熱線:021-66110810,66110819
手機:13564362870

熱線:021-66110810,66110819
手機:13564362870
3.5. 光衰減和光氣候
結果顯示在表4中。與對照組相比,添加CO?使光衰減系數(Kd)顯著更高(p < 0.01),并在pH 7.5時達到最大值,顯著高于所有其他處理組(p < 0.01)。相對于HRAM深度,對照組的光合作用帶深度(Zeuphotic:Ztotal)顯著更大(p < 0.01)。在處理組中,pH 7.5處理組的光合作用帶深度顯著更低(p < 0.05)。對照組中細胞經歷的總光量(Emix)顯著高于pH 7.5(p < 0.01)、pH 7(p < 0.05)和pH 6.5(p < 0.05)處理組,而pH 8處理組的Emix與處理組或對照組沒有顯著差異。所有處理組和對照組的Emix與總表面PAR的比例都很低,范圍從7.3%到9.8%。對照組的Emix:總表面PAR顯著高于pH 7.5(p < 0.01)、pH 7(p < 0.05)和pH 6.5(p < 0.05)處理組,而pH 8處理組與對照組或處理組沒有顯著差異。光轉化效率(定義為水柱中每單位光產生的葉綠素a生物量)隨著CO?添加量的增加而增加。pH 6.5處理組的光轉化效率顯著高于(除pH 7.5為p < 0.05外,其余均為p < 0.01)所有其他處理組和對照組,而pH 7和pH 7.5處理組的光轉化效率顯著高于pH 8處理組和對照組(p < 0.01),但彼此之間沒有顯著差異。對照組顯著低于所有CO?添加處理組。
3.6. 微藻光吸收和包裝效應
葉綠素a比吸收系數(a_ph(λ))隨著pH的降低而增加(圖6)。對照組的a_ph(675)和a_ph(440)均顯著低于(p < 0.01)CO?添加處理組(表4)。pH 6.5處理組的a_ph(675)和a_ph(440)顯著高于(p < 0.01)所有其他處理組,而這兩個參數在pH 7時顯著高于pH 7.5(p < 0.05)和pH 8(p < 0.01),后兩者之間沒有顯著差異(表4)。450-650 nm范圍內的總吸收(a_ph∑??????)隨著pH的降低而顯著增加(表4)。pH 6.5處理組的包裝效應系數(Qa)顯著高于(p < 0.01)所有其他處理組,而對照組顯著低于(p < 0.01)所有處理組(表4)。pH 7處理組的Qa顯著高于pH 7.5(p < 0.05)和pH 8(p < 0.01)處理組,后兩者之間沒有差異。這些結果表明包裝效應隨著pH的降低而減小。包裝效應約占對照中微藻光吸收的56%,而在pH 6.5時僅占41%。
圖6- 沿溶解無機碳梯度生長的微藻的光譜光吸收,以葉綠素a比吸收系數(a*(λ) m2 mg Chl-a?1)測量。
表4- HRAMs內的光氣候和衰減以及沿溶解無機碳濃度梯度的微藻葉綠素特異性光吸收和包裝效應。Kd是光衰減系數,Zeuphotic是光合作用大于呼吸作用的深度,Emix是循環細胞暴露的總光量,a_ph()是波長675 nm和440 nm處的葉綠素特異性光吸收,Qa是包裝效應。值為平均值±標準差。
| 參數 | pH>9 (對照) | pH 8 | pH 7.5 | pH 7 | pH 6.5 |
|---|---|---|---|---|---|
| Kd (m?1) | 34.0 ± 1.1 | 39.1 ± 1.3 | 45.7 ± 1.5 | 41.7 ± 0.3 | 41.8 ± 1.0 |
| Zeuphotic:Ztotal | 0.45 ± 0.05 | 0.39 ± 0.04 | 0.34 ± 0.01 | 0.37 ± 0.02 | 0.37 ± 0.01 |
| Emix (mmol m?2 d?1) | 4.7 ± 0.8 | 4.1 ± 0.7 | 3.5 ± 0.6 | 3.8 ± 0.7 | 3.8 ± 0.7 |
| Emix: 池塘表面PAR | 0.098 ± 0.01 | 0.085 ± 0.03 | 0.073 ± 0.01 | 0.080 ± 0.02 | 0.080 ± 0.01 |
