熱線:021-66110810,66110819
手機:13564362870

熱線:021-66110810,66110819
手機:13564362870
High ammonium availability amplifies the adverse effect of low salinity on eelgrass Zostera marina
高銨有效性增強了低鹽對澤斯特海鰻的不利影響
來源:Mar Ecol Prog Ser 536: 149–162, 2015
論文摘要
本研究探討了氣候變化背景下,降雨事件增加導致的淡水輸入增多(引發低鹽)和營養鹽負荷升高(特別是銨NH??)對河口鰻草(Zostera marina)的交互影響。通過微宇宙實驗,設置不同鹽度(5、12.5、20)和NH??濃度(0、10、25 μM)組合,發現:在環境鹽度(20)下,NH??富集對鰻草有正面效應(如增加色素、光合作用和生長);但低鹽(5)整體負面影響鰻草健康(降低色素、光合作用、生長,增加死亡率)。當低鹽與高NH??同時存在時,NH??的正面效應轉為強烈的負面協同效應,導致生長變量顯著受損、死亡率大幅上升。機制上,這種協同效應加劇了植物體內對能量和碳骨架的競爭,影響其他代謝過程。結果表明,氣候變化驅動的降水和NH??負荷變化可能嚴重沖擊河口鰻草群落。
研究目的
本研究旨在驗證以下假設:
低鹽和高NH??可用性對鰻草的應激會產生交互作用(非簡單加和)。
這種交互作用會加劇植物內部對能量和碳資源的競爭,從而對鰻草適應性產生加性或協同負面影響。
通過多變量生理指標評估這種交互效應的機制,如光合作用、生長、營養吸收和生化響應。
研究思路
研究采用可控實驗室實驗設計:
實驗設計:進行2因子實驗,因子為鹽度(3水平:5、12.5、20)和NH??濃度(3水平:0、10、25 μM),共9種處理組合,每組3個重復水箱。實驗持續4周。
樣本處理:從丹麥Isefjorden采集健康鰻草枝條,標準化后種植于水箱中,逐步調整鹽度至目標值,然后添加NH??。
數據采集層次:
生理與形態變量:測量最大凈光合速率(Pmax)、暗呼吸速率、葉綠素熒光(Fv/Fm)、葉伸長率(LER)、節間出現率(IAR)、葉片數、凈產量(NP)、壞死程度和死亡率。
營養吸收:使用擾動法測量NH??和PO?3?吸收速率。
生化響應:分析葉綠素a+b含量、總氮、細胞內NH??、離子濃度(Na?、K?、Cl?)及非結構性碳水化合物(蔗糖、淀粉)。
氧氣測量:使用丹麥Unisense氧微電極實時測量光合和呼吸過程中的氧氣變化。
統計分析:采用置換多變量和單變量ANCOVA,檢驗鹽度和NH??的主效應及交互作用,并通過自舉法評估協同效應。
測量的數據、研究意義及來源
研究測量了多類數據,以下按類別說明其意義和來源(基于文檔中的圖表):
生理與形態數據:
數據內容:包括Pmax、暗呼吸速率、Fv/Fm、LER、IAR、葉片數、NP、壞死率和死亡率。例如,低鹽(5)顯著降低Pmax、生長變量,增加死亡率;高NH??在鹽度20時提升Pmax和生長,但在低鹽時轉為負面。
研究意義:這些變量直接反映鰻草的整體健康和生產能力。交互效應表明低鹽和高NH??協同加劇應激,影響種群動態。數據主要來自圖1(展示各變量隨處理的變化)和表2(統計結果)。


圖1. 鰻草生理和形態變量響應:包括光合速率、呼吸速率、葉綠素熒光、生長指標等
營養吸收數據:
數據內容:NH??和PO?3?吸收速率。低鹽降低NH??吸收,而高NH??在正常鹽度下刺激PO?3?吸收,但在低鹽時效應減弱。
研究意義:揭示養分利用效率如何受環境應激影響,NH??積累可能反饋抑制吸收,PO?3?變化反映代謝需求調整。數據來自圖2。

