熱線:021-66110810,66110819
手機:13564362870

熱線:021-66110810,66110819
手機:13564362870
Frequency of CO2 supply affects wastewater microalgal photosynthesis, productivity and nutrient removal efficiency in mesocosms: implications for full-scale high rate algal ponds
中型實驗系統中二氧化碳供給頻率對污水微藻光合作用、產率及營養鹽去除效率的影響:對規?;咝г孱愄恋膯⑹?
來源 Journal of Applied Phycology, Volume 26, Issue 5, October 2014
《應用藻類學雜志》,第26卷,第5期,2014年10月
摘要
摘要闡述了研究旨在評估二氧化碳添加頻率對廢水微藻光合性能、生物量生產和營養鹽去除的影響。研究假設降低CO2添加頻率會降低廢水微藻的性能。實驗在室外高率藻類中宇宙中進行。結果表明,高頻率CO2添加顯著提高了微藻生產力,有機生物量高出120%,總微藻生物體積高出157%。隨著CO2添加頻率的增加,光合效率提高,藻類光抑制減輕。而低頻率CO2添加的微藻與不添加CO2的對照組無顯著差異。結論是,低頻率CO2添加(例如在大型HRAP中可能出現的長時間循環和單點添加)不能提高微藻生產力。雖然CO2添加在白天良好控制pH的情況下能增強微藻光合作用和生產力,但本研究證明,由于微藻對CO2的同化迅速,在全尺寸HRAP中擁有有效的CO2添加系統對于實現CO2添加的益處至關重要。
研究目的
研究目的是測試降低CO2添加頻率是否會減少微藻的光合作用、生物量生產和營養鹽去除。在市政廢水處理HRAP中,微藻生產被認為受到碳限制,而CO2添加是克服此限制的一種方法。然而,由于微藻生物量巨大導致的高碳需求,使得CO2供應頻率可能對其成功至關重要。本研究旨在探究CO2添加頻率對微藻性能的影響,為全尺寸HRAP的設計和操作提供依據。
研究思路
研究思路是在室外建立高率藻類中宇宙系統,使用初級沉淀生活污水培養微藻。設置不同的CO2添加頻率處理組(每15、30、60、90分鐘添加一次),以及兩個對照組(不添加CO2和持續控制pH至8)。CO2以30%的濃度(模擬沼氣成分)在白天pH超過8時脈沖添加。通過連續監測pH、溶解氧、溫度,以及定期測量溶解無機碳、營養鹽濃度、微藻生物量(生物體積、有機質、葉綠素a和b)、光合潛力(通過脈沖振幅調制熒光測量技術測定電子傳遞速率)和光合作用產氧量(使用丹麥Unisense的Clark型快速響應微傳感器),來評估不同CO2添加頻率對微藻系統性能的影響。
測量的數據及研究意義
1 測量了白天不同時間點各處理組的pH變化,該數據來自圖2。研究意義在于直接反映CO2添加頻率對培養系統碳供應和pH控制效果的影響,顯示高頻率添加(15分鐘和30分鐘)能更好地將pH維持在目標值(~8)附近,而低頻率添加(60分鐘和90分鐘)則導致下午pH顯著升高。

2 測量了CO2添加前后pH的降低值(ΔpH)隨光照強度的日變化,該數據來自圖3。研究意義在于表明在較高光照下,微藻對CO2的快速吸收導致每次添加后pH下降幅度減小,這凸顯了在強光期間維持充足碳供應的挑戰。

3 測量了白天溶解無機碳濃度的變化,該數據來自圖4。研究意義在于揭示DIC的日動態與pH變化緊密耦合,高頻率CO2添加能維持相對穩定的DIC水平,而低頻率添加則導致DIC在下午嚴重消耗。

4 測量了出水中的銨氮、硝氮、溶解無機氮和溶解活性磷濃度,并計算了去除率和單位生物量的營養鹽去除效率,該數據來自表1。研究意義在于評估CO2添加頻率對營養鹽去除效果的影響,發現高頻率添加能維持較高的DIN去除效率,而低頻率添加則效率降低,同時區分了微藻吸收和物理化學過程(如氨揮發)對脫氮的貢獻。