| 光轉化效率 (mg Chl-a μmol photon?1) | 0.97 ± 0.04 | 1.10 ± 0.04 | 1.32 ± 0.07 | 1.29 ± 0.08 | 1.41 ± 0.08 |
| a*_ph(675) (m2 mg?1) | 0.0096 ± 0.0005 | 0.0105 ± 0.0001 | 0.0108 ± 0.0001 | 0.0113 ± 0.0003 | 0.0122 ± 0.0003 |
| a*_ph∑?????? (m2 mg?1) | 0.767 ± 0.016 | 0.812 ± 0.034 | 0.864 ± 0.021 | 0.885 ± 0.041 | 0.980 ± 0.039 |
| a*_ph(440) (m2 mg?1) | 0.0139 ± 0.0004 | 0.0148 ± 0.0003 | 0.0155 ± 0.0001 | 0.0160 ± 0.0002 | 0.0169 ± 0.0004 |
| Qa* | 0.46 ± 0.02 | 0.51 ± 0.01 | 0.52 ± 0.01 | 0.54 ± 0.02 | 0.59 ± 0.02 |
3.7. 日間電子傳遞速率和非光化學淬滅
快速光曲線(RLCs)顯示,在高輻照度(而非低輻照度)下,光合作用潛力的相對測量值(ETR)在較低pH下顯著高于(p < 0.01)對照組(圖7)。無論一天中的時間和先前的輻照度暴露如何,對照組的最大電子傳遞速率(ETR_max)均顯著低于CO?添加處理組(表5)。在清晨和上午中段,pH 6.5處理組的ETR_max顯著高于(p < 0.01)所有其他處理組,并且pH 7處理組的ETR_max顯著高于(p < 0.05)pH 7.5和pH 8處理組,后兩者之間沒有顯著差異(表5)。到下午早些時候,pH 6.5處理組的ETR_max顯著低于(p < 0.01)pH 8處理組,但在傍晚時分恢復到與pH 8處理組相似的水平(表5)。在整個一天中,對照組的光飽和強度(ETR_Ek)顯著低于CO?添加處理組,并且在上午中段至下午早些時候,pH 6.5處理組的ETR_Ek顯著高于(p < 0.01)pH 8處理組,但在一天開始和結束時沒有顯著差異(表5)。在整個一天中,各處理組和對照組之間的最大光利用效率(ETR_α)沒有顯著差異(表5)。
圖7- 溶解無機碳濃度梯度下電子傳遞與輻照度關系示例。●=pH>9(對照組),v=pH8,■=pH7.5,$\diamond=pH 7,\,Δ=pH 6.5.$
在高于0的所有輻照度水平下,對照組的非光化學淬滅(NPQ)均顯著低于(p < 0.01)CO?添加處理組(圖8)。在一天中,對照組的最大非光化學淬滅(NPQ_max)顯著低于(p < 0.01)所有處理組(表5)。清晨時,pH 6.5處理組的NPQ_max顯著高于(p < 0.05)pH 8處理組,在一天中的其余時間,pH 6.5處理組的NPQ_max顯著高于(上午10:30為p < 0.05,下午1:30和4:30為p < 0.01)所有其他處理組(表5)。
圖8- 沿溶解無機碳濃度梯度的非光合猝滅(NPQ)與輻照度關系示例。●=pH>9(對照組),v=pH 8,■=pH 7.5,$\diamond$=pH 7,Δ=pH 6.5。
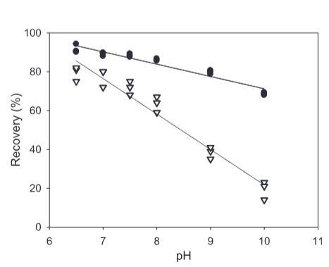
在暗期開始10秒后,產量和NPQ相對于初始暗適應值的暗恢復百分比隨著pH的升高而降低(圖9)。初始產量暗恢復百分比在pH 6.5時顯著高于所有其他pH值,而在pH 9和10時顯著較低(p < 0.01)。對于NPQ,pH 6.5、7和7.5處理組的暗恢復顯著高于(p < 0.01)pH 8及以上處理組。在pH 9和10時,對照組的暗恢復顯著低于(p < 0.01)處理組,但不同pH水平之間沒有差異。暗恢復30秒后,所有CO?添加處理組和對照組均已完全恢復產量,而所有處理組的NPQ均已完全恢復,但對照組在pH 9或10時均未完全恢復,后者在60秒后完全恢復(數據未顯示)。
