熱線:021-66110810,66110819
手機:13564362870

熱線:021-66110810,66110819
手機:13564362870
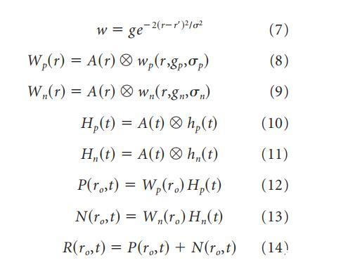
考慮到上述假設,將A(r, t)與R(ro, t)聯系起來的模型由以下方程定義:
其中方程8和9是空間卷積,方程10和11是時間卷積。在我們的LGN測量背景下實現該模型如圖7所示。我們的目標是估計參數gp、gn、σp和σn。為此,必須首先指定模型參數A(r)、Hp(t)和Hn(t)。
圖7.一種將神經活動空間模式與組織氧活性依賴變化相聯系的模型。對于特定視覺刺激,對應的LGN神經活動模式[A(r)]與兩種不同高斯點擴散函數(PSF)進行卷積,wp和w代表LGN中的三維坐標。每種PSF對應氧反應的不同組分,由其寬度(n和σp)和增益(gn和gp)定義。每次卷積結果在微電極位置(ro;白色圓圈)處計算,以確定兩個時間響應函數Hn(t)和Hp(t)的幅度值。Hn(t)和Hp(t)通過分別對小光柵和掩蔽刺激的響應,在每個記錄位點經驗性確定。每個時間進程按其對應幅度[W(ro)]進行縮放后求和,從而推算出預測的氧響應[R(ro,t)]。針對每個記錄位點,通過擬合所有刺激條件下觀測到的氧響應值,估算出自由參數 σn’ 、 σp’ 、gn’和gp。在擬合過程中,A(r)、Hp(t)和Hn(t)均作為因變量處理。
我們通過神經測量和已知的貓LGN視網膜拓撲組織來估計每個刺激條件的A(r)。例如,由大視野漂移光柵誘導的神經活動估計模式如圖7左側所示。其他刺激條件的A(r)示例如圖2和圖4所示。
我們直接從局部和非局部LGN激活引起的氧響應中估計Hn(t)和Hp(t)。這是可能的,因為負向和正向響應分量表現出顯著不同的空間特性,使得方程12和13中Wp(ro)和Wn(ro)的相對幅度隨神經活動的空間模式變化很大。在局部激活與傳感器重疊的情況下,Wn(ro)遠大于Wp(ro),因為活動模式填充了負向分量PSF的更大比例。這反過來又使得N(t)主導氧響應。相反的結果發生在使用掩膜刺激的非局部激活期間。在這種情況下,Wn(ro)接近于零,而Wp(ro)相對較大。通過測量對這些不同活動模式的R(ro, t)并將結果按其最大值歸一化,可以估計Hn(t)和Hp(t)的時間形式。基于我們數據的估計見下文。
一旦指定了A(r)、Hp(t)和Hn(t),剩下的模型參數就只有gp、gn、σp和σn。為了估計這些參數,我們搜索了最小化我們的數據與擬合之間平方和誤差的gp、gn、σp和σn值。對于每個LGN記錄位點,所有氧響應都用這四個自由參數同時擬合。擬合算法是內反射牛頓法。為了檢驗負向和正向響應分量具有不同PSF寬度的假設,我們將這些擬合與在以下模型約束下獲得的第二組擬合進行了比較:σn = σp。此約束強制神經響應在相同的組織體積上求和,并將自由參數的數量從四個減少到三個。我們數據的結果報告如下。
總之,我們定義了一個線性模型來描述神經響應與組織氧的活動依賴性變化之間的關系。這種關系由兩個時空脈沖響應函數表征。在有限數量的合理假設下,我們能夠從貓LGN的氧和神經響應的組合測量中估計這些函數的形狀。下面,我們報告從我們數據得出的模型參數的估計。
時間特性
