熱線:021-66110810,66110819
手機:13564362870

熱線:021-66110810,66110819
手機:13564362870
Methane sources in arctic thermokarst lake sediments on the North Slope of Alaska
阿拉斯加北坡北極熱喀斯特湖沉積物中的甲烷源
來源:Geobiology (2015), 13, 181–197
論文摘要
摘要指出,阿拉斯加北坡的永久凍土區密集分布著由熱喀斯特侵蝕形成的淺水湖。這些湖泊釋放的甲烷(CH?)源自古老的熱成因甲烷庫和當代生物成因甲烷生產的結合。盡管甲烷作為一種溫室氣體潛力巨大,但目前對阿拉斯加北極熱喀斯特湖中生物成因甲烷的貢獻了解不深。為了增進對湖泊甲烷動力學的認識,本研究重點關注:(i)湖底沉積物中微生物產甲烷的潛力;(ii)沉積物地球化學在控制生物產甲烷中的作用;(iii)該過程的溫度依賴性。研究于10月底至11月初在Siqlukaq湖的一個點和Sukok湖的兩個點采集了沉積物巖心。對孔隙水地球化學、沉積有機質和脂質生物標志物、穩定碳同位素、甲烷生產實驗結果以及產甲烷途徑特異性基因(mcrA)拷貝數的綜合分析表明,所選研究的兩個湖泊中存在不同的甲烷來源。這套綜合數據集揭示,Siqlukaq湖存在中等水平的生物產甲烷,而在Sukok湖檢測到的極低水平甲烷則具有混合來源,其中生物產甲烷貢獻極少甚至沒有。此外,產甲烷古菌表現出對原位底物進行產甲烷的溫度依賴性利用,且甲烷產量與沉積物中活性有機質的數量直接相關。本研究為更好地理解阿拉斯加沿海平原熱喀斯特湖中生物成因甲烷對當前甲烷預算的實際貢獻邁出了重要的第一步。
研究目的
本研究旨在探究阿拉斯加北極熱喀斯特湖沉積物中甲烷的來源與生產過程,具體目標包括:
評估沉積物中微生物產甲烷的潛力。
闡明沉積物地球化學性質(如有機質特性、營養鹽)如何控制生物產甲烷。
確定產甲烷過程的溫度依賴性。
區分生物成因和熱成因甲烷的相對貢獻。
研究思路
研究采用多學科、多年份的野外采樣與室內分析相結合的策略:
站點選擇與采樣:選擇靠近阿拉斯加巴羅鎮的Siqlukaq湖(Siq,位于Walakpa氣田外)和Sukok湖(Suk,位于Walakpa氣田內)作為研究站點。在Sukok湖設置了兩個點:一個靠近活躍的天然氣滲漏點(SukS),另一個遠離滲漏點(SukB)。在2010年至2013年的四年間,共采集了16個沉積物巖心用于不同分析。
現場測量與室內實驗:
使用丹麥Unisense溶解氧微電極現場測量沉積物-水界面的溶解氧(O?)垂直剖面,以確定氧化還原結構。
分析孔隙水地球化學(營養鹽、陰離子、金屬濃度)。
測量沉積物中甲烷(CH?)濃度及其穩定碳同位素(δ13C-CH?),以推斷甲烷來源。
進行沉積物培養實驗,在不同溫度(2°C和10°C)下測定生物產甲烷速率。
通過定量PCR(qPCR)分析產甲烷古菌的關鍵功能基因(mcrA)的拷貝數,作為其豐度的指標。
分析沉積物有機質特性(總有機碳TOC、總無機碳TIC)和脂質生物標志物(如古菌醇archaeol),以評估產甲烷底物和古菌生物量。
數據整合與機制闡釋:將地球化學數據、微生物活性數據與生物學指標(基因、生物標志物)相結合,綜合判斷各湖點的甲烷主要來源及其控制因素。
測量數據及研究意義(注明數據來源)
溶解氧(O?)微剖面:
數據內容:Unisense微電極測量顯示,Siq13站點沉積物-水界面處O?濃度最高(212.4 μmol L?1),但在約1.0毫米深度處耗盡;SukB13和SukS13站點的O?消耗深度分別為10.0毫米和0.5毫米。
研究意義:直接揭示了沉積物表層的氧化層厚度,表明Siq沉積物耗氧速率極高,有機質礦化活躍,并快速形成厭氧環境,為產甲烷創造了條件。O?滲透深度差異反映了站點間代謝活性的不同。