圖9- 在飽和輻照度后,暗處10秒時的產量(●)和非光化學淬滅(▽)的暗恢復百分比。
表5- 沿溶解無機碳濃度梯度的電子傳遞速率和非光化學淬滅的日變化。ETR_max是最大電子傳遞速率,ETR_α是光限制條件下電子傳遞的效率,ETR_Ek是電子傳遞的光飽和強度,NPQ_max是最大非光化學淬滅。值為平均值±標準差。
| 參數 | pH>9 (對照) | pH 8 | pH 7.5 | pH 7 | pH 6.5 |
|---|---|---|---|---|---|
| 上午 7:30 | |||||
| ETR_max (μmol e? mg Chl-a?1 s?1) | 0.174 ± 0.021 | 0.268 ± 0.005 | 0.272 ± 0.002 | 0.289 ± 0.003 | 0.326 ± 0.013 |
| ETR_α | 0.0015 ± 0.0001 | 0.0015 ± 0.000 | 0.0016 ± 0.000 | 0.0016 ± 0.0001 | 0.0016 ± 0.000 |
| ETR_Ek (μmol photons m?2 s?1) | 114 ± 14 | 175 ± 5 | 170 ± 2 | 177 ± 4 | 204 ± 18 |
| NPQ_max | 0.289 ± 0.074 | 0.866 ± 0.034 | 0.865 ± 0.048 | 0.817 ± 0.071 | 0.692 ± 0.061 |
| 上午 10:30 | |||||
| ETR_max | 0.293 ± 0.009 | 0.512 ± 0.007 | 0.518 ± 0.025 | 0.504 ± 0.016 | 0.568 ± 0.019 |
| ETR_α | 0.0013 ± 0.0001 | 0.0014 ± 0.000 | 0.0014 ± 0.0001 | 0.0014 ± 0.0001 | 0.0014 ± 0.000 |
| ETR_Ek | 220 ± 7 | 366 ± 5 | 379 ± 13 | 370 ± 26 | 406 ± 14 |
| NPQ_max | 0.167 ± 0.020 | 0.384 ± 0.073 | 0.683 ± 0.002 | 0.674 ± 0.0017 | 0.792 ± 0.038 |
| 下午 1:30 | |||||
| ETR_max | 0.433 ± 0.023 | 0.637 ± 0.034 | 0.614 ± 0.004 | 0.549 ± 0.026 | 0.539 ± 0.030 |
| ETR_α | 0.0013 ± 0.0001 | 0.0014 ± 0.000 | 0.0013 ± 0.0001 | 0.0014 ± 0.0001 | 0.0014 ± 0.000 |
| ETR_Ek | 333 ± 18 | 455 ± 24 | 461 ± 22 | 403 ± 36 | 385 ± 21 |
| NPQ_max | 0.231 ± 0.023 | 0.460 ± 0.050 | 0.730 ± 0.072 | 0.744 ± 0.084 | 0.958 ± 0.040 |
| 下午 4:30 | |||||
| ETR_max | 0.354 ± 0.016 | 0.565 ± 0.018 | 0.554 ± 0.032 | 0.491 ± 0.040 | 0.512 ± 0.017 |
| ETR_α | 0.0010 ± 0.0001 | 0.0013 ± 0.0001 | 0.0013 ± 0.000 | 0.0013 ± 0.000 | 0.0013 ± 0.0001 |
| ETR_Ek | 356 ± 27 | 424 ± 27 | 426 ± 25 | 378 ± 32 | 384 ± 13 |
| NPQ_max | 0.211 ± 0.031 | 0.337 ± 0.021 | 0.384 ± 0.022 | 0.406 ± 0.005 | 0.491 ± 0.027 |
相關新聞