熱線:021-66110810,66110819
手機:13564362870

熱線:021-66110810,66110819
手機:13564362870
Leaf gas films, underwater photosynthesis and plant species distributions in a flood gradient
葉片氣體膜、水下光合作用及植物物種在洪水梯度中的分布
來源:Plant, Cell & Environment, Volume 39, 2016, Pages 1537-1548
《植物、細胞與環境》,第39卷,2016年,第1537-1548頁
摘要
這篇論文的摘要討論了葉片氣體膜在淹沒植物氣體交換中的作用及其對植物物種在自然洪水梯度中分布的影響。葉片氣體膜形成于超疏水葉片表面,能增強水下氣體交換,從而提高植物的淹沒耐受性。研究假設葉片氣體膜的存在會影響物種沿洪水梯度的分布。通過野外調查和實驗室實驗,論文評估了95個物種的葉片氣體膜存在與否和比葉面積(SLA),以及25個目標物種的水下光合作用、暗呼吸和氣體膜保留時間。結果表明,葉片氣體膜的存在與洪水頻率和持續時間呈負相關,但并未完全支持初始假設,而SLA與洪水發生呈正相關。
研究目的
本研究旨在測試葉片氣體膜是否影響植物物種沿自然洪水梯度的分布,并探討相關功能性狀(如SLA)的作用。具體目的包括:驗證葉片氣體膜作為淹沒耐受性狀的普遍性,評估其對水下氣體交換的增強效果,以及分析這些性狀如何與物種在洪水梯度中的分布相關聯。
研究思路
研究采用多方法結合的方式:首先進行野外調查,在荷蘭瓦阿爾河洪泛區收集95個物種的數據,包括葉片氣體膜存在與否和SLA;其次利用現有數據庫(92個樣方)分析物種分布與洪水事件(頻率和持續時間)的關系;然后進行實驗室實驗,測量25個代表性物種的水下凈光合作用(Pn)、暗呼吸(Rd)和氣體膜保留時間;最后通過統計方法(如DCA和路徑分析)整合數據,測試性狀與環境梯度之間的相關性。
測量的數據及研究意義
1 葉片氣體膜存在與否數據:來自Table 1。測量了95個物種的葉片氣體膜存在情況(莖、葉正面和背面)。研究意義是直接評估氣體膜作為淹沒耐受性狀的普遍性,顯示氣體膜在物種中的分布模式,有助于理解其生態作用。數據顯示氣體膜在很少洪水的區域更常見,可能與禾本科植物優勢相關。



2 比葉面積(SLA)數據:來自Table 1和Fig. 3。測量了物種的SLA值,并發現SLA與洪水發生呈正相關(r=-0.72)。研究意義是表明薄葉或高孔隙度葉片能減少氣體擴散阻力,增強淹沒條件下的氣體交換,這可能是植物適應頻繁洪水的關鍵性狀。

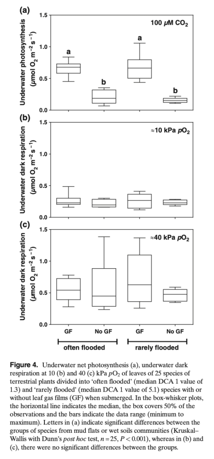
3 水下凈光合作用(Pn)和暗呼吸(Rd)數據:來自Fig. 4。使用Unisense電極測量O2濃度,計算Pn和Rd。結果顯示有氣體膜的物種Pn比無氣體膜物種高3.8倍,但Pn與洪水梯度無顯著相關性。研究意義是量化氣體膜對水下氣體交換的增強效果,證實其能提高光合效率和呼吸作用,從而支持植物淹沒生存。

4 氣體膜保留時間數據:來自Table 2。測量了13個物種的氣體膜保留時間,范圍從0到11天。研究意義是評估氣體膜的持久性,顯示其在不同物種中的變異性,但保留時間與洪水事件無顯著相關,表明氣體膜可能不是洪水適應的唯一因素。

5 物種分布與洪水梯度數據:來自Fig. 1和Fig. 2。通過DCA分析顯示物種組成與洪水頻率和持續時間強烈相關(r=-0.97)。研究意義是揭示環境過濾對物種分布的影響,洪水事件是驅動群落結構的主要因素。


結論
本研究得出結論,葉片氣體膜能顯著增強水下氣體交換,但并未顯示與洪水梯度的預期關系(即在不常洪水區域更常見);相反,SLA與洪水發生呈正相關,表明薄葉性狀是植物適應頻繁洪水的關鍵。氣體膜的存在可能被其他生態過程(如放牧)稀釋,因此不是物種分布的唯一驅動因素。研究強調需結合多種性狀和生態因素來理解洪水適應機制。
使用丹麥Unisense電極測量數據的研究意義
使用丹麥Unisense電極(如OX-500 Clark型氧微電極)測量數據的研究意義在于其高精度和靈敏度,能實時定量水下O2濃度,從而準確計算水下凈光合作用(Pn)和暗呼吸(Rd)。電極尖端直徑小(25μm),允許無損原位測量,避免了樣品破壞。數據證實了葉片氣體膜能顯著降低氣體擴散阻力,將Pn提高3.8倍,這直接驗證了氣體膜的功能是增強植物淹沒下的氣體交換和能量代謝。此外,電極測量揭示了不同物種的生理差異,如“常洪水”物種的Rd較低,反映了適應性的代謝調節。這種技術為理解植物淹沒生理提供了可靠工具,突出了微環境測量在生態研究中的價值,并支持了性狀與環境關聯的機制解釋。