熱線:021-66110810,66110819
手機:13564362870

熱線:021-66110810,66110819
手機:13564362870
Impact of carbon sources on nitrous oxide emission and microbial community structure in an anoxic/oxic activated sludge system
碳源對缺氧/好氧活性污泥系統中一氧化二氮排放和微生物群落結構的影響
來源:Clean Technologies and Environmental Policy, Volume 17, pages 2375–2385, 2015
《清潔技術與環境政策》,第17卷,第2375–2385頁,2015年
摘要
摘要部分闡述了碳源對反硝化過程中一氧化二氮(N2O)排放的影響。研究比較了甲醇和乙酸鈉作為唯一碳源在改良型Ludzak-Ettinger(MLE)過程中的效果。結果表明,雖然可溶性氮的去除效率不受碳源影響,但乙酸鈉系統的N2O排放率(1.6±0.6 μg N-N2O/min)低于甲醇系統(3.0±0.7 μg N-N2O/min)。批次實驗顯示,乙酸鈉培養的生物質具有更高的N2O還原率(10.3 mg/gVSS/h),而甲醇培養的為3.3 mg/gVSS/h。微生物群落分析發現,甲醇系統富含Methylotenera屬(34.9%),該屬無法還原N2O,而乙酸鈉系統富集了Dechloromonas和Rubrivivax屬等潛在N2O還原菌。摘要指出,乙酸鈉是替代甲醇以減少N2O排放的合適碳源。
研究目的
研究目的是調查外部碳源(甲醇和乙酸鈉)對MLE過程中N2O排放的影響,并評估碳源如何通過改變微生物群落結構來調控N2O生產與還原。
研究思路
研究思路包括設置兩個實驗室規模的MLE過程,分別以甲醇和乙酸鈉作為唯一碳源,在相同操作條件下運行。通過連續監測水質參數、N2O排放率和微生物指標,結合批次實驗測定N2O還原率,并使用分子生物學方法(如實時PCR和Illumina測序)分析功能基因和群落結構,以揭示碳源對N2O排放的機制。
測量的數據及研究意義
1. 水質參數:測量了溶解有機碳(DOC)、銨離子(NH4+)、亞硝酸鹽(NO2-)和硝酸鹽(NO3-)濃度,數據來自圖2。研究意義是評估碳源對氮去除效率的影響,顯示兩種系統去除效率相似,但乙酸鈉系統有輕微更高的亞硝酸鹽積累,這可能與硝化性能差異相關。

2. N2O排放率:測量了從好氧罐排放的N2O氣體速率,數據來自圖3。研究意義是直接比較碳源對N2O排放的影響,表明乙酸鈉系統排放更低,有助于評估碳源在減少溫室氣體排放方面的潛力。

3. N2O還原率:通過批次實驗測量了生物質在缺氧條件下的N2O還原速率,數據來自圖4。研究意義是揭示碳源如何影響反硝化活性,乙酸鈉系統更高的還原率解釋了其低排放原因,關聯到微生物功能。

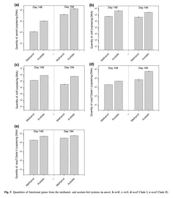
4. 功能基因豐度:量化了amoA、nirK、nirS、nosZ Clade I和nosZ Clade II基因的拷貝數,數據來自圖5。研究意義是評估碳源對氮轉化酶基因的影響,乙酸鈉系統有更高的nosZ基因豐度,表明更強的N2O還原能力。

5. 微生物群落結構:通過16S rRNA基因測序分析了屬水平群落,數據來自圖6和表3。研究意義是揭示碳源如何塑造群落,乙酸鈉系統富集了N2O還原菌(如Dechloromonas和Rubrivivax),而甲醇系統以無法還原N2O的菌屬為主,這直接關聯到N2O排放差異。


結論
結論是碳源顯著影響MLE過程中的N2O排放。乙酸鈉作為碳源時,N2O排放率更低,歸因于更高的N2O還原率和富集了潛在N2O還原菌的微生物群落。相比之下,甲醇系統排放更高,與較低的還原率和以無法還原N2O的菌屬為主相關。這表明在廢水處理中,乙酸鈉是減少N2O排放的優選碳源。
使用丹麥Unisense電極測量數據的研究意義
使用丹麥Unisense電極測量了缺氧罐中的溶解N2O濃度,研究意義在于直接評估N2O在反硝化區域的生產和還原動態。這種測量提供了原位數據,彌補了僅從好氧罐氣體排放測量的不足,揭示了碳源如何影響缺氧條件下的N2O積累。例如,溶解N2O濃度較高可能指示不完全反硝化,結合批次實驗的還原率數據,可驗證碳源對N2O凈排放的機制。這增強了研究對N2O路徑的全面理解,為優化廢水處理工藝提供了微觀依據。