熱線:021-66110810,66110819
手機:13564362870

熱線:021-66110810,66110819
手機:13564362870
研究簡介:報道了一種新的甲烷氧化菌——Methylomonas denitrificans FJG1菌株,它能夠在低氧條件下將甲烷氧化與硝酸鹽還原耦合,并以一氧化二氮(N2O)作為最終產物釋放。這項研究擴展了我們對好氧甲烷氧化菌在碳和氮循環中作用的理解,并為這些細菌在厭氧生態系統中的豐度和活性提供了新的解釋。研究者使用微傳感器測量和Illumina RNA-Seq技術,發現FJG1菌株在氧限制條件下能夠激活之前未知的反硝化途徑,并且這種途徑的基因表達與硝酸鹽的可用性有關。特別地,研究揭示了在低氧條件下,FJG1菌株能夠利用甲烷作為電子供體,通過反硝化途徑將硝酸鹽還原為N2O,同時通過這一過程保存能量。本文章強調了這種代謝靈活性對好氧甲烷氧化菌在自然環境中生存和功能的重要性。
在氧限制的環境中,如油砂尾礦池、凍土土壤和高緯度泥炭土壤等,這些細菌可能通過耦合甲烷氧化和硝酸鹽還原來維持其代謝活動,這不僅有助于減少溫室氣體甲烷的排放,也可能影響氮循環和N2O的產生。此外研究還發現了與甲烷氧化有關的pxmABC操縱子在低氧和硝酸鹽存在的條件下表達上調,暗示了可能存在一種新型的甲烷單加氧酶,這可能在低氧條件下的甲烷代謝中發揮作用。同時,研究發現在低氧條件下,與氧結合的球蛋白表達水平上升,這可能是一種將稀缺氧氣輸送至甲烷單加氧酶的機制。這項研究不僅發現了一種新的甲烷氧化菌,還揭示了其在低氧條件下獨特的代謝途徑,這對理解微生物在全球元素循環中的作用具有重要意義。
Unisense微呼吸系統的應用
Unisense微呼吸系統(MicroRespiration,MR chamber)被用來測量和分析Methylomonas denitrificans sp.nov.strain FJG1在不同條件下的代謝活動,特別是氧氣(O2)、甲烷(CH4)、一氧化二氮(N2O)的消耗和產生情況。首先從在NMS(硝酸鹽礦物鹽培養基)或AMS(銨礦物鹽培養基)中培養了120小時的細菌培養物中收集大約1×1011個細胞。使用過濾裝置和0.2μm的濾膜收集細胞,然后用新鮮的礦物鹽培養基洗滌三次,并重新懸浮在10 ml的培養基中。將洗滌后的細胞轉移到10 ml的unisense的MicroRespiration(MR)微呼吸瓶中,不留任何空隙。MR室配備了OX-MR O2傳感器和N2O-500 N2O傳感器。通過直接注射的方式向MR室內添加硝酸鹽(NO3?,最終濃度1 mM)、亞硝酸鹽(NO2?,最終濃度1mM)和一氧化氮供體(ProliNONOate,每2.5分鐘6 nmol)。在實驗過程中,監測O2和N2O濃度變化,以評估細胞在不同條件下的代謝活動。
實驗結果
揭示了一種新型的好氧甲烷氧化菌——Methylomonas denitrificans FJG1菌株,它在低氧條件下展現出了將甲烷氧化與硝酸鹽還原耦合的能力,最終產生一氧化二氮(N2O)。FJG1菌株能夠利用甲烷作為電子供體,在缺氧條件下將硝酸鹽還原為N2O,這一過程表明了甲烷氧化菌在氮循環中的潛在作用。N2O的形成依賴于硝酸鹽的可用性和低氧條件,這表明了環境因素對甲烷氧化菌代謝途徑的重要影響。在氧限制條件下,FJG1菌株通過反硝化途徑進行能量保存,這為理解這類細菌在低氧環境中的生存策略提供了新的視角。轉錄組分析顯示,與反硝化途徑相關的基因在缺氧和硝酸鹽存在的條件下表達上調,這證實了生理和分子層面上對代謝途徑的調控。
