熱線:021-66110810,66110819
手機:13564362870

熱線:021-66110810,66110819
手機:13564362870
利用微電極技術研究漾濞泡核桃休閑食品(6種)的體外抗氧化活性,能夠實現高靈敏度、實時動態監測抗氧化成分與自由基的相互作用。以下是系統化的研究方案和關鍵分析步驟:
一、研究目標
量化抗氧化能力:比較6種核桃食品(如原味、椒鹽、糖漬、炭烤等)的抗氧化活性差異。
解析抗氧化機制:通過微電極動態監測活性氧(ROS)清除過程,揭示抗氧化成分(如多酚、維生素E)的作用kinetics。
二、實驗設計
1.樣品前處理
提取抗氧化成分:
將6種核桃食品研磨后,用甲醇/水(70:30)超聲提取30 min,離心取上清液。
調整提取物濃度(如1–100 mg/mL)用于梯度分析。
2.微電極系統選擇
核心電極:
O?微電極(Unisense):監測抗氧化劑對超氧陰離子(O???)的清除能力。
H?O?微電極:檢測過氧化氫清除效率(如基于辣根過氧化物酶修飾電極)。
氧化還原微電極(Au/Pt):通過循環伏安法(CV)測定總抗氧化物質(如酚類)的電子轉移能力。
3.抗氧化活性動態監測
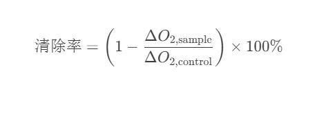
(1)超氧陰離子(O???)清除實驗
體系構建:
采用黃嘌呤-黃嘌呤氧化酶(X-XOD)體系生成O???,插入O?微電極實時監測溶解氧變化。
加入核桃提取物后,O?消耗速率降低反映O???清除能力。
數據計算:
(2)H?O?清除實驗
方法:
在H?O?溶液中(如100μM)加入提取物,H?O?微電極檢測濃度隨時間下降曲線。
對比半衰期(t?/?)評估清除效率。
(3)總抗氧化能力(TAC)
電化學檢測:
使用Au微電極在+0.5 V(vs.Ag/AgCl)下測定氧化電流,電流值與抗氧化劑濃度正相關(參考Trolox標準曲線)。
三、關鍵參數與數據分析
1.劑量-效應關系
繪制IC??(清除50%自由基所需的提取物濃度),比較6種食品的活性強弱。
示例結果:
2.動力學分析
一級動力學模型擬合:
斜率k反映清除速率,k值越大活性越強。
3.成分-活性關聯
結合HPLC-MS鑒定提取物中多酚(如鞣花酸、槲皮素)、維生素E等,與微電極數據做相關性分析。
四、技術優勢與驗證
1.微電極vs.傳統方法
指標|微電極法|DPPH/ABTS法
實時性|動態監測(秒級響應)|終點法(10–30 min)
空間分辨率|可測局部ROS分布(如細胞層面)|僅限溶液均相體系
干擾因素|受樣品濁度影響小|色素樣品易干擾吸光度
2.方法驗證
與標準方法(如ORAC、FRAP)數據對比,驗證微電極結果的可靠性。
五、應用拓展
加工工藝優化:
比較烘烤、油炸等工藝對核桃抗氧化活性的影響(如美拉德反應產物的貢獻)。
消化穩定性評估:
模擬胃腸消化后,微電極檢測殘余抗氧化能力,預測生物可利用性。
六、注意事項
電極校準:每次實驗前用標準溶液(如飽和抗壞血酸)校準。
基質效應:高脂樣品需脫脂預處理,避免油脂污染電極。
通過微電極技術,可高效篩選抗氧化活性最佳的核桃休閑食品,并為功能食品開發提供精準數據支持。
相關新聞