熱線:021-66110810,66110819
手機:13564362870

熱線:021-66110810,66110819
手機:13564362870
Canopy macroalgae influence understorey corallines’ metabolic control of near-surface pH and oxygen concentration
樹冠大型藻類影響林下珊瑚對近地表 pH 值和氧濃度的代謝控制
來源:Mar Ecol Prog Ser 525: 81–95, 2015
論文摘要
本研究探討了樹冠大型藻類(如 Carpophyllum maschalocarpum)如何通過物理效應(而非代謝效應)影響林下殼狀珊瑚藻(CCA)和珊瑚藻(Corallina officinalis)的近表面 pH 值和氧濃度(O2)微環境。通過實驗室水槽實驗,比較了三種處理:完整樹冠(Carpophyllum)、模擬樹冠(塑料/絲綢)和無樹冠(僅林下)。研究發現,樹冠的存在通過衰減水流速度,增加了林下藻類表面的濃度邊界層(CBL)厚度,從而增強了林下藻類的代謝活動對 pH 和 O2 的控制。在光照下,樹冠下 pH 最高可達 8.9,O2 濃度升高;在黑暗下,pH 最低至 7.74,O2 濃度降低。這表明樹冠與林下物種的相互作用可能影響海洋酸化背景下鈣化生物的生理和生態。
研究目的
本研究旨在:
確定樹冠大型藻類是否通過物理效應(如水流衰減)改變林下珊瑚藻的近表面 pH 和 O2 微環境。
分離樹冠的物理效應(水流改變)和代謝效應(如光合作用)對林下微環境的影響。
量化濃度邊界層(CBL)厚度在不同水流速度和光照條件下的變化。
評估樹冠效應如何調節林下物種對海洋酸化的響應。
研究思路
研究采用控制實驗和多參數測量相結合的方法:
實驗設計:在循環水槽中設置三種處理:(1)完整樹冠(Carpophyllum)加林下(Corallina 和 CCA);(2)模擬樹冠(塑料/絲綢)加林下;(3)僅林下(無樹冠)。每個處理在三種體積水流速度(2、4、8 cm s?1)和光暗條件下測試。
參數測量:
使用聲學多普勒測速儀(ADV)測量水流速度剖面。
使用丹麥 Unisense pH 微電極和氧微電極(O2 microoptode)測量 pH 和 O2 濃度的垂直剖面(從藻類表面至 40 mm 高度),分辨率達毫米級。
計算濃度邊界層(CBL)厚度,定義為濃度變化達到本體海水值 99% 的高度。
數據分析:通過重復測量方差分析(ANOVA)評估樹冠處理、水流速度和光照對 pH、O2 和 CBL 厚度的影響。
測量的數據、研究意義及來源
研究測量了多類數據,以下按類別說明其意義及圖表來源(注明圖表):
水流速度剖面數據:
數據內容:樹冠處理(Carpophyllum 和模擬樹冠)顯著降低了近表面水流速度,尤其在低速條件(2 cm s?1)下,衰減達 62-100%。無樹冠處理流速較高。
研究意義:直接證明樹冠通過物理遮擋衰減水流,為 CBL 厚度變化提供流體動力學基礎。數據來自圖2(水流速度隨高度變化曲線)。

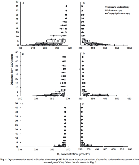
pH 和 O2 濃度剖面數據(使用丹麥 Unisense 電極測量):
數據內容:在光照下,樹冠處理下林下藻類表面 pH 和 O2 濃度顯著升高(pH 最高 8.9,O2 超飽和);在黑暗下,pH 和 O2 降低(pH 最低 7.74)。變化幅度隨水流速度減小而增大。
研究意義:揭示樹冠通過增加 CBL 厚度,放大林下藻類代謝活動(光合和呼吸)對微環境的調控。數據來自圖3(pH 剖面)和圖4(O2 剖面)。


濃度邊界層(CBL)厚度數據:
數據內容:CBL 厚度在樹冠處理下最大(如 O2-CBL 厚 22.5 mm,pH-CBL 厚 12.6 mm,在 2 cm s?1 光照下),且與水流速度負相關。樹冠效應在低速下最顯著。
研究意義:量化樹冠對微環境隔離的程度,表明物理效應主導了林下物種的化學暴露。數據來自圖6(CBL 厚度比較)和表4(統計結果)。


統計效應數據:
數據內容:ANOVA 顯示樹冠處理、水流速度和光照對 pH、O2 和 CBL 厚度有顯著主效應(p < 0.05),如樹冠處理使 O2-CBL 厚度增加(Carpophyllum > 模擬 > 無樹冠)。
研究意義:驗證樹冠的物理效應是驅動微環境變化的關鍵因素,而非代謝副作用。數據來自表2和表3(ANOVA 結果)。


研究結論
樹冠大型藻類主要通過物理效應(水流衰減)增加林下藻類表面的濃度邊界層(CBL)厚度,而非通過自身代謝改變本體海水化學。
增厚的 CBL 增強了林下藻類代謝活動對微環境的控制:在光照下提升 pH 和 O2,在黑暗下降低 pH 和 O2,變化幅度遠超無樹冠條件。
這種效應在水流緩慢時(如 2 cm s?1)最顯著,表明樹冠在低能環境中對林下物種的庇護作用更強。
研究強調,樹冠-林下相互作用是海洋生態系統微環境異質性的重要驅動因素,可能緩解或加劇海洋酸化對鈣化生物的影響。
詳細解讀使用丹麥 Unisense 電極測量出來的數據的研究意義
在本文中,使用丹麥 Unisense pH 微電極和氧微電極測量的數據具有關鍵研究意義,其詳細解讀如下:
高分辨率原位測量微環境動態:Unisense 微電極是一種電化學傳感器,尖端極細(pH 電極約 1.5 mm,O2 微光極約 50 μm),能以毫米級空間分辨率實時原位測量藻類表面附近的 pH 和 O2 濃度梯度。本研究通過垂直剖面測量(圖3和 圖4),直接捕獲了樹冠下林下藻類表面化學微環境的瞬時變化,例如在光照下 pH 從本體 8.04 升至表面 8.9。這種高精度數據避免了傳統取樣方法的空間平均誤差,首次量化了樹冠物理效應導致的 CBL 增厚現象。
分離物理與代謝效應的關鍵工具:通過比較樹冠(Carpophyllum)和模擬樹冠(無代謝活性)處理的數據,Unisense 測量顯示兩者對 pH/O2 剖面影響相似(表3),強有力證明樹冠效應主要源于物理水流衰減,而非自身代謝。例如,在光照下,樹冠和模擬樹冠均使 O2-CBL 厚度增加約 20%,表明代謝貢獻可忽略。這為“物理效應主導”的結論提供了直接實驗證據。
量化生態相互作用的機制:數據顯示 CBL 厚度與水流速度負相關(圖6),將流體動力學與生物地球化學過程鏈接,揭示樹冠如何通過改變局部水文條件增強林下物種的代謝控制。這種機制可能提升林下鈣化生物在酸化環境中的適應性(如高 pH 微環境促進鈣化)。
方法學優勢:Unisense 電極的快速響應(秒級)和原位校準(使用 TRIS 緩沖液)確保了數據可靠性。結合 ADV 水流測量,實現了多參數同步監測,支撐了統計模型(如 ANOVA)的穩健性。
總之,丹麥 Unisense 電極的數據不僅是本研究發現微環境異質性的技術基石,更通過提供高分辨率化學剖面,揭示了樹冠物理效應在物種相互作用中的核心作用,凸顯了微傳感器在海洋生態微尺度研究中的不可替代價值。