熱線:021-66110810,66110819
手機:13564362870

熱線:021-66110810,66110819
手機:13564362870
Oil-field wastewater treatment by hybrid membrane-aerated biofilm reactor (MABR) system
混合膜曝氣生物膜反應器(MABR)系統處理油田廢水
來源:Chemical Engineering Journal, Volume 264, 2015, Pages 595-602
《化學工程期刊》,第264卷,2015年,第595-602頁
摘要:
這篇論文的摘要指出,研究開發了一種混合膜曝氣生物膜反應器(MABR)系統,結合了MABR工藝和臭氧-生物活性炭(O3-BAC)深度處理的優勢,用于處理油田廢水。通過優化曝氣壓力、進料流速和停留時間等參數,系統出水COD、油含量、總氮(TN)和氨氮(NH4-N)濃度分別達到45 mg/L、2.7 mg/L、6.8 mg/L和2.8 mg/L,符合油田廢水排放標準。研究證明水解酸化和好氧氧化可在同一MABR過程中完成,且生物活性炭(BAC)能延長使用周期。
研究目的:
研究目的是開發和應用混合MABR系統處理油田廢水,以解決傳統物理化學方法能效低、二次污染等問題。通過優化操作條件,實現高效、經濟且環境友好的廢水處理,并達到嚴格的排放標準。
研究思路:
研究思路基于設計混合MABR系統,包括MABR單元和O3-BAC深度處理單元。首先,通過批次實驗研究曝氣壓力(0.1-0.2 MP)和進料流速(0.02-0.08 m/s)對MABR性能的影響,監測溶解氧(DO)、揮發性脂肪酸(VFA)、COD、油含量、NH4-N和TN等參數。然后,進行長期(60天)穩定性測試。接著,使用臭氧氧化提高廢水可生化性,并利用BAC進行深度處理,測量BOD/COD、DO和COD變化。最后,通過GC/MS分析廢水中有機物組成,評估整體處理效率。
測量的數據及研究意義:
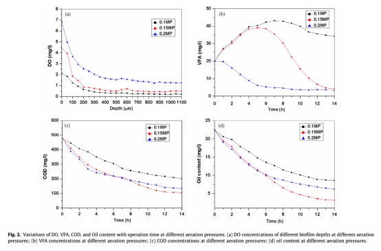
1. DO濃度數據(來自圖2a):測量不同曝氣壓力下生物膜深度的DO分布,研究意義是評估生物膜分層結構(好氧/厭氧層),優化曝氣條件以促進水解酸化和好氧氧化協同作用。

2. VFA濃度數據(來自圖2b):監測VFA隨時間變化,研究意義是反映水解酸化強度,證實MABR在0.15 MP曝氣壓力下能同時完成水解酸化和好氧氧化。
3. COD和油含量數據(來自圖2c和2d):記錄COD和油去除率,研究意義是確定最佳曝氣壓力(0.15 MP)和進料流速(0.06 m/s),實現高效有機物降解。
4. NH4-N和TN數據(來自圖3a和3b):跟蹤氮化物轉化,研究意義是驗證MABR在分層生物膜中實現硝化和反硝化,優化脫氮效率。

5. BOD/COD和DO數據(來自圖4a和4b):測量臭氧氧化后BOD/COD比和BAC過程中DO消耗,研究意義是評估可生化性改善和微生物降解作用,計算有機物降解比例(僅25.2%殘留于活性炭)。

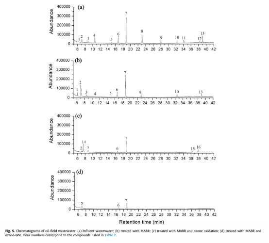
6. GC/MS數據(來自圖5和表2):分析廢水中有機物組成變化,研究意義是識別難降解物質去除效果,證實系統處理深度。


7. 處理效率數據(來自表1):匯總各過程對COD、油、NH4-N和TN的去除貢獻率,研究意義是量化MABR的主處理作用(貢獻率90.8%以上)和O3-BAC的輔助深度處理作用。

結論:
1. 混合MABR系統能有效處理油田廢水,出水指標符合排放標準。
2. MABR過程可實現水解酸化、硝化反硝化和好氧氧化的協同,減少反應器體積。
3. BAC在微生物作用下延長使用周期,比傳統活性炭更經濟。
4. 系統具有高處理效率、短水力停留時間和運行穩定等優勢,適用于工業應用。
使用丹麥Unisense電極測量數據的研究意義:
在研究中,使用丹麥Unisense的微電極測量溶解氧(DO)濃度,用于監測MABR生物膜中的氧分布(如圖2a)。這種電極提供高精度和實時DO數據,能準確反映生物膜分層結構(好氧層和厭氧層)的動態變化。研究意義在于,通過精確的DO測量,優化了曝氣壓力(如0.15 MP),確保生物膜中好氧和厭氧微生物的平衡,從而增強水解酸化和好氧氧化的協同效率。此外,在BAC過程中,Unisense電極監測DO消耗(如圖4b),幫助計算微生物降解的有機物比例(僅25.2%殘留),證實了BAC的生物學作用,避免了傳統方法中的誤差。這種高分辨率測量為系統優化提供了可靠依據,提升了廢水處理的準確性和可持續性。