熱線:021-66110810,66110819
手機:13564362870

熱線:021-66110810,66110819
手機:13564362870
研究簡介:華北平原(NCP)是一個主要農業區,分別供應了中國超過75%和30%的小麥和玉米產量。半干旱氣候和長期過度使用氮肥,尤其是尿素,導致土壤氮的積累和隨后的酸化、淋溶和N2O排放。在保持生產力的同時提高養分利用效率是研究人員和政府的一項持續任務。礦肥對氮的影響已經對華北平原(NCP)的N2O排放進行了調查,研究表明當超過農藝最佳施肥量時會迅速增加,N2O排放與NH4+和NO3-濃度之間有很強的相關性土壤中。
1960年代設計的Clark型微電極已廣泛應用于醫學領域的生物傳感器,目前的設計以高空間分辨率對微環境中的元素和化合物進行高質量、無損和原位測量和低檢測限,包括多種定制和調整可能性(Unisense Profiling)。然而它們在微環境中的應用,例如土壤-根界面仍然難以捉摸。
早期的研究是基于純水的常規方法校準微電極時,無法檢測到來自田間潮濕土壤(對應于WFPS 30%左右)的N2O排放。盡管在低濕度條件下化學-生物活性降低,但土壤呼吸確實會發生,特別是當氣體在干燥條件下擴散更大,硝化作用主導N2O的形成時。
先前的研究應用克拉克型微電極從沉積物和污泥中檢測氣態N2O,與半干旱農業土壤相比,其特征是孔隙水含量高。
本研究通過改進微電極的校準/靈敏度,為在原位條件下可靠測定農業土壤中的N2O排放提供了新的見解,并闡明了長期施肥對土壤理化性質和脲酶活性的影響。本研究方法對于中國和其他地方的科學家、工程師和區域環境管理人員對農業生態系統中N2O的可靠儀器和原位測量非常有用。
用于測量N2O的傳感器是尖端尺寸為50μm的Clark型微電極(N2O-NP-804195,Unisense,連接到高靈敏度皮安計(PA 2000,Unisense A/S)并在陰極和內部參考陽極之間施加-0.8 V的電壓。在外部分壓的驅動下,N2O穿透尖端的傳感器膜(硅膠膜)并在金屬陰極表面被還原,而皮安表將產生的電流轉換為信號。在測量之前,必須通過施加-1.3 V的電壓30分鐘來預激活傳感器,并在-0.8 V下預極化至少12小時,直到信號穩定。在此期間,內部保護陰極會去除可能在電解液中積累的O2。該傳感器還配備了一個前防護裝置,該防護裝置包含一種堿性溶液,其中O 2被還原,陰極相對于內部參考進行極化。將校準為最佳水土比的微電極用于量化根際和大塊土壤中N2O的排放,N2O濃度以μM L-1為單位測量。使用MicroProfiling系統結合馬達控制器控制微電極以5000μm步長、10秒暫停和15秒測量時間收集每個深度(即1、2、3和4厘米)的數據。
實驗結果
研究改進了用于測量土壤微環境原位N2O排放的微電極的校準。校準基于土壤溶液(水:土壤比=7:1–8:1)而不是純水,從而使傳感器的靈敏度加倍。在將該方法應用于其他土壤之前,該比率需要重新校準。改進后的方法為現場現場監測N2O排放提供了技術支持。研究發現利用校準后的傳感器進行原位測量,發現施用尿素后,根際和大塊土壤均排放大量N2O,前者占總累積N2O的60%,因此指出在研究農業土壤溫室氣體排放對全球變化的響應時,應考慮根際土壤的N2O排放。恒溫(25°C)下N 2 O排放與無機N含量(NH4+和NO3-)和土壤水分(WFPS 55-60%)呈正相關。長期添加糞肥顯著增加了N2O排放,而秸稈添加可以促進土壤N的保留,但可能會增加N2O排放和反硝化造成的損失。
圖1、樣品制備流程圖:(a)建立純化水或土壤溶液作為校準介質的標準曲線,(b)準備土壤柱,以及(c)測量微電極系統的一氧化二氮排放。如材料和方法中所述,從處理地塊收集風干土壤。
圖2、帶有植物的根際示意圖和用于確定從根際和大塊土壤中釋放的一氧化二氮的微傳感器裝置。微傳感器是連接到高靈敏度皮安計的Clark型微電極。
圖3、在每個實驗階段觀察到的0-4 cm土壤柱中的微剖面,用純凈水(a,填充符號)或土壤溶液作為校準介質(b,空心符號)獲得。梯度值基于用深色細線顯示的PROFILE軟件模擬和用藍色粗線顯示的相應生產/消耗曲線。從圖中可以看出兩種校準介質在每個深度存在顯著差異,土壤溶液的N 2 O濃度顯著高于純凈水,累積值分別為0.39和-0.36μmol cm-3 s-1.因此樣品中N2O產生/濃度的變化歸因于介質之間的差異,而不是儀器誤差。作為N 2長期施肥土壤的O排放不能為負值,因此不能用純水作為校準介質。
圖4、用純凈水或不同電解狀態的土壤溶液校準獲得的微電極信號,表示為水:土壤比率。每條校準曲線是均值(n=5),伴隨著標準偏差(誤差線)和一個具有決定系數(R 2)的方程。圖中可以看出在所有土壤溶液和純水作為校正N2O電極線的介質之間存在顯著的差異。因此用于校準微電極以測量N2O排放的最佳水土比,應選擇給定土壤的土壤溶液作為校準介質,最終提高通量測量的準確性。
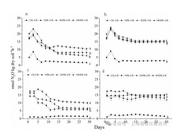
圖5、長期施肥對一氧化二氮通量的影響。在30天的培養實驗中,觀察(a)塊狀和(b)根際土壤(添加尿素(+UR)和(c)塊狀和(d)不添加尿素(-UR)的一氧化二氮(N2O)通量的動態。值是帶有標準誤差(誤差條)的平均值(n=4)。CK為不施肥不秸稈還田,MNPK為去秸稈還田礦質與有機肥結合施用,SNPK為秸稈還田礦質與有機肥結合施用。
結論與展望
微電極傳感器能夠以高時空分辨率準確量化微環境中的一氧化二氮(N2O)排放。然而由于在低土壤濕度條件下無法獲得電信號,對農業土壤的研究有限。本研究通過改進微電極的校準/靈敏度,為在原位條件下可靠測定農業土壤中的N2O排放提供了新的見解,并闡明了土壤微環境(即根際)的重要性。研究人員采用微電極技術(unisense微電極研究系統),明確區分根際和土腔,研究了長期施用無機肥料(NPK)、豬糞(MNPK)、秸稈(SNPK)和不施肥(CK)(添加和不添加尿素)對土壤N2O排放的影響。使用土壤溶液代替純水校準微電極使信號加倍并顯著提高了傳感器的靈敏度。土壤溶液的最佳電解濃度,以水:土壤比表示,發現在擬合不同土壤溶液校準方程的斜率值的二次方程的最大頂點處。校準微電極的應用表明,與大塊土壤相比,根際N2O排放量顯著增加,占總排放量的60%。對于大塊土壤,與SNPK和NPK相比,MNPK顯著增加了N2O排放量,而這些根際土壤處理之間的差異不顯著。統計模型顯示N2O排放與土壤無機氮含量以及處理(MNPK和SNPK)、尿素添加和根際土壤的加性效應顯著相關。本研究為使用微電極測量土壤微環境中的N2O排放提供了新的見解,并指出了根際區室和能夠減少農業N2O排放的農業生態系統的管理實踐。
相關新聞