熱線:021-66110810,66110819
手機:13564362870

熱線:021-66110810,66110819
手機:13564362870
Comparison of Oxidation Kinetics of Nitrite-Oxidizing Bacteria: Nitrite Availability as a Key Factor in Niche Differentiation
亞硝酸鹽氧化細菌氧化動力學的比較:亞硝酸鹽可用性作為生態位分化的關鍵因素
來源:Applied and Environmental Microbiology, Volume 81, Number 2, January 2015, pages 745-753
《應用與環境微生物學》,第81卷第2期,2015年1月,頁碼745-753
摘要
這篇論文摘要比較了六種純培養物和一種富集培養物(代表三個亞硝酸鹽氧化細菌屬:Nitrobacter、Nitrospira和Nitrotoga)的亞硝酸鹽氧化動力學。研究發現,Nitrospira具有較低的半飽和常數(Km值在9至27μM亞硝酸鹽之間),適應低底物濃度環境;Nitrobacter則表現出較低的底物親和力(Km值在49至544μM之間),但在過量亞硝酸鹽供應下能維持高最大比活性(Vmax為64至164μmol亞硝酸鹽/mg蛋白/小時),而Nitrospira的活性較低(18至48μmol/mg蛋白/小時)。Nitrotoga在低溫(17°C)下的Vmax(26μmol/mg蛋白/小時)和Km(58μM)表明其在寒冷生境中具有競爭優勢。這些動力學參數為硝化模型提供了改進基礎,支持自然和工程生態系統中群落結構和硝化速率的預測。
研究目的
研究目的是通過比較不同亞硝酸鹽氧化細菌(NOB)的氧化動力學,揭示亞硝酸鹽可用性如何驅動這些細菌的生態位分化,并為硝化過程的數學模型提供關鍵動力學參數,以改善廢水處理系統和自然環境中氮循環的預測與管理。
研究思路
研究思路基于實驗室培養實驗,使用微傳感器系統(包括丹麥Unisense電極)測量氧消耗速率來量化亞硝酸鹽氧化動力學。研究包括三個步驟:首先,在批次培養中監測不同NOB的生長曲線和底物消耗;其次,利用微呼吸系統在早期穩定期細胞中測量不同亞硝酸鹽濃度下的氧消耗,通過Michaelis-Menten方程計算Vmax和Km;最后,通過比較不同屬(Nitrobacter、Nitrospira、Nitrotoga)的動力學參數,結合生態學分析,評估亞硝酸鹽可用性對群落結構的影響。整體思路從生理實驗到動力學建模,整合了微生物學、酶動力學和生態學方法。
測量的數據及研究意義
1 測量了NOB在亞硝酸鹽限制培養基中的生長曲線,包括亞硝酸鹽消耗和細胞增長,數據來自圖1和表1。研究意義在于確定了不同NOB的生長速率和產率,顯示Nitrospira和Nitrotoga在低底物下更持久,而Nitrobacter生長更快,為理解其生態策略(r/K選擇)提供基礎。


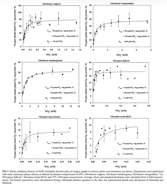
2 測量了亞硝酸鹽氧化動力學參數,通過氧消耗速率計算Vmax和Km,數據來自圖2、圖3和表2。研究意義在于直接量化底物親和性和最大活性,揭示Nitrospira具有最低Km(9μM),適應寡營養環境,而Nitrobacter的Vmax最高,適合高底物條件,證實亞硝酸鹽濃度是生態位分化的關鍵因子。



3 測量了NOB的亞硝酸鹽親和力比較,通過Km值匯總展示不同屬的差異,數據來自圖4。研究意義在于將動力學參數與生境關聯,顯示Nitrospira在活化污泥等寡營養系統中占優,而Nitrobacter適于土壤等高底物環境,為預測群落分布提供實證。

結論
1 Nitrospira細菌具有高亞硝酸鹽親和力(低Km值),適應低底物濃度環境,在寡營養系統如廢水處理廠中占主導地位,表現為K策略者。
2 Nitrobacter細菌具有高最大氧化活性(高Vmax),但底物親和力較低,適于高亞硝酸鹽條件,如施肥土壤,表現為r策略者,其代謝多樣性補償了低親和力。
3 Nitrotoga在低溫下展示中等動力學參數,能在寒冷生境中競爭,表明溫度與底物可用性共同塑造NOB群落結構,補充了硝化細菌的生態位模型。
使用丹麥Unisense電極測量數據的研究意義
使用丹麥Unisense電極測量的數據主要包括氧消耗速率,通過Clark型微傳感器在受控條件下實時監測(如材料方法部分所述)。研究意義在于提供高精度、實時的動力學測量,使能準確計算Vmax和Km參數。例如,電極的快速響應時間(<15秒)和低氧消耗(<1 nM/天)確保了數據可靠性,避免了傳統方法因生長延遲或底物波動引起的誤差。這些測量直接鏈接了亞硝酸鹽濃度與氧化活性,驗證了Michaelis-Menten動力學在群落水平的應用,為數學模型(如活化污泥模型)提供了可靠輸入。此外,電極在低溫(17°C)下的穩定性能支持Nitrotoga等嗜冷菌的研究,擴展了NOB生態位理解的溫度維度。整體上,Unisense數據增強了動力學比較的嚴謹性,為環境工程和微生物生態學提供了可轉化的預測工具。