熱線:021-66110810,66110819
手機:13564362870

熱線:021-66110810,66110819
手機:13564362870
808-nm laser therapy with a flat-top handpiece photobiomodulates mitochondria activities of Paramecium primaurelia(Protozoa)
808納米激光療法與平頂手具光生物調節草履蟲線粒體活動(原生動物)
來源:Lasers Med Sci(2016) 31:741-747
《激光在醫學科學》2016年第31卷第741-747頁
摘要:
摘要部分闡述了本研究調查并比較了808納米二極管激光(連續波)與新型平頂手具的光生物調制效果。研究測試了不同能量密度(如1 J/cm2和3 J/cm2由100 mW或1 W功率產生,以及64 J/cm2由100 mW、1 W、1.5 W或2 W功率產生)對草履蟲的氧消耗和ATP合成的影響。結果表明,3 J/cm2-100 mW或64 J/cm2-1 W的照射能增加氧消耗和ATP合成,而64 J/cm2-100 mW或64 J/cm2-2 W則抑制呼吸并降低ATP濃度。其他參數如1 J/cm2-100 mW或1 W及3 J/cm2-1 W未影響線粒體活動。摘要強調,使用平頂手件的高能量密度和高功率激光可能是一種有效非侵入療法,具有深層組織穿透潛力。
研究目的:
研究目的是調查和比較低能量密度與高能量密度激光照射(使用平頂手具)對草履蟲線粒體活動(如氧消耗和ATP合成)的影響,以挑戰傳統觀點,即只有低水平激光療法(LLLT)能刺激細胞,而高功率和能量密度可能產生負面效應。研究旨在驗證高能量密度激光是否也能實現光生物調制,并探索其潛在治療應用。
研究思路:
研究思路是使用草履蟲(Paramecium primaurelia)作為非動物模型,因為它具有短細胞周期和真核細胞特性,便于研究環境擾動對線粒體活動的影響。研究首先通過自動核重組獲得遺傳同質種群,然后使用808納米二極管激光與平頂手具照射樣品,控制溫度變量。照射參數包括不同能量密度和功率組合。測量方面包括氧消耗(使用丹麥Unisense電極)和ATP合成(使用熒光素/熒光素酶方法),并通過統計分析比較 irradiated 組與對照組。研究還監測了培養基溫度變化以確保非熱效應。
測量的數據及研究意義:
1 氧消耗數據:研究測量了草履蟲在不同激光參數下的氧消耗變化,數據來自Fig.2。結果顯示,3 J/cm2-100 mW和64 J/cm2-1 W照射顯著增加氧消耗,而64 J/cm2-100 mW、64 J/cm2-1.5 W和64 J/cm2-
2 W抑制氧消耗。研究意義在于,這些數據表明激光能調制線粒體呼吸鏈活動,支持光生物調制的非線性特性,即特定參數組合(而非單獨能量密度)能增強或抑制細胞代謝,這有助于重新評估高功率激光的治療潛力。

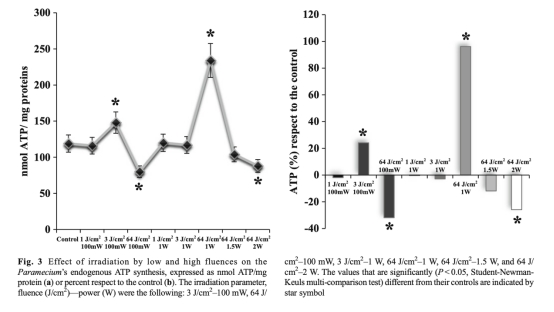
2 ATP合成數據:研究測量了草履蟲的內源性ATP合成水平,數據來自Fig.3。結果顯示,3 J/cm2-100 mW和64 J/cm2-1 W照射顯著增加ATP合成,而64 J/cm2-100 mW和64 J/cm2-2 W抑制ATP合成。研究意義在于,ATP數據與氧消耗一致,表明激光調制線粒體活動未導致呼吸鏈解偶聯,從而驗證了光生物調制的安全性,并為高能量密度療法提供實驗依據,可能應用于增強細胞能量代謝。

3 溫度數據:研究測量了激光照射期間培養基的溫度變化,數據來自Fig.1。結果顯示,高能量密度照射(如64 J/cm2)在室溫下導致溫度升高約2.8-3.5°C,但通過水冷控制可維持穩定。研究意義在于,溫度數據排除了熱效應為主要因素,支持光生物調制的非熱機制,突出了平頂手具在均勻照射中的優勢。

結論:
1 808納米、64 J/cm2-1 W激光療法比3 J/cm2-100 mW更能高效增強草履蟲線粒體呼吸鏈活動,且效果不受約3°C溫度變化影響。
2 平頂手具允許高功率能量(1 W)和高能量密度在短時間內均勻照射目標表面。
3 能量密度本身不直接影響草履蟲細胞呼吸,而是激光功率與照射時間之間存在精確關系。
4 使用平頂手具照射時,高能量密度和高功率激光可視為有效非侵入療法,需進一步研究與高斯光束手具的比較。
使用丹麥Unisense電極測量數據的研究意義:
使用丹麥Unisense電極(一種電流計電極)測量氧消耗數據的研究意義在于,該電極能高精度地監測封閉環境中草履蟲的實時氧消耗變化,從而直接反映線粒體呼吸鏈活動。這種測量方法提供了細胞代謝的定量指標,驗證了激光照射對線粒體功能的調制效果。具體而言,數據表明特定激光參數(如64 J/cm2-1 W)能顯著增加氧消耗,且與ATP合成增加同步,這證實了光生物調制未導致呼吸鏈解偶聯,避免了氧化應激風險。研究意義還包括該方法的高靈敏度和可靠性,為在原型生物模型中研究光生物效應提供了標準化工具,支持將結果外推至更復雜生物系統,并強調了在光療法中精確控制參數的重要性。此外,結合溫度控制數據,Unisense電極的測量排除了熱干擾,強化了光化學機制的主導地位,為開發基于線粒體調制的治療策略奠定基礎。