熱線:021-66110810,66110819
手機:13564362870

熱線:021-66110810,66110819
手機:13564362870
Antioxidative Mechanisms of Sulfite and Protein-Derived Thiols during Early Stages of Metal Induced Oxidative Reactions in Beer
亞硫酸鹽和蛋白質衍生硫醇在啤酒中金屬誘導氧化反應早期階段的抗氧化機制
來源:Journal of Agricultural and Food Chemistry, Volume 63, 2015, pages 8254-8261
《農業與食品化學》,第63卷,2015年,頁碼8254-8261
摘要
這篇論文摘要研究了啤酒儲存早期階段的自由基介導反應,通過跟蹤氧消耗速率、電子自旋共振光譜檢測的自由基形成以及抗氧化化合物亞硫酸鹽和硫醇的濃度變化。添加Fe(III)或Fe(II)具有相似效果,表明兩種鐵物種在啤酒中快速達到氧化還原平衡。鐵與過氧化氫結合導致最顯著的氧化水平,因Fenton反應生成羥基自由基直接引發乙醇氧化。亞硫酸鹽濃度下降比硫醇更明顯,表明硫醇作為抗氧化劑起次要作用,主要通過淬滅1-羥乙基自由基(乙醇氧化中間體)。升高溫度對氧消耗速率影響較小。
研究目的
研究目的是探討啤酒中早期氧化過程的反應機制,重點關注亞硫酸鹽和蛋白質衍生硫醇的抗氧化作用,以理解金屬催化氧化反應中自由基形成和抗氧化劑的交互作用,為改善啤酒氧化穩定性提供理論基礎。
研究思路
研究思路基于強制老化實驗,在啤酒中添加Fenton試劑(鐵和過氧化氫),通過測量氧消耗速率(使用丹麥Unisense電極等)、電子自旋共振光譜檢測自由基形成、以及高效液相色譜分析亞硫酸鹽和硫醇濃度變化。比較不同條件(溫度、鐵物種、過氧化氫濃度)下的氧化反應動力學,結合生物信息學分析抗氧化機制。
測量的數據及研究意義
1 測量了氧消耗速率,通過丹麥Unisense電極在26°C下記錄添加Fe(II)、Fe(III)和H2O2后的氧濃度變化,數據來自圖1。研究意義:顯示鐵與過氧化氫結合顯著加速氧消耗,證實Fenton反應是氧化主要啟動機制,而單獨添加鐵或過氧化氫影響較小。

2 測量了溫度對氧消耗的影響,在26°C、40°C和60°C下使用Clark電極記錄氧消耗速率,并通過Arrhenius圖分析活化能,數據來自圖2。研究意義:揭示氧化反應溫度依賴性低(Q10約1.3),表明初始氧捕獲反應焓變低,有助于預測啤酒儲存穩定性。

3 測量了ESR滯后相,通過電子自旋共振光譜檢測啤酒在50°C和60°C預孵化后自由基形成延遲時間,數據來自圖3。研究意義:滯后相長度與抗氧化劑濃度相關,證實亞硫酸鹽是主要自由基清除劑,預熱處理對滯后相影響有限。

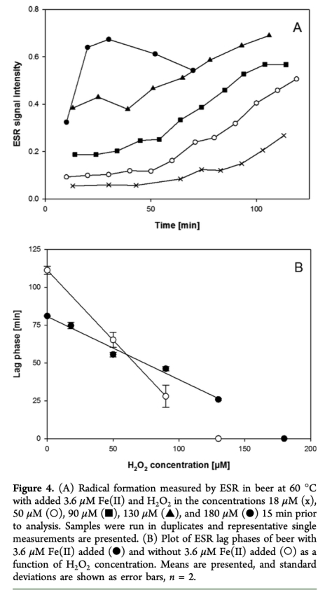
4 測量了自由基形成與H2O2濃度關系,通過ESR檢測添加Fe(II)和不同H2O2濃度下的初始自由基水平,數據來自圖4。研究意義:顯示H2O2劑量依賴性地減少滯后相并增加自由基形成,鐵增強此效應,驗證Fenton反應在自由基生成中的核心作用。

5 測量了亞硫酸鹽濃度變化,通過RP-HPLC分析添加H2O2和鐵后的消耗情況,數據來自圖5和圖6A。研究意義:亞硫酸鹽主要與H2O2直接反應,而非與鐵反應,表明其抗氧化機制是通過清除過氧化氫,延緩氧化進程。


6 測量了硫醇濃度變化,在強制老化后通過熒光檢測分析消耗模式,數據來自圖6B。研究意義:硫醇消耗較少且溫度依賴性低,表明其作為次要抗氧化劑,主要淬滅1-羥乙基自由基,而非直接與H2O2反應。
結論
1 鐵與過氧化氫通過Fenton反應協同促進啤酒氧化,導致氧消耗增加和自由基形成,而Fe(III)和Fe(II)效果相似 due to快速氧化還原平衡。
2 亞硫酸鹽是主要抗氧化劑,通過直接與H2O2反應清除過氧化氫;硫醇起次要作用,主要淬滅乙醇氧化中間體自由基。
3 氧化反應溫度依賴性低(Q10約1.3),因初始氧捕獲焓變低,亞硫酸鹽在高溫下易耗竭,而硫醇更穩定。
使用丹麥Unisense電極測量數據的研究意義
使用丹麥Unisense電極測量的數據主要包括溶解氧濃度變化(如圖1和2所示),通過Luminescent Dissolved Oxygen傳感器和Clark電極在26°C至60°C下記錄。研究意義在于提供高精度、實時的氧消耗動力學數據,使能定量分析氧化速率和溫度依賴性。例如,Arrhenius圖計算活化能(22.4-26.6 kJ/mol),揭示氧化反應低溫度系數,有助于預測啤酒儲存穩定性。電極校準確保數據準確性,支持驗證Fenton反應機制,并為開發啤酒保質期預測模型提供關鍵參數。