熱線:021-66110810,66110819
手機:13564362870

熱線:021-66110810,66110819
手機:13564362870
Living oysters and their shells as sites of nitrification and denitrification
活牡蠣及其貝殼作為硝化和反硝化作用的場所
來源:Marine Pollution Bulletin 112 (2016) 86–90
一、摘要概述
本論文摘要指出,牡蠣礁作為關鍵棲息地,能通過過濾浮游植物改善水質,但歷史衰退已影響河口韌性。研究首次證明活牡蠣(Crassostrea virginica 和 Crassostrea gigas)及其空殼是硝化和反硝化的場所:硝化速率在活牡蠣與空殼間無顯著差異(p > 0.07),但活牡蠣的反硝化速率顯著高于空殼(約3倍)。活牡蠣的銨排泄和氧消耗也更高。這表明牡蠣礁恢復不僅能提供物理結構支持,還能通過增強反硝化去除固定氮,為富營養化管理提供新視角。
二、研究目的
本研究旨在驗證活牡蠣是否比空殼更高效地驅動氮轉化過程,具體目的包括:
比較活牡蠣與空殼的硝化、反硝化、銨通量和呼吸速率。
檢驗物種差異(C. virginica vs. C. gigas)對氮轉化的影響。
評估牡蠣介導的反硝化在河口氮去除中的潛力,為礁體恢復提供科學依據。
三、研究思路
研究采用批量實驗和流式實驗相結合的方法:
樣本采集:2011-2013年從佛羅里達Pensacola Bay(C. virginica)和加州Tomales Bay(C. gigas)采集活牡蠣和空殼,確保樣本交叉截面面積一致(Table 1)。

實驗設計:
批量實驗:將牡蠣或空殼置于1 L海水中(添加NH??至10 μM),黑暗培養24小時,測量NO??、NO??+NO??和NH??濃度變化。
流式實驗:使用氣密 plexiglass 管,控制流速(0.18 L·h?1),添加1?NO??(10-40 μM),測量氮通量和氧消耗。
分析技術:使用熒光法測銨、鎘還原法測硝酸鹽+亞硝酸鹽、質譜法測N?同位素(2?N?和3?N?)。
數據處理:通過t檢驗和ANOVA比較組間差異,速率歸一化至殼交叉截面面積。
四、測量數據及研究意義
以下關鍵測量數據均來自文檔中圖表,以描述性列表說明其研究意義。避免表格形式,僅引用原文圖表。
硝化速率(來自Fig.1和Table 2)


數據:Fig.1顯示硝化速率范圍0-112 nmol N·cm?2(殼面積)·d?1,活牡蠣與空殼無顯著差異(p=0.07)。Table 2統計驗證日期效應(2011年速率低于2013年)。
研究意義:表明硝化主要依賴殼表面生物膜,而非活體組織;速率一致性提示牡蠣礁的硝化能力受環境因子(如溫度)調控,與物種無關。
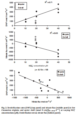
反硝化速率(來自Fig.2和Table 3)


數據:Fig.2顯示活牡蠣反硝化速率(269±37 nmol N·cm?2·d?1)是空殼(74±17 nmol N·cm?2·d?1)的3.6倍,且與硝酸鹽濃度正相關。Table 3流式實驗數據證實活牡蠣反硝化占總硝酸鹽吸收的20%。
研究意義:活牡蠣通過排泄銨和呼吸創造微氧環境,促進反硝化菌活動;反硝化增強突顯牡蠣作為“氮匯”的生態功能,有助于緩解河口富營養化。
銨通量和氧消耗(來自Table 3和Table 4)

數據:Table 4批量實驗中,活牡蠣銨通量(1121-1713 nmol·cm?2·d?1)遠高于空殼(近零);Table 3流式實驗顯示活牡蠣氧消耗(-6884 μmol·cm?2·d?1)是空殼的2倍。
研究意義:高銨排泄提供硝化底物,而高氧消耗形成缺氧微區,耦合驅動反硝化;數據量化了牡蠣在碳氮循環中的代謝貢獻。
物種和地點比較(來自Fig.1和Table 1)
數據:Fig.1中C. gigas和C. virginica硝化速率無顯著差異;Table 1顯示樣本殼高和面積匹配,排除尺寸偏差。
研究意義:表明氮轉化功能具普適性,支持牡蠣礁恢復的廣泛適用性;地點差異(如Pensacola vs. Tomales)反映區域水文影響。
五、結論
本研究主要結論包括:
反硝化增強:活牡蠣通過代謝活動(排泄和呼吸)顯著提升反硝化速率,是其空殼的3倍以上,證實活體生物是河口氮去除的關鍵驅動力。
硝化穩定性:硝化作用在活牡蠣與空殼間無差異,表明該過程主要依賴殼面生物膜,受環境因子主導。
生態應用:牡蠣礁恢復不僅能提供棲息地,還能通過反硝化有效去除固定氮,應作為富營養化管理的工具;此功能可能擴展至其他濾食性雙殼類(如貽貝)。
管理啟示:歷史牡蠣礁喪失削弱了河口氮循環韌性,恢復項目需量化氮去除服務以優化決策。
六、詳細解讀使用丹麥Unisense電極測量出來的數據有什么研究意義
丹麥Unisense氧微電極在本研究中用于測量溶解氧(DO)濃度,其數據在研究氮轉化機制解析中扮演核心角色,具體研究意義如下:
1. 技術原理與精度優勢
原理:Unisense電極基于安培法,使用Clark型微傳感器(μm級精度)實時測量DO濃度。系統集成微操縱器,直接插入流式實驗核心管,實現原位連續監測(如Table 3所述)。
精度優勢:提供高時間分辨率數據(如氧通量測量),避免傳統 Winkler 法的離散采樣誤差;數據直接支持呼吸速率計算(氧消耗作為代謝指標)。
2. 在反硝化機制驗證中的關鍵作用
缺氧微區識別:Unisense數據顯示活牡蠣氧消耗速率(-6884 μmol·cm?2·d?1)是空殼的2倍(Table 3),證實活體呼吸在殼周形成局部缺氧環境。這種缺氧條件促進反硝化菌將NO??還原為N?,直接解釋反硝化增強現象。
耦合過程量化:氧消耗與銨通量(Table 4)正相關,表明牡蠣排泄銨為硝化供底物,而硝化產物(NO??)在缺氧區被反硝化;Unisense數據通過精準氧測量,閉環驗證“硝化-反硝化耦合”機制。
3. 對生態模型的意義
參數化基礎:氧通量數據為河口生物地球化學模型提供關鍵輸入(如牡蠣代謝的氧需求系數),提升氮循環預測準確性。
縮放計算:結合殼面積歸一化,Unisense數據支持從個體到生態系統水平的推演(如每平方米牡蠣礁的氮去除量),助力管理策略優化。
4. 局限與創新點
局限性:點測量可能低估空間異質性;未覆蓋晝夜氧波動對反硝化的動態影響。
創新性:本研究是首批將Unisense電極與同位素配對技術(1?N)結合的工作,實現氮轉化通量的同步高精度量化,為微觀生態過程研究樹立新標準。
總之,Unisense電極數據不僅量化了牡蠣的代謝強度,更通過揭示氧動態與氮轉化的因果關系,凸顯活體生物在調控河口氮循環中的不可替代性,為生態修復提供堅實科學基礎。