熱線:021-66110810,66110819
手機:13564362870

熱線:021-66110810,66110819
手機:13564362870
Effect of light and food on the metabolism of the Arctic copepod Calanus glacialis
光和食物對北極橈足類冰殼動物新陳代謝的影響
來源:Polar Biol (2015) 38:67–73
論文摘要
本研究探討了在氣候變化導致北極海冰減少、水下光照提前和生長季延長的背景下,光照和食物制度的變化如何影響關鍵浮游動物——北極橈足類 Calanus glacialis(CV期)的新陳代謝。通過實驗室實驗,比較了該橈足類在冬季(休眠期)和夏季(活動期)對饑餓(過濾海水)和食物(藻類)在兩種光照(持續光照 vs. 持續黑暗)下的響應。以呼吸作用作為新陳代謝指標,研究發現冬季原位新陳代謝速率僅為夏季的三分之一。在冬季,光照是喚醒休眠個體并將新陳代謝提升至夏季活動水平的主要因素,但新陳代謝僅在食物存在時才能維持高位。在夏季,光照和食物的共同作用提高了新陳代謝,但隨時間推移,食物比光照更重要。當食物缺乏時,無論光照條件如何,橈足類的新陳代謝都會隨時間降低,可能是在為休眠做準備。結果表明,C. glacialis能快速適應北極變化的光照和食物制度。
研究目的
本研究旨在回答兩個核心問題:
處于休眠期的 C. glacialis是否能通過快速提高新陳代謝來響應海冰提前消退和浮游植物水華提早發生?
更長的生產季節是否會推遲 C. glacialis進入休眠的時間?
研究旨在理解氣候變化導致的光照和食物制度變化如何影響 C. glacialis的新陳代謝。
研究思路
研究采用對照實驗設計,思路清晰:
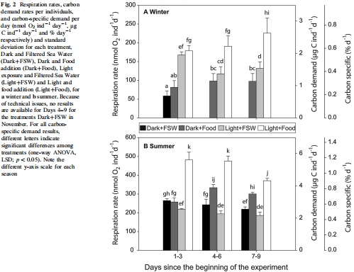
季節性采樣:分別在冬季(11月,橈足類處于休眠期)和夏季(7月,橈足類處于活動期)于挪威斯瓦爾巴群島的Billefjorden峽灣采集 C. glacialisCV期個體。
實驗處理:將橈足類暴露于四種處理組合中:黑暗+過濾海水、黑暗+食物、光照+過濾海水、光照+食物。
代謝測量:實驗持續9天,每3天為一個測量區間。使用丹麥Unisense氧微傳感器測量橈足類在生物耗氧瓶中的氧氣消耗速率,并將其轉換為碳需求量作為新陳代謝的指標。
數據分析:使用雙因素方差分析檢驗食物和光照及其交互作用對碳需求量的影響。
測量的數據、研究意義及來源
研究測量了核心數據:碳需求量。該數據由呼吸速率(耗氧率)換算而來,是本研究中新陳代謝的直接量化指標。
數據內容:展示了冬季和夏季不同處理下(Dark+FSW, Dark+Food, Light+FSW, Light+Food),橈足類在每個時間區間(第1-3天,第4-6天,第7-9天)的碳需求量(單位:μg C ind?1 day?1 或 % day?1)。
研究意義:
直接比較了休眠期(冬)和活動期(夏)的基礎代謝水平。
揭示了光照和食物在不同季節對新陳代謝的相對重要性:冬季,光照是主要觸發因素;夏季,食物是關鍵維持因素。
證明了在食物缺乏時,橈足類會主動降低代謝,為休眠做準備;而在條件適宜時(光+食),能迅速從休眠中恢復或推遲休眠。


數據來源:所有碳需求量的結果均來自圖2(Figure 2)。統計分析的詳細結果(F值和p值)來自表1(Table 1),該表顯示了食物、光照及其交互作用對各時間段碳需求量的顯著性影響。
研究結論
季節性差異:C. glacialis在冬季休眠期的新陳代謝速率遠低于夏季活動期。
季節特異性響應:在冬季,光照是喚醒休眠個體的主要信號,但持續的高代謝需要食物支持。在夏季,食物的可獲得性對維持高代謝更為關鍵,食物缺乏會促使代謝下降,準備進入休眠。
生態適應性:C. glacialis能夠靈活響應變化的光照和食物條件。光照提前可能使其提早“蘇醒”以準備迎接水華,而食物供應延長可能推遲其進入休眠的時間。
氣候變化啟示:氣候變化導致的光照和初級生產制度改變,很可能對 C. glacialis的碳需求及休眠的開始和持續時間產生重要影響。
詳細解讀使用丹麥Unisense電極測量出來的數據的研究意義
使用丹麥Unisense氧微電極測量的數據(即耗氧率)是本研究的基石,其研究意義可詳細解讀如下:
高精度與實時性:Unisense氧微傳感器是一種能夠實時、高精度測量溶解氧濃度的微電極。在本研究中,它被用于監測密閉BOD瓶中由橈足類呼吸引起的微小氧氣變化。這種技術避免了破壞性取樣,能夠連續監測長達36小時,確保了測量結果的準確性和可靠性,這對于檢測新陳代謝的細微變化至關重要。
新陳代謝的直接量化:呼吸速率(耗氧率)是衡量后生動物能量代謝的黃金標準。通過Unisense電極獲得的數據,直接將抽象的“新陳代謝”活動轉化為可量化的物理指標(氧氣消耗)和衍生指標(碳需求量)。這使得不同季節、不同處理下的生理狀態可以進行精確比較。
揭示生理響應的動態過程:該測量方法使得研究者能夠追蹤9天實驗期內新陳代謝的動態變化。例如,數據顯示在冬季,光照處理組若沒有食物,代謝率在初期升高后又會下降。這揭示了橈足類的響應不是一個簡單的開關效應,而是一個依賴持續能量供應的動態調整過程。
機制驗證與生態推論:Unisense電極提供的數據強有力地支持了關于休眠喚醒和休眠觸發的機制假設。它證實了光作為物理信號足以啟動代謝,但食物的化學信號是維持代謝所必需的。這使研究者能夠 confidently 推斷氣候變化如何通過影響這兩個因子來改變橈足類的生命史策略。
綜上所述,丹麥Unisense電極測量的耗氧數據不僅是本研究中所有結論的定量基礎,更因其高時空分辨率而得以揭示C. glacialis應對環境變化的精細生理調節策略,凸顯了精準生理測量在預測生物響應氣候變化中的關鍵價值。