數據來源:圖2展示了Siq13-a, SukB13-a, SukS13-a站點的氧微剖面。
孔隙水化學(營養鹽、陰離子、金屬):
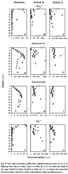
數據內容:測量了孔隙水中的NO??、SO?2?、Fe、Mn等濃度隨深度的變化。例如,Siq12站點表層SO?2?濃度較高(約8.74±8.47 μM),在8厘米以下急劇下降;Fe濃度在12-20厘米深度達到峰值(如854.94 μM)。
研究意義:反映了電子受體的可用性。SO?2?和NO??的快速消耗表明硫酸鹽還原和反硝化作用強烈,這些過程與產甲烷競爭底物。Fe、Mn的還原表明沉積物處于還原狀態。

數據來源:圖3展示了Siq12、SukB13、SukS13站點的孔隙水化學剖面(A-L子圖分別對應不同參數)。
甲烷濃度與穩定碳同位素(δ13C-CH?):
數據內容:Siq11站點沉積物表層甲烷濃度很高(2.18±0.24 μmoles CH?/g干重),δ13C-CH?值較輕(-76.7‰至-79.2‰),指示生物成因;而SukS11站點甲烷濃度較低,δ13C-CH?值較重(-55.5‰至-43.4‰),指示熱成因與生物成因的混合來源。
研究意義:直接量化了沉積物中的甲烷儲量,并通過同位素特征有效區分了甲烷的主要來源(生物成因 vs. 熱成因)。

數據來源:圖4A展示了甲烷濃度深度剖面;圖4B展示了δ13C-CH?值。
甲烷生產實驗速率:
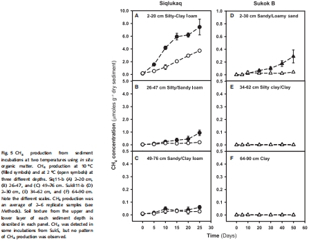
數據內容:培養實驗顯示,Siq11沉積物在10°C下產甲烷速率最高(上層沉積物達7.4±1.2 μmoles CH?/g干重/25天),且10°C下的速率顯著高于2°C。SukB11站點產甲烷速率極低,SukS11站點未檢測到生物產甲烷。
研究意義:直接證實了Siq沉積物具有活躍的、溫度依賴性的生物產甲烷能力,而Suk站點(尤其滲漏點附近)生物產甲烷貢獻微弱。

數據來源:圖5展示了Siq11-b和SukB11-b站點不同深度和溫度下的甲烷積累曲線。
mcrA基因拷貝數(產甲烷古菌豐度)與古菌醇濃度:
數據內容:qPCR分析顯示,僅在Siq11站點檢測到顯著的mcrA基因拷貝數(最高達1.9 x 10? copies/g沉積物)。脂質分析顯示Siq站點古菌醇濃度遠高于Suk站點。
研究意義:從分子生物學和生物標志物角度提供了產甲烷古菌存在的直接證據,其豐度與觀測到的產甲烷活性(Siq > Suk)高度一致,支持了生物產甲烷是Siq湖甲烷主要來源的結論。

