熱線:021-66110810,66110819
手機:13564362870

熱線:021-66110810,66110819
手機:13564362870
2結果與討論
2.1 SBR系統反硝化除磷的啟動與運行性能
通過逐步提升進水COD、PO43-及NO3-的濃度,實現了反硝化除磷的啟動,具體見圖1.從中可見,隨著馴化時間的增長,除磷效率逐漸增加。第1 d,除磷量為2.70mg·L-1,表明接種污泥中存在一定的反硝化聚磷菌。第2——10 d,除磷量由1.90mg·L-1增至8.63mg·L-1;之后,逐漸升至14.91mg·L-1,并趨于穩定,反應器具備較高的除磷能力。
圖1啟動階段SBR反應器缺氧段吸磷和NO3--N去除率變化情況
NO3-的去除幾乎與除磷效果同步變化,前10 d,NO3--N進水濃度為20——26mg·L-1,出水NO3--N濃度在0.16——4.82mg·L-1間波動。為進一步滿足除磷所需電子供體,第10 d至15 d,進水NO3--N濃度提高至30mg·L-1,去除率由82.52%逐漸提高至92.23%;第18 d起,NO3--N濃度升至35mg·L-1,去除率逐漸穩定在97.00%以上,獲得了穩定的反硝化除磷效果。
2.2反硝化除磷污泥聚集體原位除磷活性
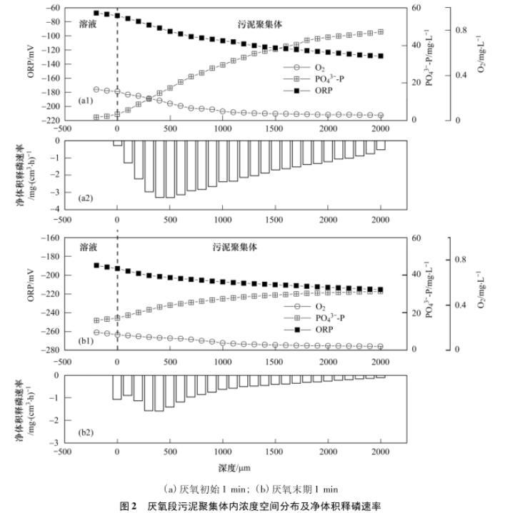
2.2.1厭氧段污泥聚集體內釋磷的原位生物活性
厭氧段污泥聚集體內釋磷原位生物活性的變化規律見圖2.由圖2(a)可見,厭氧初始1 min,DO和ORP隨深度增加均呈降低的趨勢,其中,DO由0.28mg·L-1降至0.05mg·L-1,ORP由~67.58 mV降至~128.41 mV,可知污泥聚集體內部為厭氧環境。PO43--P濃度呈逐漸升高的趨勢,最大值為47.18mg·L-1.經計算,其最大釋磷速率發生在表層500μm左右,達到3.30 mg·(cm3·h)~1.
(a)厭氧初始1 min;(b)厭氧末期1 min
圖2厭氧段污泥聚集體內濃度空間分布及凈體積釋磷速率
由圖2(b)可見,厭氧末期1 min,DO與ORP的變化趨勢同厭氧初期,ORP最低降至~215.46 mV,表明隨著反應進行,反應器ORP進一步降低;PO43--P濃度由15.88mg·L-1升至31.32mg·L-1,最大凈體積釋磷速率發生在表層400μm處,為1.60mg·(cm3·h)~1.
