熱線:021-66110810,66110819
手機:13564362870

熱線:021-66110810,66110819
手機:13564362870
Effects of mass sedimentation events after the 2011 off the Pacific coast of Tohoku Earthquake on benthic prokaryotes and meiofauna inhabiting the upper bathyal sediments
2011年日本東北大地震后的大規模沉積事件對深海底沉積物中底棲生物原核生物和小型動物的影響
來源:The Oceanographic Society of Japan and Springer Japan 2015
摘要內容
這篇論文研究了2011年日本東北大地震(M9.0)引發的海嘯及大規模沉積事件(如濁流)對日本東北部外海八個上深海站(水深310-880米)沉積物中棲息的底棲原核生物和小型動物(如線蟲和橈足類)的豐度及垂直分布的影響。摘要指出,地震一年后(2012年3月)在所有采樣站點的沉積巖心頂部均觀察到了1-7厘米厚的事件沉積層。研究發現,在某些站點,表層事件沉積層中的原核細胞豐度低于深層沉積物。線蟲的豐度峰值異常地出現在沉積物亞表層(1-3厘米),而橈足類的密度峰值則通常出現在沉積物最表層。這表明,厘米級的突發性沉積事件對棲息在沉積物中的小型生物產生了顯著且持續至少一年的影響。
研究目的
本研究旨在闡明2011年東北大地震及后續海嘯引發的沉積事件是否以及如何影響該海域上深海深度沉積物中底棲原核生物和小型動物的群落結構,特別是它們的垂直分布模式,并探究其與環境因子(如事件沉積層厚度、粒度參數、孔隙水化學等)的關系。
研究思路
研究采用現場采樣與多參數分析相結合的策略:
現場采樣:于2012年3月(地震后約一年),利用多管采樣器在三條東西向斷面(N、M、S線)的八個上深海站點采集未受擾動的沉積物巖心。
環境特征刻畫:對沉積物進行地質學分析(識別事件沉積層厚度、粒度分布),并使用丹麥Unisense溶解氧微電極測量沉積物-水界面的溶解氧垂直剖面。同時分析孔隙水營養鹽濃度以及沉積物的總有機碳、總氮含量和穩定同位素組成。
生物群落分析:
通過熒光顯微鏡計數沉積物不同深度的原核細胞和病毒樣顆粒豐度。
通過篩分和離心法分離、計數并鑒定沉積物中的后生小型動物(以線蟲和橈足類為主)。
統計大型動物豐度。
統計分析:使用基于距離的線性模型分析環境變量對原核細胞豐度和小型動物密度及群落組成的影響。
測量數據及研究意義(注明數據來源)
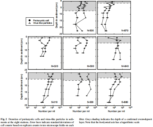
原核細胞和病毒樣顆粒豐度垂直分布:
數據內容:測量了沉積物不同深度間隔的原核細胞和病毒樣顆粒密度。結果顯示,在某些站點(如M-500, S-500, S-880),原核細胞豐度在表層事件沉積層中較低,而在亞表層(如2-4厘米)出現峰值。
研究意義:表明事件沉積改變了沉積物中有機質的可利用性,影響了微生物的分布。異常的垂直分布模式是沉積事件影響微生物群落的直接證據。

數據來源:圖2展示了各站點原核細胞和病毒樣顆粒的垂直分布剖面。
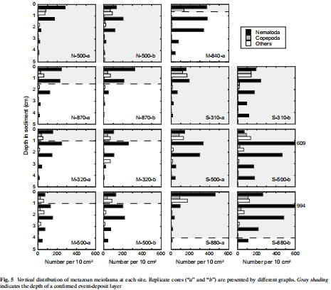
后生小型動物群落組成與垂直分布:
數據內容:線蟲和橈足類是優勢類群。在M線和S線的多個站點,線蟲的豐度峰值出現在1-2厘米深度,而非典型的沉積物最表層。相反,橈足類的密度峰值始終出現在最表層0-1厘米。
研究意義:反映了不同小型動物類群對沉積事件擾動的響應差異。線蟲的亞表層峰值可能與事件沉積后有機質分布改變及其對低氧環境的耐受性有關,而橈足類對氧氣的需求使其局限于表層。


