熱線:021-66110810,66110819
手機:13564362870

熱線:021-66110810,66110819
手機:13564362870
Intermittent Hypoxia and Prolonged Suboxia Measured In situ in a Marine Sponge
在海洋海綿體內測量到的間歇性缺氧和長時間缺氧情況
來源:Front. Mar. Sci. 3:263
一、摘要概述
本論文摘要指出,高微生物豐度(HMA)海綿是一類濾食性海綿,其體內寄居大量共生微生物,這些微生物通過復雜的生物地球化學轉化驅動全生物(holobiont)的代謝。盡管海綿是好氧動物,但其體內存在亞氧和厭氧細菌,然而關于海綿體內化學環境(尤其是溶解氧動態)的自然狀態知之甚少。本研究通過現場微傳感器測量,首次發現HMA海綿Theonella swinhoei體內存在間歇性低氧和延長性亞氧條件。主動泵水的海綿表現出高氧去除率,并伴有短暫的極端吸氧事件(>90 μmol DO L?1),海綿體內始終維持亞氧狀態,且體內與流出水中的氧濃度無相關性。結果表明,海綿可能通過“養殖”細菌共生體獲取還原物質,并暗示全生物代謝存在高度局部化控制,為厭氧微生物提供了適宜的時序微環境。
二、研究目的
本研究的主要目的包括:
量化海綿Theonella swinhoei在自然棲息地中的氧動態(包括體內和流出水),填補海綿體內化學環境數據的空白。
驗證海綿體內是否存在臨時性厭氧條件,以支持其厭氧共生微生物的生存。
探討海綿如何通過調控泵水活動創造微環境,從而維持復雜微生物群落的功能。
評估氧動態與海綿代謝的關系,為理解HMA海綿在寡營養珊瑚礁生態系統中的適應策略提供基礎。
三、研究思路
研究采用現場原位測量與實驗室驗證相結合的多方法 approach:
樣本采集與處理:在以色列埃拉特珊瑚礁(15-17米深度)采集T. swinhoei海綿個體,連附底物轉移至現場珊瑚苗圃或實驗室水族箱,避免損傷并維持自然泵水活動。
微傳感器部署:使用丹麥Unisense水下計量系統(配備100μm尖端玻璃微電極)和FireSting O?光學位點傳感器,連續記錄海綿體內(穿刺深度8-10 mm)和流出水(通過出水口)的溶解氧(DO)濃度,采樣頻率達每秒一次,持續最長達48小時。
實驗設計:
泵水活動評估:通過熒光染料示蹤法定性和定量測量泵水速率(如染料前沿速度法),計算比泵水率。
環境參數控制:監測環境水溫(22-24°C)、鹽度(40.5 PSU)和葉綠素濃度,確保實驗條件代表自然生境。
數據處理:使用R軟件進行統計分析,包括平滑處理(30秒移動平均)、自相關和滯后相關分析,以識別氧動態模式。
驗證與校準:所有傳感器定期交叉校準(使用空氣飽和水和氮氣 purge水),并通過ProODO儀器驗證數據準確性。
四、測量數據及研究意義
以下關鍵測量數據均來自文檔中圖表,以描述性列表說明其來源及研究意義(避免表格形式):
泵水速率動態(來自Fig. 2)

數據:Fig. 2 顯示不同個體(T1-T3)的泵水速率范圍(0-11 cm3 s?1 mL?1),T1最活躍,T2b最弱;同一海綿不同出水口泵水率無相關性(如T2個體中一個出水口停泵而相鄰口活躍)。
研究意義:泵水率異質性表明海綿局部單元獨立運作,支持“微環境分區”假說;這種變異為時序性低氧事件提供機制基礎,解釋厭氧菌的共存。
流出水氧飽和度分布(來自Fig. 3)

數據:Fig. 3A-F 展示流出水DO飽和度的頻率分布,呈雙峰或三峰模式(如T1在40-60%和90-100%飽和度有峰值),T3甚至出現30-55%低氧主導狀態;短期DO飽和度可降至近0%(持續14分鐘)。
研究意義:氧去除率極高(達93 μmol L?1),遠超環境中有機物供應量,暗示海綿可能內源還原物質(如硫化物)氧化或共生菌捕食,凸顯HMA海綿代謝的高效性。
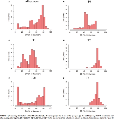
體內氧濃度時序變化(來自Fig. 4 和 Fig. 5)