5 測量了微藻總生物體積、有機質(揮發性懸浮固體)、葉綠素a和b的濃度,該數據來自表2。研究意義在于量化CO2添加頻率對微藻生物量積累的影響,證實高頻率添加能顯著提高生物量產量,并且發現葉綠素a作為生物量指標存在局限性,因為在良好碳供應下單位細胞的葉綠素a會減少。

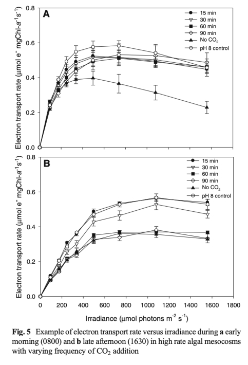
6 通過脈沖振幅調制熒光測量技術測定了不同時間點的快速光曲線,推導出最大電子傳遞速率、光利用效率和光飽和點,該數據來自表3和圖5。研究意義在于評估微藻的光合潛力,表明高頻率CO2添加能維持較高的ETRmax和ETRek,尤其在下午,而低頻率添加則導致光合潛力下降,接近不添加CO2的控制組。


7 使用丹麥Unisense的Clark型快速響應微傳感器測量了沿pH梯度變化的光合作用產氧量,推導出最大光合速率、光利用效率和光飽和點,該數據來自表4和圖6。研究意義在于直接驗證pH升高(DIC減少)對微藻光合速率的抑制作用,顯示Pmax在pH 8至9之間減半,為觀測到的性能差異提供了生理機制解釋。


結論
1 降低CO2添加頻率會對廢水處理HRAP中微藻的性能產生負面影響。當CO2供應頻率降低時,維持pH和供應充足DIC的能力下降。
2 微藻的光生理響應、生物量產量和營養鹽去除效率在pH控制不佳的條件下,隨著細胞光抑制加劇而在白天逐漸降低。
3 當CO2添加間隔延長至90分鐘時,與不添加CO2的對照組相比,在微藻生物量或廢水處理效果方面沒有顯示出可測量的益處。
4 在添加間隔為60分鐘時,微藻生物量的增加可能無法抵消CO2添加系統的建設和運營成本。
5 盡管CO2添加已被證明可以增強廢水微藻的光合作用和生產力,但本研究證明了在全尺寸HRAP中擁有有效的CO2添加系統的重要性,否則將無法實現CO2添加的益處。提出了四種優化全尺寸HRAP中CO2供應的潛在方案。
使用丹麥Unisense電極測量數據的研究意義
使用丹麥Unisense的Clark型快速響應微傳感器測量光合作用產氧量數據在本研究中具有關鍵的生理生態學研究意義。該電極能夠快速響應溶解氧濃度的變化,使得在相對短的時間內(15分鐘)完成整個光合作用-光強響應曲線的測量成為可能。這一點至關重要,因為初步測量表明,當總培養時間超過15分鐘時,培養液中的pH會迅速上升,導致光合作用產氧速率下降。因此,Unisense電極的高時間分辨率使得研究人員能夠在微藻生理狀態發生顯著變化之前,準確捕捉到在不同預設pH水平(8, 9, 10, 11)下的即時光合速率。通過測量獲得的P-E曲線數據(圖6)清晰地揭示了對數關系,證明最大光合速率隨pH升高(即DIC可用性降低)而呈指數下降,尤其在pH 8到9之間,Pmax下降了一半。這為解釋中宇宙實驗中觀察到的現象——即低頻率CO2添加導致下午pH升高、DIC耗竭,進而引起微藻生物量產量和營養鹽去除效率下降——提供了直接的、定量的生理機制證據。此外,這些測量數據與通過脈沖振幅調制熒光測量技術獲得的電子傳遞速率參數相互補充和驗證,共同構建了關于碳限制如何影響微藻光合性能的完整圖景。因此,Unisense電極的應用是實現對CO2添加頻率效應進行深入機理探索的重要工具,其提供的可靠產氧數據增強了研究結論的說服力。