與上述模型一致,來自LGN和視覺皮層的結果表明,組織氧的活動依賴性變化由兩個時間響應分量組成,一個負向,一個正向。由局部和非局部LGN激活引起的單相氧響應使我們能夠量化這兩個響應分量的時間特性。具體來說,對于每個LGN記錄位點,可以通過平均掩膜和小光柵刺激的氧響應來估計Hp(t)和Hn(t)。為了確保獲得Hp(t)和Hn(t)之間最大可能的分離,只有單相氧響應被包括在平均中。我們將單相氧響應定義為那些在刺激開始后前6秒內僅在一個方向(正向或負向)表現出顯著變化的響應。平均后,每個時間過程通過組織氧的最大變化進行歸一化,使得具有大氧變化的記錄位點在群體平均中不會過度代表。我們已經對群體中34個LGN記錄位點中的26個進行了此操作。其余8個記錄位點根據我們的定義未表現出單相負向組織氧變化。對于這些位點,只能估計Hp(t)。圖8A顯示兩個時間響應函數的群體平均結果。負向響應在刺激開始后不久開始,而正向響應相對于負向響應延遲約1.4秒。Hn(t)的實際時間過程可能比我們的估計所暗示的更平滑地返回到基線。在6到7秒之間最初快速返回基線的現象很可能是由于小幅度血流量增加,在10秒后的較晚時間點會消退。
圖8.負向與正向氧反應的時間特性。A部分展示了我們LGN記錄點群體(26個負向反應與34個正向反應)中單相負向(虛線)與正向(實線)氧反應的群體平均值。此處顯示的反應代表Hp(t)與H(t)的群體估計值。負向反應的起始時間與峰值時間分別為0.7秒和3.2秒,正向反應則為2.1秒和5.5秒。B部分展示了最優(虛線)與正交(實線)方位角條件下,皮層記錄點群體平均的氧反應。最優反應的起始時間、谷值時間與峰值時間分別為0.7秒、3.3秒和7.6秒,正交反應則為1.5秒、2.8秒和7.4秒。陰影區域表示刺激開始與持續時間。起始時間通過首次超過基線±1標準誤差的反應幅度時間點確定。虛線表示平均反應的±1標準誤差范圍。
盡管直接比較很困難,我們對視覺皮層中獲得的測量結果進行了類似的分析。由于單相負向氧響應在視覺皮層中很少見,可能是因為較大的RF大小和放大系數,我們簡單地平均了最佳和非最佳方位條件的氧響應。群體平均結果如圖8B所示。對于最佳和非最佳方位,時間過程都表現出初始負向和延遲的正向響應,但最佳刺激條件下負向響應的幅度明顯更大。這一結果與圖6所示的數據一致。請注意,視覺皮層中的正向響應峰值比LGN中晚約2秒。這種延遲的部分原因可能是負向氧響應,它會在早期時間點減少正向變化。這種延遲的其他可能來源包括傳感器對皮層血管的壓迫,以及LGN和視覺皮層之間血管反應性的生理差異。
空間特性
與上述模型一致,上一節中估計的時間響應分量似乎具有不同的空間特性。為了量化定義這些空間特性的參數,我們使用模型擬合了我們的數據。對每個LGN記錄位點進行獨立擬合。在給定位點記錄的所有氧響應用一組四個自由參數同時擬合。模型的其余參數從我們的數據和已知的貓LGN特性中指定。圖2和圖4中的紅色時間過程是來自此分析的擬合。對我們數據的擬合通常很好,解釋了不同刺激條件下觀察到的大部分方差。圖9A顯示從我們的LGN記錄位點群體獲得的R2值分布。平均R2值為0.76 ± 0.13。擬合參數σn和σp決定了每個響應分量的PSF寬度。每個PSF的半高全寬使用以下公式從σ計算:
FWHM = σ √(2 ln(2)) (15)
從我們的分析估計的FWHM值的直方圖如圖9B和C所示。我們排除了從R2 < 0.6的擬合中獲得的所有參數值,以及從不具有顯著負向氧響應的記錄位點獲得的gn和σn值。圖9B顯示負向響應分量的寬度分布,圖9C顯示正向分量的分布。在幾乎所有情況下,控制負向響應的PSF明顯窄于正向響應的PSF。負向和正向PSF的平均寬度值分別為0.15 ± 0.08毫米和1.35 ± 0.6毫米。PSF增益gn和gp表現出相反的結果。gn和gp的平均值分別為1110 ± 1115和40 ± 67。由于負向PSF在較小的組織體積上求和,因此需要較大的增益才能產生給定的組織氧變化。窄PSF寬度和大PSF增益的組合導致了在LGN局部激活期間觀察到的單相負向氧響應。增益值的大變化反映了在不同記錄位點觀察到的響應幅度變化。