綜上所述,相比于厭氧初期,末期的最大凈體積釋磷速率大大減小,僅為初期的一半左右。污泥深層區域(>1000μm),厭氧末期的釋磷反應基本停止。此外,最大凈體積釋磷速率均發生在表層400——500μm處,此處的ORP分別為~93.62 mV(初期)和~201.63 mV(末期),說明,碳源充足條件下,只要ORP低于~93.62 mV均可獲得最高釋磷速率。與宏觀試驗發現ORP能指示厭氧釋磷的結果相一致。另外,當污泥聚集體(生物膜或顆粒污泥)厚度超過500μm,可能會因傳質受限影響釋磷速率。
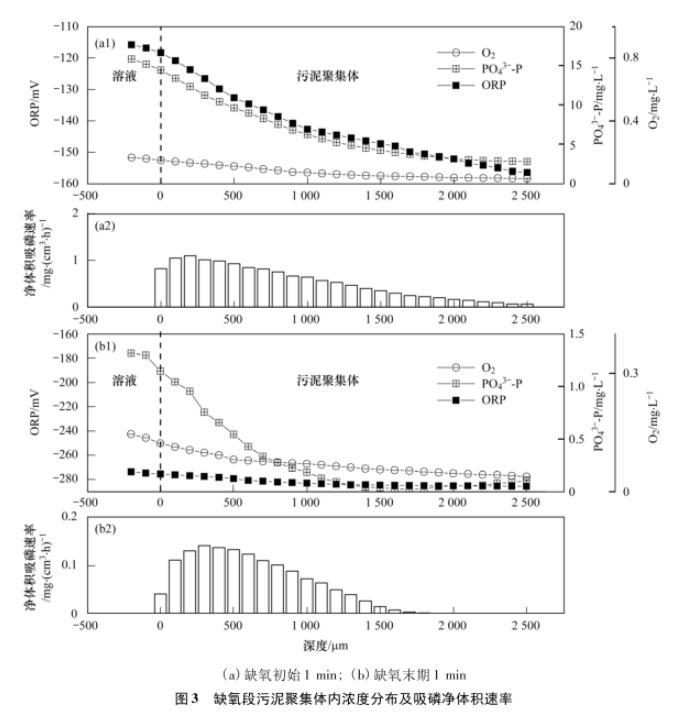
2.2.2缺氧段污泥聚集體內吸磷的原位生物活性
缺氧段污泥聚集體內吸磷速率,結果見圖3.由圖3(a)可見,缺氧初始1 min,污泥聚集體內DO濃度變化不大,由0.17mg·L-1降至0.03mg·L-1;ORP迅速降低,由表層的~115.76 mV降至~156.46 mV;PO43--P濃度呈下降趨勢,由15.88mg·L-1降至2.80mg·L-1.經計算,最大凈體積吸磷速率發生在200μm處,為1.10mg·(cm3·h)~1。
(a)缺氧初始1 min;(b)缺氧末期1 min
圖3缺氧段污泥聚集體內濃度分布及吸磷凈體積速率
由圖3(b)可見,缺氧末期1 min,DO濃度分布與初期幾乎一樣;ORP較初期更低,由~273.68 mV降至~285.49 mV,PO43--P濃度呈減小的趨勢,從污泥表層的1.32mg·L-1降至0.10mg·L-1.經計算,最大凈體積吸磷速率發生在表層300μm,僅為0.14mg·(cm3·h)~1.此外,在1800μm以下的深層區域,PO43--P濃度略有上升,發生輕微的釋磷現象。
綜上,污泥聚集體內反硝化吸磷的最大凈體積速率為1.10mg·(cm3·h)~1,僅為最大釋磷速率的1/3左右。因此,缺氧段需要更多的反應時間。缺氧末期吸磷反應很微弱,且在污泥聚集體深處發生了“二次釋磷”現象,與宏觀研究結果相一致。筆者推測可能是由于缺氧末期電子受體NO3-不足發生了內源釋磷。因此,為保證除磷效果反應器應嚴格控制缺氧段的運行時間。
2.3 COD濃度對污泥聚集體內原位釋磷活性的影響
在厭氧初始1 min取樣,研究不同COD濃度對污泥聚集體內原位釋磷活性的影響,結果見圖4.從中可知,3組試驗中DO變化值較小,均為0.07——0.09mg·L-1.隨著COD濃度(mg·L-1)由350降至250和150,ORP在整個污泥聚集體中的變化值呈降低趨勢,分別為68.00、44.07和34.56 mV,最大釋磷凈體積速率分別由3.27 mg·(cm3·h)~1降至2.44 mg·(cm3·h)~1和2.01 mg·(cm3·h)~1.表明高濃度的COD,同時降低了ORP并提高了釋磷速率。此外,隨著初始COD濃度的降低,快速釋磷區域向污泥聚集體的表層收窄,原因是低COD濃度導致傳質減弱,使污泥整體釋磷活性降低。
(a)COD濃度為350 mg·L-1;(b)COD濃度為250 mg·L-1;(c)COD濃度為150 mg·L-1
圖4 COD濃度對污泥聚集體內濃度分布及凈體積釋磷速率的影響
3結論
(1)反硝化除磷污泥聚集體內部,原位釋磷活性遠高于吸磷活性,最大釋磷速率是吸磷速率的3倍。
(2)厭氧和缺氧段末期,雖然污泥聚集體內的ORP均進一步降低,但因濃度降低導致基質受限,其釋磷、吸磷速率僅為初期的1/2和1/8左右。
(3)隨著COD濃度的降低,反硝化除磷污泥聚集體內凈體積釋磷速率呈降低趨勢,且快速釋磷區域向表層收窄。
相關新聞