熱線:021-66110810,66110819
手機:13564362870

熱線:021-66110810,66110819
手機:13564362870
腦機接口技術正快速走向臨床,但其長期穩定性仍面臨挑戰。已有研究指出,微電極植入后引發的神經炎癥反應可能由血腦屏障受損引起,而腸道菌群是否會通過這一通路“入侵”大腦,尚未有明確證據。近日,美國凱斯西儲大學團隊在《Nature Communications》上發表題為“Bacteria invade the brain following intracortical microelectrode implantation,inducing gut-brain axis disruption and contributing to reduced microelectrode performance”的研究,首次利用16S擴增子測序結合空間蛋白組和電極性能評估,發現腸道細菌DNA可在植入后短期內進入腦組織,誘導炎癥反應并影響電極記錄信號。這一發現為理解腦機接口的失效機制提供了新的“微生物–炎癥”通路視角。
研究結果
1、微電極植入導致細菌DNA入侵腦組織,且群落結構隨時間動態變化16S擴增子測序顯示,未植入腦組織中幾乎無細菌序列(16S/污染序列比值極低),而4周后腦組織中該比值顯著升高,提示細菌DNA明顯增多。12周時該比值下降,說明細菌入侵具有階段性(見Fig.1C)。同時,植入組中可檢測到189個新的菌屬特征,其中101個也在糞便樣本中出現,提示部分細菌來源于腸道(見Fig.1D,1E)。
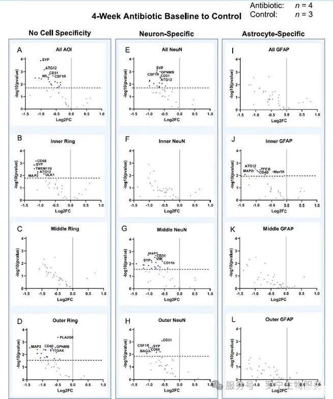
2、抗生素處理可降低植入相關菌群特征豐度并影響多樣性抗生素處理后腦組織中植入相關細菌顯著減少,尤其是來自腸道的序列在第4周降低27.8%。Shannon多樣性指數與ASV數量在植入早期顯著高于對照組,抗生素可有效降低其多樣性(見Fig.2B,2C)。PCoA分析中,抗生素組的腦組織樣本與背景組重疊更大,表明抗生素在一定程度上抑制了植入后細菌群落的獨特性(見Fig.2E)。
3、抗生素短期提升微電極性能,長期效果反轉電生理記錄顯示,抗生素組在急性期(0–5周)電極活性位點比例(AEY)顯著高于對照組(80%vs 67%,見Fig.3A–B),Vpp和spike rate指標也顯著提高(Fig.3C–E)。但在慢性期(第12周),抗生素組AEY下降至42%,低于對照組(56%),提示長期使用或影響腦組織狀態。
4、抗生素減少炎癥相關蛋白表達,緩解早期神經炎癥反應空間蛋白組顯示,抗生素組在植入第4周腦組織中有28個蛋白顯著下調,涉及微膠質細胞(如CD40、CD68)、自噬(ATG5、ULK1)及神經健康標志物(MAP2、NeuN)(見Fig.4)。12周時炎癥相關蛋白表達差異大幅減少,僅CD163在抗生素組中上調,提示免疫表型由促炎M1向抗炎M2轉變。
研究結論
本研究首次通過16S擴增子測序證實,在小鼠腦內植入微電極可導致大量非背景細菌DNA進入腦組織,其中部分來源于腸道。植入相關菌群組成隨時間演變,植入初期呈現高豐度多樣性,長期則趨于恢復。抗生素處理顯著削弱了這種植入誘導的菌群特征,短期內有效緩解神經炎癥反應并提高電極記錄信號質量,但長期則可能誘發神經系統功能下降。空間蛋白組與轉錄組結果揭示了抗生素通過調控炎癥信號通路、微膠質細胞活化與神經保護標志物表達,影響微電極與腦組織界面的整合狀態。本研究首次從微生物–腸–腦軸視角揭示腦機接口性能下降的潛在機制,為提升植入設備長期可靠性提供了全新研究方向。
相關新聞