熱線:021-66110810,66110819
手機:13564362870

熱線:021-66110810,66110819
手機:13564362870
Disentangling the Interactions Between Photochemical and Bacterial Degradation of Dissolved Organic Matter: Amino Acids Play a Central Role
解開溶解有機物的光化學降解和細菌降解之間的相互作用:氨基酸起著核心作用
來源:Microb Ecol DOI 10.1007/s00248-014-0512-4
論文摘要
本研究探討了光化學降解和細菌降解在溶解有機物(DOM)分解中的相互作用,重點關注氨基酸的核心作用。研究發現,光化學和細菌降解過程在DOM分解中既可能競爭也可能協同。通過實驗驗證,光暴露會降解光敏氨基酸(如組氨酸、甲硫氨酸、酪氨酸、色氨酸),從而延遲細菌生長并增加其代謝成本,因為細菌需上調生物合成通路以修復受損氨基酸。這種效應在氨基酸豐富的環境(如富營養化水體)中更為顯著,而氨基酸匱乏的環境(如受陸地影響的水體)則可能從光降解中獲益(如DOM轉化為更易利用形式)。研究提出,光降解對微生物代謝的影響取決于DOM來源和濃度的平衡。
研究目的
本研究旨在驗證以下假設:
光化學降解是否會與細菌競爭消耗氨基酸(特別是光敏氨基酸),從而抑制細菌代謝?
光降解如何通過活性氧(ROS)等機制影響細菌對DOM的利用效率?
DOM來源(自生 vs. 外來)是否調節光化學-細菌相互作用的模式(競爭或協同)?
研究思路
研究采用多實驗對照設計:
實驗一(氨基酸添加實驗):在Lake Itasca水樣中添加不同組合的氨基酸(18種全氨基酸、14種非光敏氨基酸、4種光敏氨基酸),并暴露于太陽能模擬器(光處理)或黑暗處理,培養120小時。監測細菌豐度、細菌生產(BP)、細菌呼吸(BR)、溶解氧(DO)等指標。
實驗二(DOM來源實驗):使用兩種DOM來源(外來DOM:圣路易斯河水體;自生DOM:蘇必利爾湖水添加龐尼湖富里酸),先進行光暴露或黑暗處理,再接種細菌,培養96小時。測量細菌生長、氨基酸攝取率(使用14C標記的組氨酸和亮氨酸)、DOM熒光組分等。
關鍵測量工具:使用丹麥Unisense氧微電極實時監測溶解氧濃度,以計算細菌呼吸率;結合流式細胞術、熒光光譜(EEMs-PARAFAC模型)和同位素標記技術分析微生物響應。
測量的數據、研究意義及來源
研究測量了多類數據,以下按類別說明其意義和來源(注明圖表):
細菌生長動態數據:
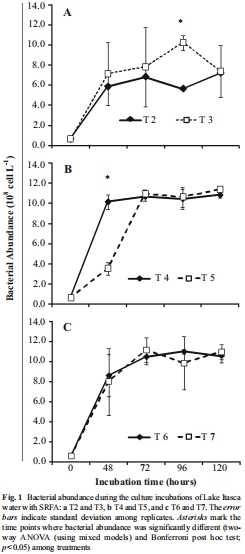
數據內容:光暴露顯著延遲細菌生長(如T5處理在72小時才進入穩定期,而黑暗對照在48小時達到)。最終生物量無差異,但光處理組生長速率降低。
研究意義:表明光降解通過消耗氨基酸等底物,增加了細菌的代謝成本,導致生長延遲。這揭示了光化學與細菌對營養物的競爭關系。數據來自圖1(細菌豐度隨時間變化曲線)。

細菌代謝參數數據(細菌生產BP、細菌呼吸BR、生長效率BGE):
數據內容:光暴露處理(T5)的BP最低(0.012 μmol C L?1 h?1),BR較高,BGE降至1.60%(黑暗對照為3.75-8.39%)。BR在光處理中可達BP的30倍。
研究意義:直接證明光降解降低細菌能量利用效率,因細菌需分配更多能量至合成修復而非生長。數據總結自表2(各處理BP、BR、BGE值)。