圖2. NH??和PO?3?吸收速率:顯示鹽度和NH??的交互影響
生化響應數據:
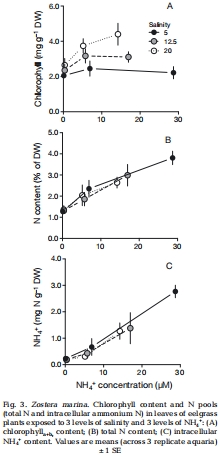
葉綠素和氮池:葉綠素a+b含量在低鹽時降低,但高NH??部分抵消;總氮和細胞內NH??隨NH??富集增加。

圖3. 葉綠素和氮池:顯示鹽度和NH??對色素和氮含量的影響
研究意義:指示光合潛力和氮代謝狀態。數據來自圖3。
離子濃度:Na?、K?、Cl?濃度及K?:Na?比受交互影響,低鹽擾亂離子平衡。


研究意義:反映滲透調節壓力,離子失衡可能損害細胞功能。數據來自圖4和表4。
碳水化合物:蔗糖和淀粉含量在高NH??和低鹽下降低,尤其在葉片中。


研究意義:表明碳儲備耗竭,能量競爭加劇。數據來自圖5和表5。
使用丹麥Unisense電極測量的數據:
數據內容:通過Unisense氧微電極測量氧氣濃度變化,計算Pmax和暗呼吸速率。例如,在鹽度20時,Pmax隨NH??增加而上升;低鹽下呼吸速率升高。
研究意義:直接量化代謝活動。電極提供高精度、實時氧氣測量,揭示光合和呼吸效率。數據集成在圖1A(Pmax和呼吸速率)中,方法部分描述了電極使用(OX-500型號,連接pico-amperimeter)。
研究結論
交互效應核心:低鹽和高NH??的組合產生協同負面效應(非加和),顯著降低鰻草生長、生存和養分吸收,而單獨應激時效應較弱。
機制解釋:協同效應源于能量和碳競爭加劇——低鹽增加滲透調節耗能,高NH??提升同化需求,導致碳儲備(蔗糖、淀粉)耗竭,無法支持修復和生長。
生態意義:氣候變化下更頻繁的低鹽和高NH??事件可能威脅河口鰻草群落,管理需考慮多應激因子交互。
數據支持:如表3顯示,多個生長變量(如LER、NP)在組合應激下相對響應超附加預期,證實協同性。

詳細解讀使用丹麥Unisense電極測量出來的數據的研究意義
使用丹麥Unisense氧微電極測量的氧氣數據在本研究中具有關鍵作用,其研究意義可詳細解讀如下:
高精度代謝量化:Unisense電極是一種Clark型微傳感器,尖端直徑小(如文檔提及的型號OX-500),能實時、無損測量微小呼吸室中的溶解氧變化(方法部描述)。本研究利用它計算最大光合速率(Pmax)和暗呼吸速率(圖1A),提供了植物代謝活動的直接、定量指標。例如,數據顯示在鹽度20下,Pmax隨NH??富集從1.63升至5.26 mg O? g?1 DW h?1,而低鹽下無此效應,這準確反映了NH??對光合的促進作用依賴鹽度條件。
揭示應激機制:電極數據連接了環境應激與生理響應。低鹽下呼吸速率升高(如鹽度5時呼吸增強),直接證明低鹽增加代謝成本(可能用于滲透調節),這與碳儲備下降現象吻合。同時,Pmax在低鹽和高NH??組合下未提升,支持了“能量競爭”假說——光合產生的能量被用于應激響應而非生長。
方法學優勢:相比間接方法,Unisense電極避免樣品破壞,提供高時空分辨率(文檔提到測量每分鐘氧濃度變化)。這在評估短暫或細微代謝變化時至關重要,如捕捉NH??富集下的光合刺激。
生態推論基礎:精確的氧氣數據使結論更具可靠性。例如,呼吸增加結合碳儲備減少,強化了低鹽和高NH??協同耗能的觀點,有助于預測現實環境中鰻草對氣候變化的脆弱性。
總之,Unisense電極數據不僅是驗證代謝響應的核心技術證據,更通過量化能量流動,將環境應激與生理機制有機鏈接,凸顯了高分辨率測量在生態生理學研究中的價值。