熱線:021-66110810,66110819
手機:13564362870

熱線:021-66110810,66110819
手機:13564362870
分析方法對于監測和評估重要化學品的濃度至關重要,現在對小型化、需要更少樣本量和能夠在現場進行實時分析的方法的需求日益增長。大多數電分析技術依賴于校準或標準,這有幾個限制,從基質干擾到穩定性問題,所需時間,成本和浪費。因此,不需要標準或校準曲線的策略引起了分析化學界的極大興趣。
本文提出了一種新的定量方法,它不依賴于校準,只基于用微電極記錄的單個計時安培曲線。結果表明,只需一個計時安培實驗,只需要幾秒鐘,就可以獲得令人滿意的分析信息。
本文提出了不同的數據處理方法來確定未知濃度,考慮了實驗條件和儀器參數,報告了平行反應如何影響結果,推薦了在自主傳感器中實現該方法的程序。還表明,如果它們的E°值相差足夠遠,可以推導出幾個物種的濃度,如果E°值太接近,則可以推導出所有濃度的總和。該方法通過氧化還原系統模型進行驗證,然后通過測定標準溶液和食品補充劑中的抗壞血酸濃度以及止痛藥中的撲熱息痛濃度進行進一步評估。對庫侖法測定抗壞血酸的結果進行了比較,結果吻合較好,最大偏差約為10.8%。該方法還成功地應用于用乙二醇作為增稠劑測定不同粘度溶液中的抗壞血酸。
結果
圖1。使用Cottrell方程(藍點)和Mahon和Oldham方程計算的短期(黑點)和長時間(紅點)的電流值。
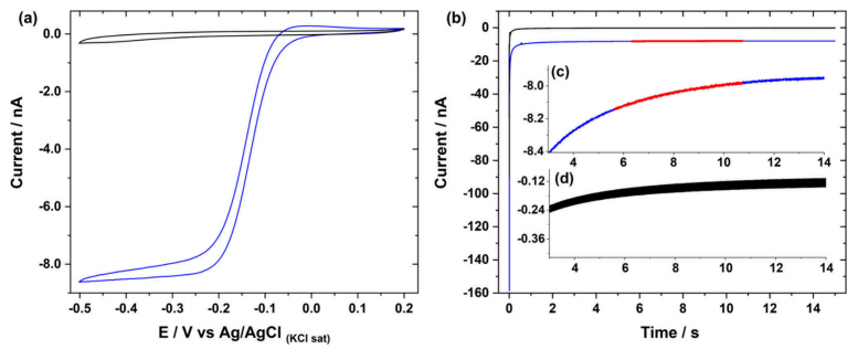
圖2。a)半徑為14.1μm的碳纖維圓盤微電極在1.8 mmol L?1六胺酸(III)+0.1 mol L?1 KCl溶液中記錄的伏安圖。掃描速率=20mv s?1。黑線對應于在支撐電解質中記錄的背景CV。b)同一微電極在同一溶液中從0.0 V步進到?0.4 V時記錄的時程電流圖。插圖:c)用于推導D和c的電流區域(紅色)的放大倍數,D)背景電流的放大倍數。
圖3。a)當電極從0.0 V步進到+1.1 V時,在3mmol L?1抗壞血酸+0.1 mol L?1 KCl溶液中進行計時電流測定。黑線對應于記錄在支撐電解質中的背景電流。插圖:b)背景電流的放大倍數,c)用于導出D和c的電流區域(紅色)的放大倍數。
圖4。圖3所示時安培圖上高亮顯示的電流區域的線性化。(Current/nA)=4.14(time/s)?1/2+20.90;R2=0.9951。
相關新聞