數據來源:mcrA數據在文本結果部分描述;古菌醇數據見圖6B。
總有機碳(TOC)與有機質組成:
數據內容:Siq站點沉積物TOC含量高(平均7.2±2.9 wt.%),而Suk站點TOC含量低(SukB平均1.9±3.7 wt.%,SukS平均0.5±0.3 wt.%)。有機地球化學分析還顯示Siq的有機質更具活性。
研究意義:表明底物(有機質)的可用性和質量是控制生物產甲烷空間差異(Siq vs. Suk)的關鍵因素。Siq豐富的活性有機質支持了更高的微生物活性和甲烷產量。
數據來源:TOC深度剖面見圖6A;有機質組成在文本和附表(Table S2, S3)中描述。
結論
甲烷來源具有空間異質性:Siqlukaq湖(位于氣田外)的甲烷主要為當代生物成因,具有活躍的、溫度依賴性的產甲烷過程。Sukok湖(位于氣田內)的甲烷主要為深部熱成因來源,生物產甲烷貢獻極小。
控制因素:生物產甲烷的強度受沉積物中有機質的含量和質量(可用性)、溫度以及產甲烷古菌的豐度共同控制。Siq湖具備所有有利條件(高TOC、活性有機質、豐富的產甲烷古菌),而Suk湖則相反。
對氣候變化的啟示:研究表明,北極熱喀斯特湖是生物成因甲烷的潛在重要來源。在氣候變暖背景下,溫度升高可能顯著增強類似Siq湖這樣的生態系統的生物產甲烷速率,從而增加其對大氣甲烷的貢獻。
詳細解讀使用丹麥Unisense電極測量出來的數據有什么研究意義
本研究中使用丹麥Unisense公司生產的Clark型溶解氧微電極(尖端直徑500 μm)測量了沉積物-水界面的溶解氧(O?)垂直剖面。這些數據具有至關重要的研究意義:
提供高分辨率的原位氧化還原結構:Unisense微電極能夠以100微米的高空間分辨率測量沉積物中的O?濃度(圖2)。這種毫米/亞毫米級的精度避免了傳統分層取樣帶來的擾動和平均效應,準確揭示了沉積物最表層幾毫米到幾厘米內的氧化還原梯度。例如,數據清晰顯示Siq站點O?在界面下約1毫米處即耗盡,而SukB站點O?滲透更深(約10毫米),這直接反映了兩個站點沉積物耗氧速率和氧化條件的顯著差異。
界定產甲烷作用的微環境:產甲烷古菌是嚴格厭氧微生物。Unisense電極測得的O?耗盡深度,直接定義了產甲烷作用可能發生的起始邊界。數據顯示Siq沉積物厭氧區起始極淺,為產甲烷作用提供了廣闊的生境空間,這與該站點觀測到的高甲烷濃度和產甲烷活性相符。反之,Suk站點某些位置較深的O?滲透可能限制了產甲烷菌在表層的生長。
關聯地球化學與微生物過程:O?微剖面是理解沉積物早期成巖作用序列的起點。O?的快速消耗意味著好氧呼吸強烈,消耗了易降解有機質,并為其下的厭氧過程(如硝酸鹽還原、硫酸鹽還原,最后是產甲烷作用)創造了條件。通過將O?剖面與孔隙水化學(如SO?2?消耗深度)、甲烷濃度剖面以及微生物活性數據結合,研究者可以構建一個完整的從O?消耗到CH?產生的生物地球化學耦合圖像。
支持產甲烷機理的推斷:Siq站點極淺的O?滲透層表明沉積物中有機質礦化速率極快,導致界面附近即形成強還原條件。這種環境不僅有利于產甲烷作用,也可能影響產甲烷的路徑(如CO?還原作用)。O?數據為解釋為何Siq站點生物產甲烷如此活躍提供了關鍵的環境背景證據。
總之,Unisense氧微電極提供的高分辨率O?剖面,不僅是描述沉積物氧化還原狀態的工具,更是定量解析整個厭氧代謝序列(包括產甲烷作用)發生位置和強度的基石。它將物理化學環境與微生物活動動態地聯系起來,為闡明北極湖泊沉積物中甲烷產生的機制和空間變異性提供了不可或缺的、直觀的證據。