熱線:021-66110810,66110819
手機:13564362870

熱線:021-66110810,66110819
手機:13564362870
Divergent life history strategies in congeneric hyperparasitoids
同源高寄生性寄生蟲的不同生活策略
來源:Evolutionary Ecology·January 2016 DOI: 10.1007/s10682-016-9819-6
一、摘要概述
本論文摘要指出,研究聚焦于三種同屬超寄生蜂(Gelis agilis、Gelis acarorum 和 Gelis areator)的生活史策略分歧。這些物種在有翅發育(G. areator 有翅,G. agilis 和 G. acarorum 無翅)和繁殖模式(G. agilis 為孤雌生殖,其余為有性生殖)上發生進化分化。研究發現,它們的生活史策略顯著不同:無翅的 G. acarorum 潛在繁殖力(卵巢卵數)最高,但有翅的 G. areator 實際終身繁殖力(總后代數)最強;孤雌生殖的 G. agilis 只投資雌性后代,而有性物種偏向生產雄性以降低競爭。物種間在壽命、繁殖-壽命權衡方向及靜息代謝率(RMR)上也存在差異,有翅物種代謝率最高。結論表明,主要性狀衰退(如翅丟失和有性繁殖丟失)通過性狀相關性驅動了生活史性狀的分歧。
二、研究目的
本研究旨在:
探討宏觀進化變化(如翅丟失和繁殖模式轉變)如何影響近緣物種的關鍵生活史性狀(如繁殖力、壽命和代謝率)。
驗證性狀衰退(如翅缺失和孤雌生殖)是否通過資源分配權衡導致生活史策略分化。
比較三種 Gelis 超寄生蜂在受控環境下的生活史參數,以揭示生態和進化適應機制。
評估代謝率作為生理指標如何與生活史權衡(如繁殖-壽命關系)關聯,從而深化對寄生蜂群落動態的理解。
三、研究思路
研究采用實驗室控制實驗與統計分析相結合的方法:
物種選擇:選取三種同屬 Gelis 超寄生蜂,代表不同性狀組合:G. areator(有翅、有性)、G. acarorum(無翅、有性)、G. agilis(無翅、孤雌生殖)。
實驗設計:在標準條件(25°C,16:8 光周期,65% 濕度)下飼養昆蟲,從野外采集并實驗室馴化。
數據收集:
潛在繁殖力:解剖雌性,測量不同年齡段的卵巢卵數和卵體積(來自 Table 1 和 Fig. 1)。


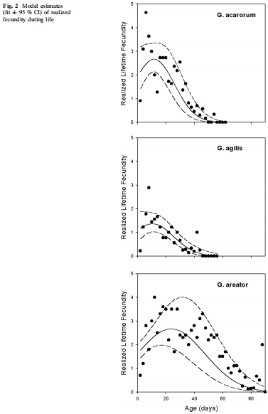
實際繁殖力與壽命:跟蹤雌性終身產卵量、后代性別比和壽命(有/無宿主訪問),數據來自 Table 1 和 Fig. 2、Fig. 4。


靜息代謝率(RMR):使用丹麥 Unisense 微呼吸系統測量氧氣消耗率(質量校正值),數據來自 Table 1。
統計分析:應用廣義線性模型(GLM)和混合模型(GLMM)檢驗物種間差異,包括卵數、體積、壽命、代謝率等,使用 R 軟件進行多重比較(Tukey HSD)。
四、測量數據及研究意義
以下關鍵測量數據均來自文檔中圖表,以描述性列表說明其來源及研究意義。避免表格形式,僅引用原文圖表。
潛在繁殖力(來自 Table 1 和 Fig. 1)
數據:Table 1 顯示平均卵數:G. acarorum 最高(3.64 ± 0.38),G. agilis 最低(0.54 ± 0.07);Fig. 1 通過模型估計展示卵數和卵體積隨時間變化,如 G. acarorum 卵數在 14 天達峰。
研究意義:卵數-體積權衡揭示資源分配策略;G. acarorum 的高卵數但小卵體積支持“數量優于質量”策略,適應無翅生命的本地資源競爭,而 G. areator 的大卵體積可能提升后代存活率,與其擴散能力匹配。
實際終身繁殖力與性別分配(來自 Table 1 和 Fig. 2、Fig. 3)

