熱線:021-66110810,66110819
手機:13564362870

熱線:021-66110810,66110819
手機:13564362870
Differential contributions of ammonia oxidizers and nitrite oxidizers to nitrification in four paddy soils
氨氧化菌與亞硝酸鹽氧化菌對四種稻田土壤硝化作用的差異化貢獻
來源:The ISME Journal, Volume 9, 2015, Pages 1062-1075
《國際微生物生態學期刊》,第9卷,2015年,第1062-1075頁
摘要
論文研究了四種中國典型稻田土壤(資陽ZY、江都JD、雷州LZ、嘉興JX)中氨氧化古菌(AOA)、氨氧化細菌(AOB)和亞硝酸鹽氧化菌(NOB)對硝化作用的貢獻差異。在56天培養中,尿素添加后硝化活性差異顯著(ZY 11.9、JD 9.46、LZ 3.03、JX 1.43 μg NO??-N g?1土壤/天)。實時定量PCR和高通量測序顯示AOA種群不同程度增加,但其相對貢獻從ZY到LZ遞減,而AOB呈相反趨勢,JX土壤僅刺激AOB。DNA穩定性同位素探針(SIP)證明在ZY、JD和LZ土壤的13C-DNA中活躍AOA數量分別超過AOB 37.0、10.5和1.91倍,而JX土壤僅標記AOB。NOB標記程度遠高于AOA/AOB,乙酰添加完全抑制13CO?同化。系統發育分析表明古菌氨氧化主要由土壤group 1.1b的29i4相關AOA催化,細菌氨氧化主要與Nitrosospira cluster 3相關。活躍AOA/AOB比率與土壤氧化能力顯著相關,暗示微需氧條件下AOA更具優勢。
研究目的
研究目的是探究稻田土壤中好氧氨氧化菌(AOA和AOB)和亞硝酸鹽氧化菌(NOB)在獨特農業管理(定期淹水和施氮)下的功能重要性,通過比較四種地理區域代表性稻田土壤,闡明氨氧化微生物和亞硝酸鹽氧化微生物對硝化作用的差異貢獻及其與土壤理化性質的關系。
研究思路
研究思路包括采集四種稻田土壤(ZY、JD、LZ、JX)構建尿素添加的微宇宙培養56天,測定硝化活性。通過實時定量PCR(amoA基因)和16S rRNA基因高通量測序分析微生物種群動態,利用DNA-SIP技術結合13CO?標記鑒定活躍硝化微生物,并通過系統發育分析確定關鍵物種。關聯土壤理化性質(如pH、氧化容量OXC)與微生物活性,以揭示影響硝化微生物群落結構的環境因素。
測量的數據及研究意義
1 硝化活性數據,顯示土壤硝酸鹽生成速率。研究意義在于量化不同土壤硝化潛力,揭示ZY土壤活性最高,JX最低,為優化氮肥管理提供依據。
2 amoA基因拷貝數數據,通過qPCR測定AOA和AOB種群變化,來自Figure 2b和2c。研究意義在于表明AOA在ZY、JD、LZ土壤中顯著增長,而AOB在所有土壤均增加,證實微生物對尿素輸入的差異響應。

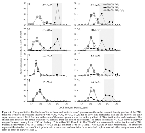
3 13C-DNA中AOA/AOB比率數據,來自SIP實驗(Figure 3),顯示ZY、JD、LZ土壤中AOA相對活躍度分別為AOB的37.0、10.5和1.91倍。研究意義在于直接證明AOA在多數土壤主導氨氧化,挑戰傳統AOB核心角色。

4 微生物群落組成數據,顯示AOA以29i4相關類群為主,AOB以Nitrosospira cluster 3為主。研究意義在于將功能活性與分類學關聯,識別關鍵物種。
5 土壤氧濃度剖面數據,使用Unisense微電極測量(Figure 5a),顯示淹水土壤中氧梯度。研究意義在于將低氧條件與AOA優勢關聯,解釋其生態位適應。

結論
1 AOA和AOB對硝化貢獻受土壤性質調節:堿性高OXC土壤(如ZY)利于AOA,而中性低OXC土壤(如JX)依賴AOB。
2 NOB以Nitrospira為主,標記程度高表明其在硝化鏈中的關鍵作用,且適應稻田低氧環境。
3 土壤氧化容量(OXC)和pH是決定AOA/AOB比率的關鍵因素,微需氧條件促進AOA優勢。
4 DNA-SIP結合分子技術有效鏈接活性微生物與功能,為稻田氮循環管理提供理論依據。
使用丹麥Unisense電極測量數據的研究意義
使用丹麥Unisense氧微電極(OX 50型)測量土壤氧濃度剖面,提供高空間分辨率(100 μm間隔)的實時氧梯度數據。研究意義在于:電極測量顯示淹水土壤中氧濃度隨深度急劇降低(Figure 5a),ZY和JD土壤氧累積濃度(19.2-20.5 μg L?1)顯著低于LZ和JX(128-183 μg L?1),直接證實稻田微需氧環境;這些數據與AOA活躍度正相關(如ZY土壤AOA主導),支持AOA在低氧下競爭優勢的假說;氧剖面還關聯土壤氧化容量(OXC),揭示氧化還原電位如何通過影響氧可用性調控微生物群落結構。Unisense電極的高精度測量為理解稻田硝化作用的微環境驅動機制提供了關鍵證據。