圖1、Methylomonas denitrificans sp.nov.株FJG1T在AMS和NMS培養基中培養時的生長、甲烷和氧氣消耗以及一氧化二氮產生。M.denitrificans sp.nov.株FJG1T在封閉的玻璃瓶中以100 ml的AMS或NMS培養基培養120小時,瓶蓋為丁基橡膠隔膜帽,氣體頭空間的混合比例為3:7,甲烷對氧氣。使用平板閱讀器在600 nm處測量光密度(A),并使用氣相色譜-熱導檢測器(GC-TCD)測量氣體頭空間中的甲烷(B)、氧氣(C)和一氧化二氮(D)濃度。所有數據點表示n=6的平均值±標準差。
圖2.Methylomonas denitrificans sp.nov.株FJG1T在氧氣限制條件下將甲烷氧化與硝酸鹽、亞硝酸鹽和一氧化氮還原耦合。實驗在封閉的10 ml微呼吸室中進行,該室配備了氧氣和一氧化氮或一氧化二氮微傳感器,并使用SensorTrace Basic軟件記錄數據。氧氣(黑色三角形)和一氧化二氮/一氧化氮(灰色菱形)。箭頭標記了甲烷、硝酸鉀(1 mM)、CCCP(200μM)、亞硝酸鈉(1 mM)或Proli NONOate(每2.5分鐘6 nmol/注射)的添加時間。
圖3、在<50 nM氧氣條件下,硝酸鹽還原為一氧化二氮依賴于甲烷。實驗在封閉的10 ml微呼吸瓶中進行,該室配備了氧氣和一氧化二氮微傳感器,并使用SensorTrace Basic軟件記錄數據。氧氣(黑色鉆石)和一氧化二氮(灰色正方形)。箭頭標記了甲烷的添加時間。
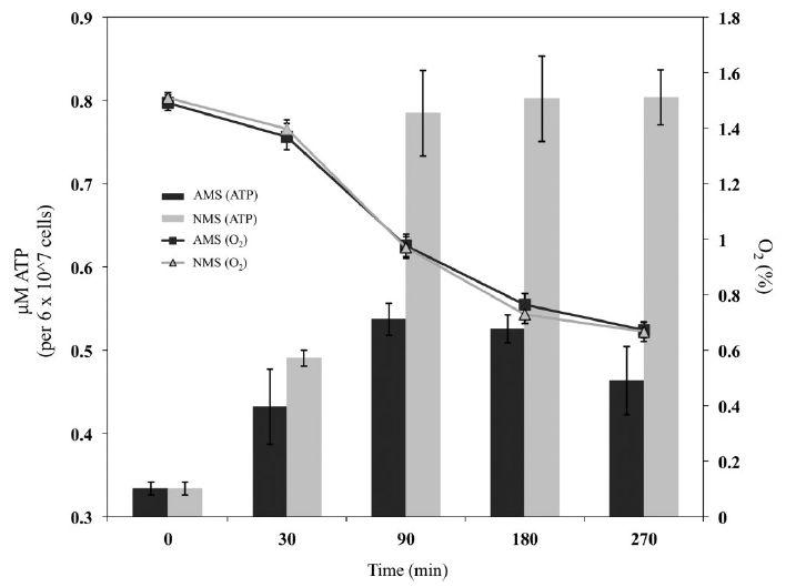
圖4.在氧氣限制條件下,Methylomonas denitrificans sp.nov.株FJG1T的ATP產生和氧氣消耗。Methylomonas denitrificans sp.nov.株FJG1T在100 ml的NMS培養基中培養,在封閉的250 ml玻璃瓶中進行120小時,氣體頭空間混合比例為3:7,甲烷對氧氣。柱狀圖表示ATP含量(黑色-AMS,灰色-NMS),線條表示氣體頭空間中的氧氣濃度(AMS-黑色正方形,NMS-灰色三角形)。使用BacTiter-Glo Microbial Cell Viability Assay(Promega)在發光度計上測量ATP,并使用GC-TCD測量氣體頭空間中的氧氣濃度。每個數據點代表n=6的平均值±標準差。
結論與展望
屬于Gammaproteobacteria門的專性甲烷氧化菌Methylomonas denitrificans新種FJG1菌株能夠在氧氣限制條件下將甲烷氧化與硝酸鹽還原耦合,并以一氧化二氮(N2O)作為最終產物釋放。雖然一些好氧甲烷氧化菌的基因組編碼了假定的氮氧化物還原酶,但這些代謝模塊是否用于NOx解毒、反硝化或其他目的尚不清楚。本研究通過unisense微呼吸傳感器測量證明FJG1菌株在低氧條件下能夠進行上述耦合反應。Illumina RNA-Seq數據分析揭示了FJG1菌株響應低氧條件的基因表達差異,包括之前未知的反硝化途徑的基因以及pxmABC操縱子。生理和轉錄組數據表明,編碼反硝化途徑的遺傳庫存僅在氧限制條件下硝酸鹽可用時才會上調。Unisense微呼吸系統為研究Methylomonas denitrificans FJG1菌株在低氧條件下的代謝途徑提供了一個強有力的實驗工具,unisense微呼吸傳感器能夠精確測量微呼吸瓶內的氣體消耗和產生速率,這對于了解FJG1菌株在特定條件下的代謝活性和效率至關重要。支持了FJG1菌株在低氧條件下通過反硝化途徑進行能量代謝的假設,使得研究人員能夠在受控的微環境中詳細監測和分析細菌的代謝活動。此外,ATP水平的定量表明,反硝化途徑使用諸如硝酸鹽還原酶NarGH等庫存,使FJG1菌株能夠在氧限制期間保存能量。本研究揭示了好氧甲烷氧化菌在碳和氮循環代謝交叉點的意外代謝靈活性。
相關新聞