數據來源:圖4展示了各站點小型動物的類群組成;圖5展示了線蟲和橈足類等的垂直分布。
大型動物豐度:
數據內容:記錄了蛇尾類、環節動物等大型動物的豐度。
研究意義:提供了大型底棲動物的背景信息,其生物擾動可能影響小型生物分布,但與本研究中觀察到的原核生物和小型動物垂直分布模式無顯著相關性。

數據來源:圖6展示了大型動物的群落組成。
環境參數:
數據內容:包括事件沉積層厚度、粒度參數(如平均粒徑、分選系數)、溶解氧、孔隙水銨鹽濃度、總有機碳等。
研究意義:DISTLM分析顯示,原核細胞豐度的變化主要與粒度分布變異系數、平均粒徑等因素顯著相關;橈足類密度與溶解氧和銨鹽濃度顯著相關;線蟲密度僅與銨鹽濃度顯著相關。這揭示了控制生物分布的關鍵環境驅動因子。



數據來源:表2, 3, 4展示了DISTLM分析結果;溶解氧等剖面數據來自文本描述。
結論
2011年東北大地震引發的沉積事件對底棲小型生物產生了持續至少一年的影響,表現為原核細胞和線蟲豐度在垂直分布上出現異常(亞表層峰值)。
原核生物的分布主要受沉積物理化性質(如粒度特征)控制,反映了事件沉積對有機質可利用性的改變。
小型動物的分布受氧化還原條件和營養鹽(如溶解氧、銨鹽)的調控。橈足類因其好氧習性集中于表層,而線蟲對低氧環境耐受性更強,其分布與銨鹽濃度關系更密切。
上深海生態系統對突發性擾動的恢復時間尺度可能介于淺海(數天至數周)和深淵平原(數十年至上千年)之間。
詳細解讀使用丹麥Unisense電極測量數據的研究意義
本研究中使用丹麥Unisense公司生產的溶解氧微電極(尖端直徑100 μm)測量了沉積物-水界面的溶解氧垂直剖面。這些數據的研究意義如下:
提供高分辨率的氧化還原環境背景:Unisense微電極能夠以亞毫米級精度測量溶解氧在沉積物中的垂直分布。這些數據揭示了每個站點沉積物表層的氧化條件,例如氧氣滲透的深度。這是理解好氧生物(如大多數橈足類)分布限制的關鍵環境背景。
直接關聯生物分布與環境條件:獲取的溶解氧剖面數據作為關鍵環境變量被納入DISTLM統計分析。分析結果明確顯示,溶解氧濃度是解釋橈足類密度變化的最重要因子,單獨解釋了59.1%的變異。這直接證明了橈足類的分布嚴格受沉積物中有氧區域的限制,它們無法利用缺氧的亞表層中可能存在的有機質。
揭示不同類群的生態策略差異:通過對比溶解氧數據與線蟲的分布(線蟲分布與溶解氧相關性不顯著,而主要與銨鹽相關),凸顯了線蟲和橈足類對沉積事件后環境變化的不同適應策略。線蟲對低氧環境的耐受性使其能夠棲息在更深的沉積層中,而橈足類則被限制在富氧的表層。Unisense電極的數據為區分這兩種生態策略提供了關鍵的化學依據。
支撐關于恢復時間尺度的推論:溶解氧微剖面數據有助于界定沉積事件后沉積物中氧化還原結構的恢復狀態。研究觀察到生物分布異常持續一年,結合溶解氧等環境數據,支持了上深海生態系統恢復時間可能較長的推論。
總之,Unisense溶解氧微電極提供的高分辨率原位數據,將物理沉積事件(導致沉積物覆蓋和粒度變化)與生物響應(微生物和小型動物的分布變化)通過關鍵的化學環境(氧化還原條件)聯系起來。它不僅是描述環境狀態的工具,更是定量解析沉積事件生態效應機制不可或缺的一環,深化了對突發地質事件如何影響深海底棲生態系統的理解。