熱線:021-66110810,66110819
手機:13564362870

熱線:021-66110810,66110819
手機:13564362870
Mineral protection of soil carbon counteracted by root exudates
根系分泌物會抵消礦物對土壤碳的保護作用
來源:NATURE CLIMATE CHANGE, Volume 5, June 2015
《自然氣候變化》,第5卷,2015年6月
摘要
摘要闡述了氣候變化可能增強植物根部分泌有機物進入土壤,近期實驗表明增加根分泌物輸入可能導致土壤碳的凈損失。這種微生物碳礦化的刺激(稱為“啟動效應”)通常被解釋為根分泌物為微生物分解原生土壤碳提供易生物利用的能源(共代謝)。本研究提出一種替代機制可導致同等或更大程度的碳損失:常見根分泌物草酸通過解放礦物保護的有機化合物促進碳損失。通過增強微生物對先前礦物保護化合物的訪問,這種間接機制比單純增加更有利能源底物更能加速碳損失。結果挑戰了礦物關聯碳在千年時間尺度上受微生物循環保護的假設。
研究目的
研究目的是評估根分泌物是否通過解放礦物保護的碳來加速微生物碳礦化(即啟動效應),而不是傳統認為的共代謝機制。重點測試草酸等根分泌物如何通過破壞礦物-有機關聯促進碳可訪問性,從而理解土壤碳庫對氣候變化的響應。
研究思路
研究思路包括使用人工根系統向兩種土壤(草地粉壤土和森林粘土)連續添加不同根分泌物(葡萄糖、乙酸、草酸)或無機營養液(對照),模擬自然根分泌物速率。通過微電極測量O2濃度剖面,分析總土壤碳、金屬相(如金屬-有機復合物和短程有序相)濃度、孔隙水碳和金屬濃度、微生物群落結構變化,并使用同位素標記區分分泌物碳和原生碳。實驗持續35天,控制溫度、濕度,并通過光譜技術(如STXM/NEXAFS)分析化學形態。
測量的數據及研究意義
1 O2濃度隨距離根部的變化數據,來自圖2b。研究意義是直接量化微生物呼吸速率,顯示草酸處理導致O2耗盡最嚴重,表明其刺激微生物活性最強,驗證根分泌物通過增強微生物訪問促進碳礦化。

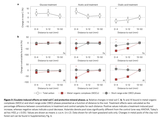
2 總土壤碳相對變化數據,來自圖3a。研究意義是評估碳凈損失,草酸處理導致碳減少約4%,而葡萄糖和乙酸增加碳含量,表明草酸通過解放礦物碳引發凈損失,而其他分泌物可能促進碳固定。

3 金屬相(如Fe和Al在金屬-有機復合物和短程有序相中)濃度變化數據,來自圖3b。研究意義是揭示草酸破壞礦物-有機關聯,減少保護相,解放碳供微生物利用,支持間接機制主導啟動效應。
4 孔隙水碳和金屬濃度關聯數據,來自圖4a。研究意義是顯示草酸處理增加孔隙水碳和溶解Fe、Al濃度,且相關性高,證實草酸通過絡合作用解放礦物結合碳。

5 微生物群落結構變化數據。研究意義是草酸富集擬桿菌門和變形菌門等富營養菌,表明碳可訪問性增加驅動群落轉變,間接促進礦化。
6 根分泌物性質數據,如pKa、Fe3+絡合常數等,來自表1。研究意義是解釋草酸的高絡合能力為何使其在解放碳方面更有效,而非能源價值。

結論
1 草酸根分泌物通過破壞礦物-有機關聯解放保護碳,導致顯著土壤碳損失(約4%),而葡萄糖和乙酸主要通過共代謝機制,甚至促進碳積累。
2 啟動效應不僅由生物共代謝驅動,更由根分泌物的化學絡合能力間接解放礦物保護碳主導,挑戰礦物碳長期穩定的范式。
3 氣候變化下根分泌物增加可能通過此機制加速土壤碳循環,需納入未來碳模型以改進預測。
使用丹麥Unisense電極測量數據的研究意義
使用丹麥Unisense電極測量O2濃度數據的研究意義在于,它提供了高分辨率原位監測能力,能夠實時量化根際微環境中的O2梯度,從而準確反映微生物呼吸動態。在本文中,電極數據(來自圖2b)顯示草酸處理導致O2耗盡范圍更廣(達5mm),表明微生物活性顯著增強,直接驗證了根分泌物對碳礦化的刺激作用。這種測量避免了傳統采樣破壞微環境,有助于識別呼吸熱點和機制差異(如草酸與葡萄糖對比),為啟動效應的生物地球化學過程提供實證支持。通過結合O2剖面計算呼吸速率,電極數據強化了草酸通過解放礦物碳間接促進礦化的結論,突出了非生物機制在碳循環中的關鍵角色。