熱線:021-66110810,66110819
手機:13564362870

熱線:021-66110810,66110819
手機:13564362870
Importance of the combined effects of dissolved oxygen and pH on optimization of nitrogen removal in anammox-enriched granular sludge
溶解氧和pH的聯合效應對厭氧氨氧化富集顆粒污泥脫氮優化的重要性
來源:Process Biochemistry, Volume 51, 2016, Pages 1274-1282
《過程生物化學》,第51卷,2016年,第1274-1282頁
摘要
摘要指出,本研究調查了溶解氧(DO)和pH的聯合效應對厭氧氨氧化富集顆粒污泥脫氮的影響。在非曝氣條件下觀察到最高比氮去除率(SNRR)(1.1 gN gVSS?1 d?1),氮去除效率達81.6%。盡管曝氣條件下氮去除易受抑制,但在DO濃度為0.5 mg O? L?1時SNRR增加,這與厭氧氨氧化過程中DO的定向抑制相反,表明其他氮轉化途徑如硝化和內源反硝化在系統中也活躍。最高SNRR出現在pH 6.5-8.5范圍內,該范圍以低游離氨(FA)和游離亞硝酸(FNA)濃度為特征。在最佳pH生理范圍內進行測試時,當銨和亞硝酸鹽幾乎完全去除時觀察到明顯的DO拐點,這證實了系統中耗氧細菌的氮去除作用。
研究目的
研究目的是評估溶解氧(DO)和pH的聯合效應對厭氧氨氧化富集顆粒污泥脫氮性能的影響,優化操作條件,并闡明氮轉化途徑,包括硝化、厭氧氨氧化和內源反硝化等過程的相互作用。
研究思路
研究思路包括使用實驗室規模序批式反應器(SBR)進行生物動力學測試,在不同DO濃度(0.0-1.0 mg O? L?1)和pH條件(6.0-10.5)下測量氮去除率。使用丹麥Unisense微電極在線監測氧化亞氮(N2O)濃度,以高分辨率跟蹤脫氮過程。應用Michaelis和Haldane模型描述pH效應,并通過測量銨、亞硝酸鹽、硝酸鹽濃度和氮轉化比來評估微生物途徑。污泥樣品來自全規模側流硝化/厭氧氨氧化系統,培養超過一年以形成顆粒污泥。
測量的數據及研究意義
1. 數據來自圖1:測量了不同DO濃度下NH4?-N和NO2?-N的歸一化濃度剖面、SNRRs和氮轉化比。研究意義是顯示DO對氮去除的抑制效應,但DO為0.5 mg O? L?1時SNRR增加,表明除厭氧氨氧化外,硝化和內源反硝化等途徑也貢獻氮去除,幫助優化DO控制以平衡多種微生物過程。

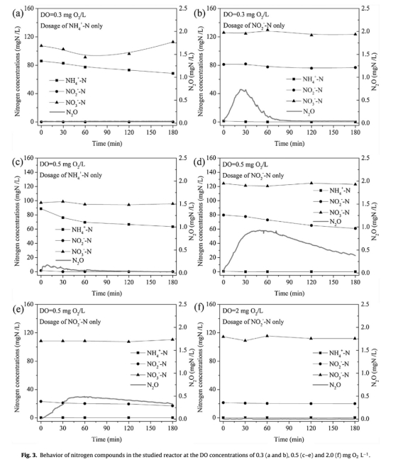
2. 數據來自圖3:測量了僅添加銨或亞硝酸鹽時不同DO濃度(0.3、0.5和2.0 mg O? L?1)下氮化合物的行為,包括N2O積累。研究意義是揭示DO如何影響氮轉化途徑,例如在低DO下N2O生產表明自養反硝化存在,而高DO抑制該過程,強調DO在調節微生物群落中的作用。

3. 數據來自表3:測量了不同DO和亞硝酸鹽濃度下的特異性N2O生產率和N2O排放因子。研究意義是量化N2O排放,顯示DO和底物濃度對溫室氣體產生的影響,為減少N2O排放提供操作指導。

4. 數據來自圖4:測量了不同初始pH下NH4?-N和NO2?-N的歸一化濃度剖面、SNRRs和氮轉化比。研究意義是確認pH 6.5-8.5為最優范圍,此時低FA和FNA濃度最小化抑制,確保厭氧氨氧化主導氮去除,并顯示pH偏離導致途徑偏移。

5. 數據來自圖5:通過等高線圖顯示了FA和FNA對SNRR的共抑制區域。研究意義是可視化pH依賴性抑制,表明FNA比FA更具抑制性,幫助設定pH控制區間以維持高效脫氮。

6. 數據來自圖7:構建了DO和pH聯合效應下的SNRR等高線圖,顯示兩個峰值區域。研究意義是揭示DO和pH的交互作用,例如在DO 0.5-0.6 mg O? L?1和pH 7.5-8.5時SNRR局部最大,指導多過程協同優化。

結論
1. 非曝氣條件下獲得最高SNRR(1.1 gN gVSS?1 d?1),但DO為0.5 mg O? L?1時SNRR也較高(約0.8 gN gVSS?1 d?1),表明硝化和內源反硝化與厭氧氨氧化協同作用。
2. pH 6.5-8.5范圍內SNRR最優,低FA和FNA濃度減少抑制,厭氧氨氧化是主要途徑;pH偏離導致氮轉化比異常,如低pH時硝酸鹽生產增加。
3. DO和pH聯合效應顯示兩個SNRR峰值區域(DO 0.0-0.1 mg O? L?1和pH 7-8;DO 0.5-0.6 mg O? L?1和pH 7.5-8.5),需維持這些條件以優化多過程脫氮。
4. 模型比較表明Haldane模型(考慮底物抑制)比Michaelis模型(僅pH效應)更擬合數據(R2=0.93 vs. 0.84),強調FA和FNA抑制作用。
5. 系統中存在耗氧細菌,證據是pH生理范圍內的DO拐點,證實氮去除不限于厭氧過程。
使用丹麥Unisense電極測量數據的研究意義
使用丹麥Unisense微電極(型號N2O25)在線監測氧化亞氮(N2O)濃度,提供了高時間分辨率的實時數據,每30秒記錄一次。研究意義在于,這種測量允許精確捕捉N2O的動態積累和消耗模式,從而揭示脫氮途徑的細節。例如,在圖3中,電極數據顯示在DO為0.3和0.5 mg O? L?1時出現N2O峰值,表明自養反硝化由氨氧化細菌(AOB)在低氧條件下驅動,而高DO(2.0 mg O? L?1)時N2O幾乎檢測不到,證實DO對反硝化的抑制。這些數據幫助量化N2O排放因子(表3),如DO為0.5 mg O? L?1時排放因子為4.9%,評估了過程的環境影響。此外,N2O生產與亞硝酸鹽濃度相關,顯示底物可用性的作用,為優化操作以減少溫室氣體排放提供了實證基礎??傮w而言,Unisense電極的數據增強了對厭氧氨氧化系統中微生物途徑的理解,支持了DO和pH聯合調控的策略。