熱線:021-66110810,66110819
手機:13564362870

熱線:021-66110810,66110819
手機:13564362870
The effects of fulvic acid on microbial denitrification: promotion of NADH generation, electron transfer, and consumption
黃腐酸對微生物反硝化的影響:促進NADH生成、電子轉移和消耗
來源:Applied Microbiology and Biotechnology, Volume 100, 2016, Pages 5607-5618
《應用微生物學與生物技術》第100卷,2016年,第5607-5618頁
摘要
摘要闡述了富里酸(FA)作為腐殖質的主要成分,對微生物反硝化過程有促進作用。研究發現FA能顯著提高總氮去除效率(99.9%對比對照74.8%),減少亞硝酸鹽積累(0.2 mg/L對比43.8 mg/L)和N2O排放(0.003 mg N/mg TN對比0.240 mg N/mg TN)。機制研究表明FA通過增強糖酵解和三羧酸循環代謝增加NADH生成,促進電子轉移系統(復合物I和III)活性,并刺激反硝化酶(如亞硝酸鹽還原酶和N2O還原酶)的合成和催化活性,從而優化反硝化過程。這為理解FA在自然環境中氮循環的作用提供了新視角。
研究目的
研究目的是探究FA對微生物反硝化的影響機制,特別是從碳源代謝、電子生成、轉移和消耗的角度,評估FA如何促進NADH生成、電子傳遞和反硝化酶活性,以減少有害中間產物積累,并為環境氮循環管理提供理論依據。
研究思路
研究思路是通過實驗比較添加不同濃度FA(0、10、20、50 mg/L)與對照組的反硝化性能,使用Paracoccus denitrificans作為模型微生物,葡萄糖為碳源。監測總氮去除、硝酸鹽、亞硝酸鹽、N2O濃度變化,并分析NADH含量、關鍵酶活性(糖酵解和TCA循環酶、電子轉移復合物、反硝化酶)、基因表達(narG、nirS、norB、nosZ),并使用丹麥Unisense微傳感器測量N2O消耗以評估酶活性。通過統計學分析驗證FA的促進作用。
測量的數據及研究意義
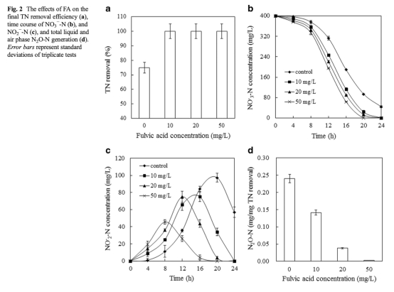
1 總氮去除效率和氮化合物濃度數據:來自圖2a、2b、2c、2d,顯示FA組總氮去除率高達99.9%,亞硝酸鹽積累降至0.2 mg/L,N2O排放降至0.003 mg N/mg TN。研究意義是證實FA能顯著提升反硝化效率,減少環境毒性物質排放,為廢水處理中FA的應用提供實踐依據,表明FA可通過優化微生物代謝降低氮污染風險。

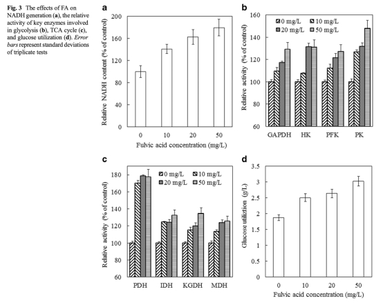
2 NADH生成和相關酶活性數據:來自圖3a、3b、3c,顯示FA使NADH含量增至對照的179%,糖酵解酶(如GAPDH活性達129%)和TCA循環酶(如PDH活性達177%)活性提高。研究意義是揭示FA通過增強碳源代謝途徑增加電子供體NADH的可用性,為理解FA如何從源頭促進反硝化提供機制解釋,有助于開發基于代謝調控的氮去除技術。

3 電子轉移系統活性數據:來自圖4b、4c,顯示復合物I和III活性在FA存在下分別提高至對照的155%和181%。研究意義是表明FA作為電子穿梭體增強電子從NADH向反硝化酶的傳遞,加速氮氧化物還原,解釋了FA減少中間產物積累的原因,為改善電子流在環境工程中的應用提供參考。

4 反硝化酶基因表達和活性數據:來自圖5和表1,顯示nirS和nosZ基因表達分別增至對照的497%和508%,NIR和N2OR活性顯著提高。研究意義是證實FA在轉錄和酶水平上上調關鍵反硝化酶,特別是減少N2O排放,凸顯FA在 mitigating溫室氣體排放方面的潛力,為基因工程和酶調控研究提供新方向。


5 葡萄糖利用和細胞生長數據:來自圖3d,顯示FA促進葡萄糖消耗和微生物增殖。研究意義是表明FA通過支持微生物生長間接增強反硝化,強調FA在生態系統碳氮耦合中的作用,為優化生物修復過程中的底物利用提供思路。
結論
1 FA能顯著提高反硝化總氮去除率,并降低亞硝酸鹽和N2O等有害中間產物的積累,表明FA具有優化反硝化過程的潛力。
2 FA通過促進糖酵解和TCA循環增加NADH生成,并通過增強電子轉移系統活性和反硝化酶活性,實現電子的高效利用,減少反硝化瓶頸。
3 研究證實FA在自然環境中可能通過類似機制影響氮循環,為開發FA基綠色反硝化技術提供理論支撐。
使用丹麥Unisense電極測量數據的研究意義
使用丹麥Unisense電極(具體為Unisense微傳感器)測量的數據主要涉及反硝化酶活性評估,特別是在測量一氧化氮還原酶(NOR)和氧化亞氮還原酶(N2OR)活性時,用于實時監測NO和N2O的消耗量。測量原理是電極通過電化學檢測氣體分壓變化,提供高精度、實時的濃度數據。意義在于:首先,該數據直接驗證了FA能顯著提高N2OR活性(如表1所示,FA組N2OR活性增至0.079 μmol N/min·mg protein),從而降低N2O排放,這為評估FA在減少溫室氣體排放方面的作用提供了直接實驗證據。其次,Unisense電極的高靈敏度使得能夠捕捉FA對酶動力學的細微影響,如加速N2O轉化,強化了FA作為電子穿梭體促進電子消耗的機制。此外,該方法避免了傳統檢測的延遲,為實時監控反硝化過程提供了可靠工具,有助于在環境工程中優化FA添加策略以實現低碳氮去除。總之,這些數據凸顯了Unisense電極在揭示FA調控反硝化微觀機制中的關鍵作用,為未來研究氣體代謝提供了技術典范。