熱線:021-66110810,66110819
手機:13564362870

熱線:021-66110810,66110819
手機:13564362870
Effect of pH on nitrous oxide production and emissions from a partial nitritation reactor under oxygen-limited conditions
pH對氧限制條件下部分亞硝化反應器中一氧化二氮產生和排放的影響
來源:Process Biochemistry, Volume 51, 2016, Pages 765-771
《過程生物化學》第51卷,2016年,第765-771頁
摘要
摘要部分闡述了本研究從宏觀和微觀角度調查了pH對氧限制條件下部分亞硝化反應器中一氧化二氮(N2O)產生和排放的影響。在單個循環的曝氣期間,N2O排放隨初始pH從7.5增加到8.5而減少。通過應用微電極,觀察到N2O在整個污泥聚集體中產生,且隨pH從8.5降低到7.0而增加。在pH 8.0和8.5時,N2O主要產生在污泥聚集體的外層(<1000μm),那里主要發生亞硝化反應;在pH 7.0和7.5時,N2O主要產生在內層(>1000μm),那里溶解氧幾乎耗盡,表明反硝化是主要途徑。在氧限制條件下,pH降低導致反硝化途徑的N2O排放增加。
研究目的
研究目的是探究pH對部分亞硝化過程中N2O產生和排放的影響,特別是從微觀角度使用微電極來揭示N2O產生途徑的空間分布和機制,以優化工藝減少溫室氣體排放。
研究思路
研究思路包括運行一個實驗室規模的序批式反應器(SBR)進行部分亞硝化,在氧限制條件下操作。首先從宏觀角度測量N2O排放和氮轉化參數,然后使用微電極測量污泥聚集體內部的微環境(如溶解氧、pH、銨氮、亞硝酸鹽和N2O濃度),并在不同pH值(7.0、7.5、8.0、8.5)下進行實驗。通過計算凈體積速率分析N2O產生動態,并結合微生物群落結構分析來驗證機制。
測量的數據及研究意義
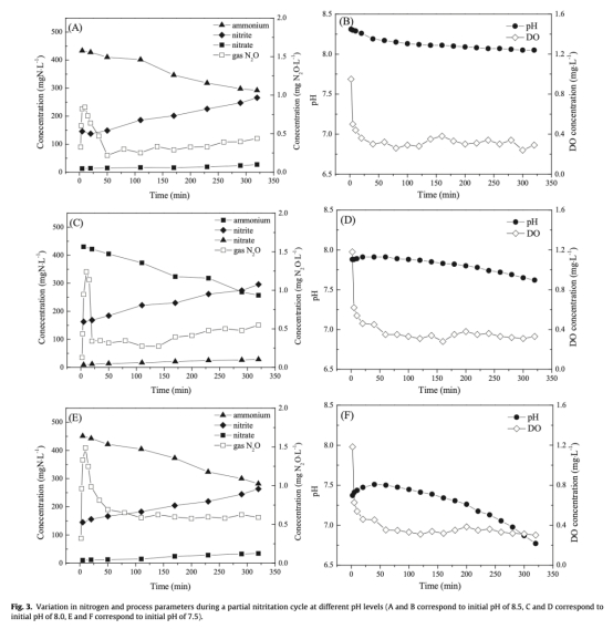
1 測量了宏觀N2O排放濃度隨時間的變化,在不同初始pH(7.5、8.0、8.5)下。數據來自圖3,顯示N2O排放峰值在pH 7.5時最高(1.43 mg/L),隨pH增加而降低。研究意義在于量化pH對N2O排放的直接影響,表明高pH可抑制N2O產生,為工藝參數優化提供依據,例如通過控制pH在8.0以上減少排放。

2 測量了污泥聚集體內部的微環境參數,包括溶解氧、pH、銨氮、亞硝酸鹽和N2O的濃度剖面。數據來自圖4(A-D),顯示溶解氧在外層消耗殆盡,內層呈缺氧狀態;N2O濃度隨深度增加,且低pH下更高。研究意義在于揭示N2O產生的空間異質性,幫助識別亞硝化(外層)和反硝化(內層)途徑的貢獻,為理解微生物反應機制提供微觀證據。

3 測量了N2O在污泥聚集體內外層的產生量量化。數據來自表1,顯示在pH 8.0和8.5時,N2O主要產生于外層(占比約60%),而在pH 7.0和7.5時,內層產生占比增至約68%。研究意義在于證實pH變化會改變N2O產生的主導途徑,低pH促進反硝化途徑的N2O積累,強調pH控制對途徑調控的重要性。

4 測量了凈體積消耗或產生速率,通過計算得出銨氮、亞硝酸鹽和N2O的動力學數據。數據來自圖4(E-H),顯示在低pH下內層N2O產生速率更高。研究意義在于提供定量分析工具,驗證pH對反應速率的抑制或增強效應,支持數學模型開發和工藝優化。
結論
1 N2O排放隨pH增加而減少,在氧限制條件下,pH從7.5升至8.5可降低N2O產生量,主要由于反硝化途徑受抑制。
2 微觀數據表明,低pH(7.0-7.5)下N2O產生主要來自內層反硝化途徑,而高pH(8.0-8.5)下以外層亞硝化途徑為主。
3 pH控制可作為關鍵操作參數,通過維持較高pH(如8.0以上)來最小化N2O排放,同時保持部分亞硝化效率。
使用丹麥Unisense電極測量數據的研究意義
使用丹麥Unisense電極測量N2O數據的研究意義在于實現了微米級高分辨率實時監測,使研究能深入污泥聚集體內部捕捉N2O產生的空間動態。電極數據(如圖4所示)直接揭示了N2O濃度梯度,例如在低pH下內層N2O積累顯著,這幫助區分了亞硝化和反硝化途徑的貢獻。這種微觀測量彌補了宏觀數據的不足,提供機制層面的證據,如證實溶解氧耗盡區域的反硝化主導作用。此外,電極的精確校準和穩定性確保了數據可靠性,為開發預測模型和優化反應器設計(如分層控制)提供了關鍵工具,提升了N2O減排策略的科學性和應用價值。