熱線:021-66110810,66110819
手機:13564362870

熱線:021-66110810,66110819
手機:13564362870
Oxygen control of breathing by an olfactory receptor activated by lactate
乳酸激活的嗅覺受體對呼吸的氧氣控制
來源:Nature, Volume 527, Issue 7577, November 12, 2015, pages 240-244
《自然》雜志,第527卷,第7577期,2015年11月12日,頁碼240-244
摘要:
這篇論文摘要討論了動物對氧氣可用性變化的穩態反應,長期反應由缺氧誘導因子(HIF)轉錄通路控制,但哺乳動物急性缺氧反應的分子通路不明確。研究發現嗅覺受體Olfr78在頸動脈體的氧敏感glomus細胞中高表達和選擇性表達。Olfr78突變體在缺氧時不能增加通氣,但對高碳酸血癥反應正常。乳酸在缺氧時快速積累,并在異源表達實驗中激活Olfr78,誘導glomus細胞鈣瞬變,并通過Olfr78刺激頸動脈竇神經活動。提出Olfr78作為呼吸電路中的缺氧傳感器,通過感知氧水平下降時產生的乳酸來調控呼吸。
研究目的:
研究目的是揭示急性缺氧反應的分子機制,特別是確定頸動脈體氧傳感的分子通路。研究旨在驗證Olfr78在缺氧傳感中的作用,探討乳酸作為內源性配體如何介導這一過程,并為理解缺氧相關的生理響應提供新見解。
研究思路:
研究思路基于比較基因表達分析,使用RNA測序和全基因組微陣列比較頸動脈體和腎上腺髓質的基因表達,識別出高表達的Olfr78。通過Olfr78報告基因小鼠確定其在glomus細胞的表達定位。利用Olfr78 knockout突變體小鼠,進行全身體積描記法測量呼吸參數、頸動脈竇神經電生理記錄、鈣成像實驗以及乳酸濃度測量,驗證Olfr78在缺氧響應中的功能。整體思路從基因表達篩選到功能驗證,結合分子生物學、生理學和電生理學方法。
測量的數據及研究意義
1 測量了基因表達譜,通過RNA測序和微陣列顯示Olfr78在頸動脈體高表達且相對于腎上腺髓質富集,數據來自圖1a、b和擴展數據圖2。研究意義在于識別出Olfr78作為候選氧傳感器,其高表達提示其在急性傳感中的潛在角色,為后續功能研究提供基礎。


2 測量了Olfr78的表達定位,使用報告基因和免疫染色顯示Olfr78特異性表達于頸動脈體glomus細胞,數據來自圖1c-h和擴展數據圖3。研究意義在于確認傳感器在關鍵氧敏感細胞中的位置,排除其他組織表達,強化其在呼吸電路中的特異性。


3 測量了呼吸響應,通過全身體積描記法顯示Olfr78突變體在缺氧時呼吸率不增加,但對高碳酸血癥響應正常,數據來自圖2a-d和擴展數據圖4。研究意義在于證明Olfr78對缺氧響應的必要性,且缺陷具有特異性,支持其在頸動脈體功能中的核心作用。


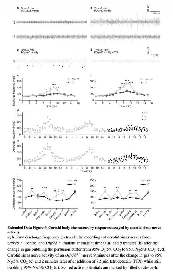
4 測量了頸動脈竇神經活動,電生理記錄顯示突變體在缺氧時神經放電減少,但對低pH響應 intact,數據來自圖3h、i和擴展數據圖6。研究意義在于直接證實Olfr78缺失損害頸動脈體氧傳感功能,而酸傳感通路獨立,突出了Olfr78在信號轉導中的關鍵性。




5 測量了乳酸激活Olfr78,在HEK293T細胞中乳酸劑量依賴性地激活Olfr78,EC50為4.0 mM,數據來自圖4a和擴展數據圖7。研究意義在于鑒定乳酸為生理相關配體,其濃度范圍與缺氧時積累一致,為代謝物傳感機制提供證據。




6 測量了乳酸濃度變化,在體實驗顯示缺氧時動脈血乳酸快速升高,數據來自圖4b和擴展數據圖7h。研究意義在于將乳酸動態與缺氧響應關聯,支持乳酸作為缺氧信號分子的角色。
7 測量了glomus細胞鈣響應,鈣成像顯示乳酸誘導鈣瞬變,類似缺氧和氰化物效應,數據來自圖4c、d和擴展數據圖8。研究意義在于證實乳酸直接激活glomus細胞,闡明下游信號事件,完善從傳感到生理輸出的通路。


結論
1 Olfr78在頸動脈體glomus細胞特異性表達,是急性缺氧傳感所必需的,突變體導致缺氧時通氣增加缺陷。
2 乳酸作為內源性配體激活Olfr78,在缺氧時積累,介導glomus細胞激活和呼吸刺激。
3 Olfr78通路通過感知代謝物乳酸實現缺氧傳感,與HIF通路互補,提供了一種整合氧可用性和需求的快速響應機制。
使用丹麥Unisense電極測量數據的研究意義
使用丹麥Unisense電極測量的數據主要涉及細胞周圍氧濃度的量化,例如在方法部分描述的"Measurement of pericellular oxygen concentration and calculation of oxygen consumption"中使用Unisense OX500微電極。這些測量用于驗證缺氧條件,如通過氧剖面分析顯示缺氧時氧濃度從正常水平下降至低于0.1%,數據參考擴展數據圖5和相關文本。研究意義在于直接、高分辨率地量化微環境氧動態,證實缺氧誘導的生理變化:氧濃度下降觸發乳酸積累,從而激活Olfr78通路。這種測量將宏觀缺氧刺激與分子傳感器響應直接鏈接,強化了乳酸作為缺氧代謝標志物的角色,并支持了線粒體假說,即氧傳感通過代謝變化間接實現。此外,Unisense數據有助于排除其他因素干擾,確保實驗條件的可控性,為Olfr78機制提供可靠的環境背景。