數據:Table 1 中實際后代數:G. areator 最高(83.30 ± 13.39),G. agilis 最低(19.56 ± 2.39);Fig. 2 顯示繁殖力隨年齡變化,G. areator 持續高產;Fig. 3 表明有性物種雄性比例高(G. acarorum 雄性占 82%,G. areator 占 88%)。
研究意義:高繁殖力與有翅性狀關聯,支持擴散優勢;雄性偏向性別分配減輕雌性競爭,反映群落壓力下的適應策略;孤雌生殖的 G. agilis 低繁殖力揭示孤雌生殖的成本。
壽命與繁殖權衡(來自 Table 1 和 Fig. 4)
數據:Table 1 列出壽命(有宿主時):G. areator 最長(80.20 ± 1.14 天),G. acarorum 最短(49.18 ± 2.01 天);Fig. 4 顯示壽命受宿主訪問影響,如 G. agilis 無宿主時壽命延長。
研究意義:繁殖-壽命權衡方向因物種異:G. agilis 繁殖成本高(壽命縮短),而 G. areator 無顯著代價,暗示宿主訪問可能通過營養補充緩解權衡,凸顯生活史可塑性。
靜息代謝率(RMR)(來自 Table 1)
數據:Table 1 提供質量校正 RMR 值:G. areator 最高(3.23 ± 0.34 μL h?1 mg?1),G. agilis 最低(1.32 ± 0.08)。
研究意義:代謝率與翅狀態正相關,有翅物種高代謝支持“增加攝入假說”,即高能量消耗賦能擴散和高繁殖;無翅物種低代謝反映資源節約策略,與局部環境適應一致。
五、結論
本研究主要結論包括:
生活史策略分歧:三種 Gelis 物種因翅發育和繁殖模式差異而演化出不同策略:有翅的 G. areator 具備高繁殖力、長壽命和高代謝率,適應廣域資源利用;無翅物種(G. acarorum 和 G. agilis)繁殖輸出較低,更依賴本地資源。
性狀衰退的影響:翅丟失和孤雌生殖導致資源重新分配,如 G. agilis 的孤雌生殖雖專投資雌性,但繁殖力折半,表明宏觀進化變化通過權衡驅動生活史分化。
生態意義:在超寄生蜂群落中,有翅物種可能與大范圍競爭者互動,而無翅物種更易受局部競爭限制;代謝差異解釋了物種在能流利用上的適應差異。
普遍性:研究驗證了生活史理論中的權衡概念,并強調性狀相關性在進化生態學中的核心作用。
六、詳細解讀使用丹麥Unisense電極測量出來的數據有什么研究意義
丹麥Unisense微呼吸系統在本研究中用于測量靜息代謝率(RMR),其數據在揭示生理基礎與生活史權衡關聯中具有關鍵研究意義:
1. 技術原理與創新性
原理:Unisense系統采用封閉室微呼吸計,配備Clark型氧微電極(尖端精度高),實時監測昆蟲在靜止狀態的氧氣消耗率(μL O? h?1)。系統通過兩點校準(空氣和氮氣),使用MicOx軟件轉換數據,確保高分辨率測量(樣本記錄每秒一次)。質量校正RMR控制體重變異,提升可比性。
創新性:本研究是首例在超寄生蜂中應用Unisense技術,提供精準生理指標,彌補了傳統生活史研究缺乏生理機制支撐的缺口。
2. 在生活史權衡中的核心作用
量化代謝成本:Unisense數據(Table 1)顯示G. areator的RMR是G. agilis的2.5倍,直接驗證“增加攝入假說”——高代謝物種通過增強能量獲取支持高繁殖力(如G. areator后代數達83.3)。反之,低代謝物種(如G. agilis)遵循“補償假說”,資源節約用于維持。
關聯翅狀態:有翅物種高RMR與飛行能耗一致,支持翅保留的生態代價(如Reinhold, 1999);無翅物種低RMR反映能量再分配至繁殖,解釋其潛在卵數優勢(G. acarorum卵數3.64)。
揭示權衡機制:RMR與壽命正相關(G. areator長壽),挑戰傳統代謝率-壽命負相關范式,表明在高資源環境中,代謝率可賦能生存而非損耗。
3. 對進化生態學的意義
適應性解讀:高RMR賦予G. areator擴散優勢,使其在群落中占據廣譜生態位;低RMR無翅物種適應穩定生境,但易受競爭限制。這解釋了自然界中翅多態性的維持機制。
群落動態啟示:代謝差異預測物種互作強度,如高代謝物種可能主導寄生網絡,為生物防治提供參考(如利用G. areator控制害蟲)。
4. 局限與前瞻
局限性:點測量未覆蓋動態代謝波動;實驗室環境可能低估野外變異性。
未來應用:Unisense技術可擴展至應激響應測量(如溫度變化),結合基因組學,揭示代謝通路的進化基礎;長期監測可預測氣候變化下物種適應性。
總之,Unisense電極數據通過提供精確的代謝指標,將生活史性狀與生理機制直接鏈接,凸顯了代謝率作為“生命節奏調節器”在進化生態學中的樞紐作用。其高可靠性數據為理解性狀衰退的生態后果設立了新標準。