熱線:021-66110810,66110819
手機:13564362870

熱線:021-66110810,66110819
手機:13564362870
Importance of diffusion and resuspension for phosphorus cycling during the growing season in large, shallow Lake Peipsi
大型淺水湖泊中磷在生長季的擴散與再循環的重要性
來源:Hydrobiologia DOI 10.1007/s10750-015-2319-9
摘要內容
這篇論文研究了大型淺水湖泊佩普西湖(Lake Peipsi)在生長季期間,沉積物中磷(P)的內部負荷及其循環機制。摘要指出,通過質量平衡方法量化了磷的內部負荷,并評估了再懸浮(resuspension)和擴散(diffusion)對磷循環的相對重要性。研究發現,磷的總沉降(gross sedimentation)是質量平衡中的主導因素,其中再懸浮貢獻了總沉降的62%–68%,是內部磷負荷的主要來源。在生長季早期(截至7月底),磷的擴散釋放與再懸浮通量相當;而8月之后,再懸浮通量約為擴散通量的40倍,成為磷循環的主導機制。擴散和再懸浮共同為水體在生長季提供了持續的磷供應。
研究目的
本研究旨在闡明佩普西湖中磷的內部負荷在湖泊磷預算中的作用,并評估再懸浮和擴散這兩種機制在生長季(5月至10月)期間對磷循環的相對重要性,特別是對生物有效性磷的供應能力。
研究思路
研究采用多方法結合的策略:
質量平衡計算:基于磷的外部負荷、流出量、水體中磷的儲存變化以及總沉降量,計算內部磷負荷。
現場監測與采樣:在2011年5月至10月期間,于佩普西湖的兩個湖區(Peipsi s.s. 和 Lammij?rv)設置多個采樣點,使用沉積物陷阱(sediment traps)收集沉積物,測量磷的總沉降量和再懸浮速率。
地球化學分析:
使用丹麥Unisense RD100微傳感器(氧化還原電位微電極)測量沉積物表層(0–3 cm)的氧化還原電位垂直剖面(2013年8月)。
采集孔隙水樣品,測定溶解性反應磷(SRP)濃度,并基于菲克第一定律計算擴散通量。
統計分析:通過重復測量方差分析(ANOVA)比較不同湖區和時間點的變量差異。
測量數據及研究意義(注明數據來源)
磷的總沉降與再懸浮速率:
數據內容:磷的總沉降速率在Peipsi s.s.湖區為2.3–103.8 mg P m?2 d?1(均值34.3),在Lammij?rv湖區為83.1–136.7 mg P m?2 d?1(均值105.5)。再懸浮速率在Peipsi s.s.為3.9–75.5 mg P m?2 d?1,在Lammij?rv為47.8–89.9 mg P m?2 d?1。
研究意義:量化了沉積物-水界面磷的遷移通量,表明再懸浮是內部磷負荷的主要途徑,尤其在Lammij?rv湖區更為顯著。


數據來源:圖2展示了總沉降和再懸浮速率的月度變化;表3提供了均值數據。
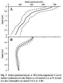
氧化還原電位(Eh)剖面:
數據內容:Unisense微電極測量顯示,Peipsi s.s.湖區沉積物表層Eh值較高(約373 mV),隨深度呈指數下降,在0.7 cm處低于200 mV;Lammij?rv湖區Eh值較低(約213 mV),在1 cm深處即降至82 mV。
研究意義:直接反映了沉積物的氧化還原狀態。Eh低于200 mV表明存在還原條件,有利于磷從鐵結合態釋放,但本研究中發現的高Eh值說明沉積物表層總體處于氧化狀態,限制了還原性磷的擴散釋放。

數據來源:圖3展示了兩個湖區Eh隨深度的變化剖面。
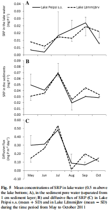
溶解性反應磷(SRP)濃度與擴散通量:
數據內容:孔隙水SRP濃度(0.002–0.069 mg P L?1)顯著高于上覆水(0.005–0.032 mg P L?1)。擴散通量在Peipsi s.s.和Lammij?rv分別為0.23±0.16和0.21±0.17 mg P m?2 d?1,且在7月最高,8月后下降。
研究意義:表明盡管存在濃度梯度,但擴散通量較低,與沉積物氧化狀態一致;通量的季節性變化與水溫、礦化速率及再懸浮干擾相關。

數據來源:圖5展示了SRP濃度和擴散通量的月度變化;表3提供了均值。
生物有效性磷的再懸浮通量:
數據內容:基于表層沉積物中生物有效性磷的比例(10%),計算得出Peipsi s.s.湖區的再懸浮通量在5–7月為0.44±0.36 mg P m?2 d?1,8–10月升至3.55±2.38 mg P m?2 d?1。
研究意義:量化了再懸浮對生物有效性磷的貢獻,顯示其在生長季后期成為磷的重要來源。

數據來源:圖4對比了不同時期再懸浮與擴散通量;表3提供了匯總數據。
結論
再懸浮主導內部磷負荷:再懸浮貢獻了總沉降磷的62%–68%,是內部磷負荷的主要機制,尤其在生長季后期(8月后)通量遠超擴散。
擴散作用有限但早期重要:擴散通量總體較低,但在生長季早期(截至7月底)與再懸浮通量相當,為水體提供了初始磷源。
氧化狀態抑制磷釋放:沉積物表層較高的氧化還原電位限制了基于還原條件的磷釋放,使擴散通量維持在較低水平。
機制協同供應磷:擴散和再懸浮在生長季不同階段協同作用,確保了水體中磷的持續供應,維持了藻類水華。
詳細解讀使用丹麥Unisense電極測量數據的的研究意義
本研究中使用丹麥Unisense RD100氧化還原電位微電極獲得的數據具有關鍵研究意義:
提供高分辨率氧化還原剖面:Unisense微電極能以毫米級精度測量沉積物垂直剖面的Eh值(圖3)。這種高空間分辨率避免了傳統分層取樣的擾動,直接揭示了沉積物表層的氧化還原梯度。例如,數據顯示在Peipsi s.s.湖區,Eh在0.7 cm深度處才降至200 mV以下,表明其表層處于氧化狀態。
直接關聯磷釋放機制:Eh剖面數據為解釋擴散通量的季節性變化提供了機制性證據。高Eh值表明沉積物表層缺乏強還原條件,這抑制了鐵結合磷的還原溶解,從而限制了基于濃度梯度的擴散通量。這與觀測到的低擴散通量(表3)一致。
揭示湖區間差異的驅動因素:Unisense數據顯示Lammij?rv湖區的Eh值顯著低于Peipsi s.s.(圖3),說明前者沉積物更易處于還原狀態。這有助于解釋為何Lammij?rv的磷循環更為活躍(如更高的再懸浮通量),反映了形態學和水文動態的差異。
支持再懸浮主導的結論:通過證實沉積物表層總體氧化,Unisense數據間接強化了“再懸浮而非擴散是主要磷釋放機制”的結論。在氧化條件下,顆粒態磷的再懸浮比溶解態磷的擴散更易發生。
總之,Unisense電極提供的高分辨率氧化還原數據,不僅量化了沉積物的化學狀態,更將微觀環境條件(Eh)與宏觀磷循環過程(擴散 vs. 再懸浮)動態聯系起來,為理解淺水湖泊內部磷負荷的驅動機制提供了關鍵證據。