氨基酸攝取率數據:
數據內容:使用14C標記組氨酸(光敏)和亮氨酸(非光敏)測量攝取率。光暴露后,外來DOM中組氨酸攝取率顯著升高(48小時時光處理組比對照高約50%),自生DOM中無變化。
研究意義:表明光降解消耗了原生組氨酸,迫使細菌增加攝取以補償損失,凸顯光-菌對特定氨基酸的競爭。數據來自圖4a-d(組氨酸和亮氨酸攝取率對比)。

DOM熒光組分數據:
數據內容:光暴露后,酪氨酸和色氨酸樣熒光組分(C8、C13)濃度下降;細菌降解進一步減少這些組分。
研究意義:熒光組分變化證實光降解靶向破壞芳香氨基酸,而細菌后續利用其殘留物。數據來自圖5(熒光組分對比)和圖6(酪氨酸+色氨酸組分在細菌降解前后的變化)。


使用丹麥Unisense電極測量的溶解氧數據:
數據內容:通過Unisense氧微電極實時監測培養瓶中的溶解氧濃度,用于計算細菌呼吸率(BR)。例如,在實驗一中,T5光處理組的BR為0.742 μmol C L?1 h?1,高于部分黑暗組。
研究意義:提供細菌代謝活動的直接指標,BR升高反映光暴露后細菌維持能耗增加。數據源自方法部分描述,結果整合于表2的BR計算中。
研究結論
光化學降解與細菌降解存在競爭關系,核心競爭底物是光敏氨基酸(如組氨酸)。光降解通過ROS消耗這些氨基酸,迫使細菌上調合成通路,增加代謝成本。
光降解對細菌的凈效應依賴DOM來源:氨基酸匱乏的外來DOM環境中,光降解可能通過破碎DOM提供底物(收益>成本);氨基酸豐富的自生DOM環境中,光降解以競爭為主(成本>收益)。
ROS(如單線態氧)是關鍵介質:其氧化氨基酸的能力導致細菌生長延遲和效率下降。
提出概念模型:光降解效應由兩種機制平衡——DOM來源依賴性(底物轉化)和DOM濃度依賴性(ROS生成)。
詳細解讀使用丹麥Unisense電極測量出來的數據的研究意義
在本文中,使用丹麥Unisense氧微電極測量的溶解氧數據具有關鍵研究意義,其詳細解讀如下:
高精度實時監測細菌代謝活性:Unisense氧微電極是一種電化學傳感器,能以高靈敏度(皮安級電流檢測)和快響應時間(秒級)實時測量溶液中溶解氧的微小變化。本研究將其用于密封培養瓶(如Winkler瓶)中,直接連續監測細菌呼吸引起的氧消耗。通過記錄氧濃度隨時間下降的斜率(如方法部分所述),可準確計算細菌呼吸率(BR)。例如,數據表明光暴露組(T5)的BR更高(0.742 μmol C L?1 h?1),客觀反映了細菌在光降解壓力下維持代謝的能量成本增加。
量化光降解對細菌能量預算的影響:BR數據與細菌生產(BP)數據結合,可計算細菌生長效率(BGE)。本研究中,Unisense提供的BR數據直接支撐了BGE的下降結論(如T5的BGE僅1.60%)。這證實光降解通過增加呼吸消耗,降低了細菌將碳轉化為生物量的效率,為“競爭導致代謝成本上升”的假設提供了核心證據。
方法學優勢與可靠性:與傳統破壞性取樣相比,Unisense電極的原位連續測量避免了開瓶誤差,能捕捉呼吸動態過程。文中提到其與膜進樣質譜結果高度一致(R2=0.95),確保了BR數據的可靠性,使不同處理間的比較(如光暴露vs.黑暗)更具說服力。
連接微觀機制與宏觀表現:溶解氧數據是橋接光化學過程(氨基酸降解)與細菌生理響應(生長延遲)的關鍵橋梁。例如,BR升高與組氨酸攝取增加同步發生(圖4),說明細菌為補償光降解損失,不得不增強代謝活動,Unisense數據將這種生理應激定量化。
總之,丹麥Unisense電極的數據不僅是量化細菌代謝成本的技術基石,更通過提供高精度氧監測,揭示了光降解如何通過資源競爭重塑微生物能量分配,凸顯了微傳感器在生態代謝研究中的價值。