熱線:021-66110810,66110819
手機:13564362870

熱線:021-66110810,66110819
手機:13564362870
邊界層梯度的計算方法是表層水(1000μm)與邊界層(始終位于卵囊表面)最低氧氣、pH值或最高氨濃度之差。
系列I:發育中胚胎或幼魚邊界層的水化學特征
對15-16dpf(n=8-13)、22-23dpf(n=8-13)和29-30dpf(n=8-14)的胚胎以及29-30dpf(n=5-8)和43-44dpf(n=10-14)的幼魚進行了邊界層測量。幼魚被輕度麻醉[50mg/l三卡因甲磺酸鹽(MS-222)]以防止移動。這種低濃度的MS-222能阻止鰭的運動,但不能阻止耗氧量。
系列II:卵囊的存在
為確定卵囊的存在對邊界層條件的影響,用25號針頭刺穿29-30dpf胚胎(n=4-8)的卵囊,并注入少量紅色染料(食用色素)以標記切口點。然后迅速將微電極放入卵囊內,測量PVF中的氧氣、pH值或氨。邊界層梯度的計算方法是取PVF與自由流動水(完整胚胎)之間的差值,并與29-30dpf相同發育時間的孵化胚胎(幼魚)梯度(卵囊表面減去自由流動水)進行比較(n=8-14)。
系列III:胚胎擁擠對邊界層條件的影響
圖1虹鱒胚胎擁擠裝置示意圖。邊界層測量取自中央目標胚胎。目標胚胎周圍有(a)六個活胚胎或(b)六個直徑約5毫米的塑料假胚胎或(c)無胚胎。
為確定胚胎擁擠對邊界層條件的影響,對26-29dpf胚胎(n=6)進行了實驗。測試胚胎被放置在一個鐵絲環的中心,周圍有六個其他胚胎,讓邊界層形成30分鐘(圖1)。對中央單個測試胚胎的邊界層進行測量。天然胚胎的擁擠會通過增加湍流影響水流條件,并通過代謝作用影響水化學。因此,在測試胚胎周圍放置了六個假胚胎,即與天然胚胎尺寸大致相同的塑料球(直徑5毫米),然后重復實驗。假胚胎通過改變測試胚胎附近的水流來模擬天然河床產卵區中的擁擠現象,但不會對水的化學成分產生生物影響。第三組測量是在沒有擁擠的情況下對單個測試胚胎進行的。每次處理后都會沖洗系統,以清除代謝廢物并補充氧氣。
統計分析
使用SigmaPlot11.0軟件進行統計分析。采用單因素方差分析確定不同發育階段(系列I)和有無卵囊(系列II)之間邊界層梯度的顯著差異。在系列I中,封裝胚胎(15-30dpf)與孵化幼魚(30-44dpf)分開測試,因為前者的測量是從卵囊表面進行的,而孵化幼魚的測量是從卵囊表面進行的。采用單向重復測量方差分析確定胚胎擁擠實驗(系列III)中邊界層梯度的顯著差異。采用Tukey后檢驗確定差異顯著的組別(P<0.05)。結果以平均值±S.E.表示。在適當情況下,使用平方根函數對數據進行轉換,以平衡方差。
結果
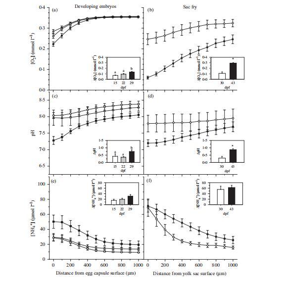
圖2 (a、c、e)發育中的虹鱒胚胎[受精后15(△)天、22(灰○)天和29(黑□)天]和(b、d、f)幼魚苗[受精后30(◇)天和43(●)天]的邊界層。在胚胎和幼魚苗的邊界層測量(a,b)氧氣(O2)、(c,d)pH值和(e,f)氨(NH4+)。邊界層梯度的計算方法是邊界層中最低氧氣濃度、pH值或最高NH4+濃度與表層水的差值。數據以平均值±s.e.表示(n=4-14)。梯度的顯著差異采用單因子方差分析和Tukey后檢驗(P<0.05)。小寫字母表示胚胎邊界層梯度的顯著差異。*,30和43dpf幼魚邊界層梯度的顯著差異。
在系列I(發育系列)中,胚胎的氧梯度在29dpf顯著高于22和15dpf[單因子方差分析,F2,37=9.162,P<0.001;圖2(a)],幼魚的氧梯度在43dpf顯著高于30dpf[單因子方差分析,F1,20=69.012,P<0.001;圖2(b)]。同樣,胚胎發育后期(29dpf)的pH梯度明顯高于早期階段[15和22dpf;單因素方差分析,F2,31=4.659,P<0.05;圖2(c)],43dpf幼魚的pH梯度也明顯高于30dpf幼魚[單因素方差分析,F1,16=17.855,P<0.001;圖2(d)]。胚胎和幼魚發育過程中的氨梯度沒有明顯差異[單因素方差分析,F2,21=2.841,P>0.05和F1,15=0.248,P>0.05;圖2(e),(f)]。
圖3 虹鱒胚胎細胞周液(PVF)與自由流水之間或魚苗卵囊表面與自由流水之間的梯度。(a)氧(O2;n=8)、(b)pH(n=4-5)和(c)氨(NH4+;n=6-7)的測量是在相似的發育階段(29-30dpf)進行的。用單向方差分析和Tukey后宿主檢驗確定梯度的顯著差異(P<0.05)。*,卵囊和PVF梯度之間存在顯著差異。
在系列II(存在或不存在卵囊)中,包膜胚胎的PVF與自由流動的水之間的氧梯度顯著高于同一發育時間剛孵化胚胎的卵囊表面與自由流動的水之間的梯度[單因子方差分析,F1,14=262.780,P<0.001;圖3(a)]。包膜胚胎的pH和氨梯度也明顯高于剛孵化的胚胎[單因素方差分析,F1,7=83.319,P<0.001和F1,11=10.304,P<0.01;圖3(b),(c)]。
圖4 (a)單個虹鱒胚胎邊界層的氧氣(O2)、pH值和氨(NH4+)梯度,假擁擠或胚胎擁擠處理。在擁擠處理中,胚胎被六個假胚胎或六個活胚胎擁擠。數據以平均值±s.e.表示(n=6)。使用重復測量單因素方差分析和Tukey后檢驗(P<0.05)可發現顯著差異。小寫字母表示處理組之間存在顯著差異。
在系列III(胚胎擁擠)中,單個胚胎的氧氣梯度明顯低于假胚或胚胎擁擠處理[單向重復測量方差分析,F2,10=94.700,P<0.001;圖4(a)]。與單個胚胎處理相比,兩種擁擠處理的pH邊界層梯度都明顯更高[單因子重復測量方差分析,F2,10=31.894,P<0.001;圖4(b)]。此外,與單胚胎處理相比,胚胎擁擠處理的氨邊界層梯度明顯更高,而假擁擠處理的氨邊界層梯度則不高[單因子重復測量方差分析,F2,10=6.846,P<0.05;圖4(c)]。