氮氣不斷地吹入頂部空間,以盡量減少氧氣從開放端口侵入系統。最初將pH微電極尖端放入高于生物膜表面數千微米的本體溶液中,然后逐步向下移動(生物膜外增量為50-200μm,生物膜內增量為25μm),由計算機上的SensorTrace Profiling軟件進行定期控制,并同時記錄pH值。當通過批量溶液、濃度邊界層并最終到達生物膜底部(陽極表面)時進行記錄。
實驗結果
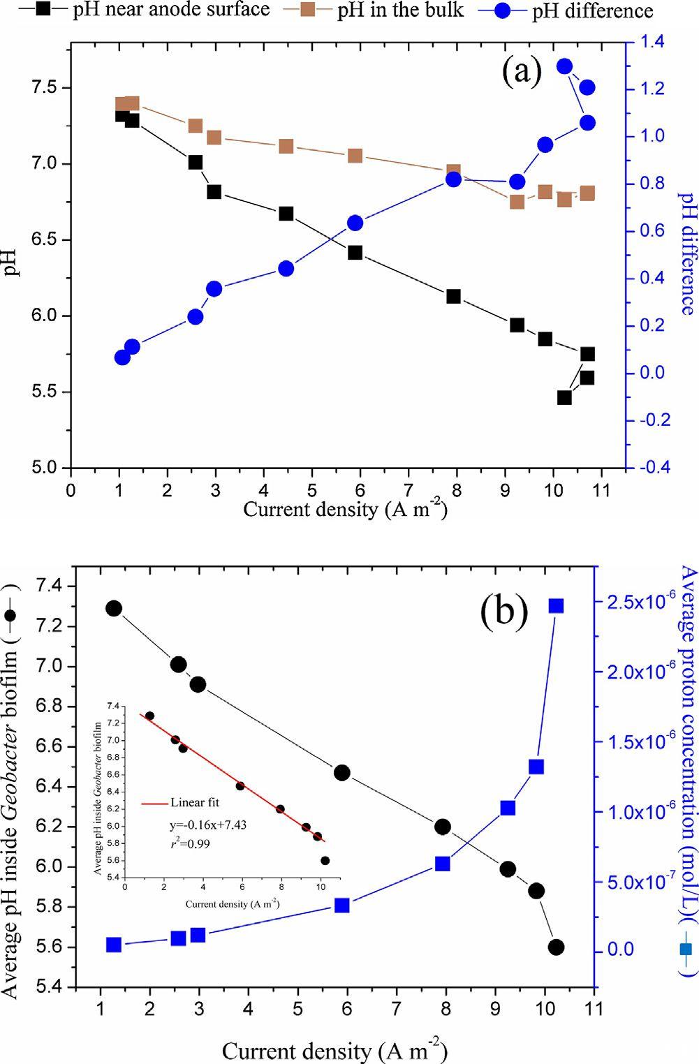
采用pH微電極研究了不同電流密度下地桿菌生物膜內部的空間pH分布。在350μm厚的地桿菌生物膜(10.23A m-2)中,檢測到的陽極表面附近的pH水平低至5.57,而本體溶液的pH水平為6.90。在此,pH差達到最大值1.33個單位,這意味著電極表面附近的質子濃度幾乎比本體溶液高20倍。這項研究還表明,在厚生物膜中的低緩沖液濃度條件下,質子無法有效地從生物膜中轉運出來。
圖1、在恒定施加電位(-0.1 V vs.Ag/AgCl)下的Geobacter生物膜生長情況。紅色箭頭表示用于pH和CV測量的各種電流密度(它們分別為1.07Am2,1.27Am2,2.58Am2,2.97Am2,4.46Am2,5.89Am2,7.93Am2,9.25Am2,9.83Am2,10.71Am2,10.23Am2和10.70Am2,分別為45小時,72小時,116小時,140小時,205小時,256小時,285小時,330小時,418小時,440小時,455小時和482小時)。
圖2、在電流密度為1.07A m-2和1.27A m-2時Geobacter生物膜內的平均pH分布,邊界層和批量溶液(a);在2.58 A m-2和2.97A m-2時(b);在4.46A m-2,5.89 A m-2和7.93A m-2時(c);在9.25A m-2和9.83 A m-2時(d);在10.71A m-2,10.23A m-2和10.70A m-2時。誤差線表示標準偏差。圖2(f)是在7.93A m-2下測量的剖面之一,以及Geobacter生物膜內上方和內部的質子濃度剖面。
圖3、在7.93A m-2下pH對深度的一階導數圖,插圖顯示了平均曲線,誤差線表示標準偏差。(a);各種電流密度下的生物膜厚度及其活性部分和非活性部分(b)。
圖4、陽極表面附近和批量溶液中的pH變化以及作為電流密度函數的pH差異(a)。Geobacter生物膜內平均pH變化曲線及各種電流密度下相應的質子濃度曲線,插圖顯示了電流密度和平均pH值之間的線性相關性(r2=0.99)(b)。
圖5、緩沖濃度(25 mM、50 mM、75 mM和100 mM)對Geobacter生物膜內pH分布的影響。誤差線表示標準偏差。
結論與展望
本研究采用了pH微電極量化了發電生物膜及其濃度邊界層以及本體溶液內的空間pH分布。探討了pH分布與電流密度之間的關系。結果發現(1)在350μm厚的地桿菌生物膜上,檢測到陽極表面附近的pH水平低至5.57,而本體溶液的pH水平為6.90;生物膜內的平均pH值隨著時間的推移而下降;生物膜內的pH變化使循環伏安法的中點電位發生變化,每個pH變化59.0mV;25mM磷酸鹽緩沖溶液的陽極表面附近的pH值低至4.91,而100mM磷酸鹽緩沖溶液的pH值則為5.73。此外,還推薦了一種通過繪制pH值-深度分布的導數來估計生物膜厚度的方法。
相關新聞