數據:Fig. 4A-F 顯示海綿體內DO飽和度常低于75%,低氧(<30%飽和度)出現時間占14%;Fig. 5A-B 記錄T2b個體體內DO的節律性振蕩(周期約172分鐘),飽和度在6-84%間循環,波谷近缺氧。
研究意義:體內持續亞氧與短期缺氧事件證實時序微環境存在,為厭氧代謝(如反硝化)提供條件;振蕩模式提示宿主-共生體協同調控代謝節律,可能通過泵水“開關”機制實現。
氧通量計算(來自結果部分)
數據:基于DO差值計算,海綿平均氧去除率為53±51 μmol L?1,對應日泵水量150 L,消耗8 mmol DO day?1;高去除事件(>100 μmol L?1)可持續12小時。
研究意義:氧需求遠超環境輸入,支持“共生菌 farming”假說,即海綿周期性消耗菌群作為碳源;此發現重新定義HMA海綿在碳循環中的角色。
五、結論
本研究主要結論包括:
微環境存在性:海綿體內存在動態亞氧和間歇性缺氧微環境,DO濃度與流出水無相關性,表明局部代謝控制主導氧動態。
代謝高效性:極高氧去除率揭示海綿代謝依賴內源還原物質,可能通過捕食共生菌或利用代謝廢物(如氨、硫化物)實現能量補給。
生態意義:時序性缺氧支持厭氧共生菌功能(如氮循環),增強海綿在寡營養環境中的適應性;泵水單元獨立性為微生物多樣性提供生態位。
氣候響應啟示:當前氧動態已近代謝極限,未來海洋脫氧或酸化可能破壞微環境平衡,威脅海綿-微生物共生穩定性。
六、詳細解讀使用丹麥Unisense電極測量出來的數據有什么研究意義
丹麥Unisense微電極系統在本研究中用于高分辨率原位測量溶解氧,其數據在揭示海綿生物地球化學過程中具有里程碑式意義:
1. 技術原理與創新性
原理:Unisense系統采用Clark型玻璃微電極(尖端100μm),通過安培法實時檢測DO濃度;系統集成水下計量單元,每秒采樣,結合三維打印微操縱器實現精準穿刺(體內8-10mm)。校準使用兩點法(空氣飽和 vs. 氮氣 purge),確保數據精度(誤差<5%)。
創新性:首次在海綿自然棲息地實現長期(至48小時)、連續原位DO監測,克服傳統代謝艙的脅迫效應,提供真實時空動態數據。
2. 在微環境解析中的關鍵作用
缺氧事件捕獲:Unisense數據(如Fig. 5B)直接記錄T2b個體DO的節律振蕩(波谷飽和度5-7%),發現此前未知的代謝周期(~172分鐘),證實海綿體內存在“代謝鐘”,可能由共生菌群驅動。
空間異質性量化:體內與流出水DO無相關性(滯后相關系數<0.55),揭示微環境高度局部化,推翻均勻混合假設;此發現僅能通過高分辨率電極實現。
3. 對共生生態學的貢獻
厭氧菌生存證據:持續亞氧數據(體內DO常<75%飽和度)為厭氧菌(如反硝化菌)提供生存條件,支持基因組中厭氧基因的功能表達;短期缺氧事件(Fig. 4)解釋為何30%分離菌需厭氧培養。
宿主-共生體互作洞察:DO振蕩模式暗示泵水活動周期性“開關”,可能通過調控水流創造交替好氧/厭氧區,優化養分循環(如碳氮耦合)。
4. 局限與前瞻應用
局限性:點測量可能低估整體異質性;電極穿刺或擾動局部化學梯度。
未來方向:Unisense技術可擴展至多參數(如H?S、pH),結合宏基因組學解析代謝通路;長期監測有助于預測氣候變化下海綿群落韌性。
總之,Unisense電極通過毫米級精度數據,將海綿體內氧動態與微生物功能直接鏈接,其輸出不僅重新定義了HMA海綿的代謝策略,還為理解海洋共生系統的氣候響應設立了新基準。