熱線:021-66110810,66110819
手機:13564362870

熱線:021-66110810,66110819
手機:13564362870
Evaluation of in situ simulated dredging to reduce internal nitrogen flux across the sediment-water interface in Lake Taihu, China
為減少太湖沉積物-水界面內氮通量而進行的原位模擬疏浚評價
來源:Environmental Pollution 214 (2016) 866-877
論文總結
一、論文摘要
本論文通過為期一年的原位模擬疏浚實驗,評估了疏浚對太湖沉積物-水界面氮通量的影響。摘要指出,疏浚后孔隙水中無機氮濃度降低,沉積物氮動員減少。具體而言,疏浚使NH?-N擴散通量顯著降低78.2%(p < 0.01),而NO?-N通量增加58%(p < 0.01)。氮分餾實驗表明,疏浚后沉積物中氮的含量和活性普遍下降。高通量測序顯示細菌群落相對豐度減少30%,硝化螺旋菌(Nitrospira)豐度增加,但硫桿菌(Thiobacillus)、固醇桿菌(Sterolibacterium)等反硝化相關菌群豐度降低。疏浚減少氮釋放的主要原因是沉積物氮流動性降低、有機質礦化潛力下降及細菌豐度減少。總體而言,疏浚能有效控制沉積物氮釋放,但需關注其對NO?-N和NO?-N去除的潛在負面影響。
二、研究目的
本研究的主要目的包括:
評估疏浚效果:定量分析疏浚對沉積物-水界面氮通量的影響,特別是NH?-N、NO?-N和NO?-N的擴散通量變化。
揭示機制:通過氮分餾和細菌群落結構分析,闡明疏浚影響氮遷移和再生的生物地球化學機制。
指導實踐:為太湖等富營養化湖泊的疏浚修復工程提供科學依據,優化內源氮污染控制策略。
三、研究思路
研究采用原位模擬與多指標結合的系統思路:
實驗設計:在太湖月亮灣設置疏浚(移除表層25 cm沉積物)和未疏浚對照處理,各6個重復,進行為期一年的湖底培養(2013年8月至2014年8月)。
采樣與測量:
月度監測:使用Rhizon孔隙水采樣器每月采集沉積物不同深度(0.5–9 cm)孔隙水,測定NH?-N、NO?-N、NO?-N濃度。
通量計算:基于菲克第一定律計算氮擴散通量,考慮孔隙度和擴散系數。
沉積物性質:實驗結束后分析沉積物pH、孔隙度、灼失量(LOI)、鐵含量、酸揮發性硫化物(AVS)等(Table 1)。

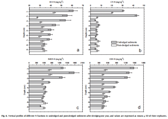
氮分餾:測定可交換態氮(IEF-N)、碳酸鹽結合態氮(CF-N)、鐵錳氧化物結合態氮(IMOF-N)和有機硫化物結合態氮(OSF-N)的含量(Fig. 6)。

微生物分析:通過高通量測序分析表層沉積物(0–1 cm)細菌群落結構(Fig. 7、Fig. 8)。


關鍵工具應用:使用丹麥Unisense微電極測量沉積物-水界面的溶解氧(DO)、pH和氧化還原電位(Eh)剖面(Fig. 2),以評估疏浚對氧化還原環境的影響。

四、測量數據及研究意義(注明來源)
本研究測量了多類數據,其來源和意義如下:
孔隙水氮濃度剖面(來自Fig. 3):

數據:Fig. 3顯示疏浚后孔隙水NH?-N濃度顯著降低(約222%),NO?-N和NO?-N濃度輕微升高;NH?-N濃度隨深度增加,而NO?-N和NO?-N分布不規則。
研究意義:這些剖面直接反映疏浚對氮遷移的抑制效應,NH?-N降低源于有機質減少,NO?-N升高可能與氧化條件增強促進硝化有關,突出了疏浚對氮形態轉化的選擇性影響。
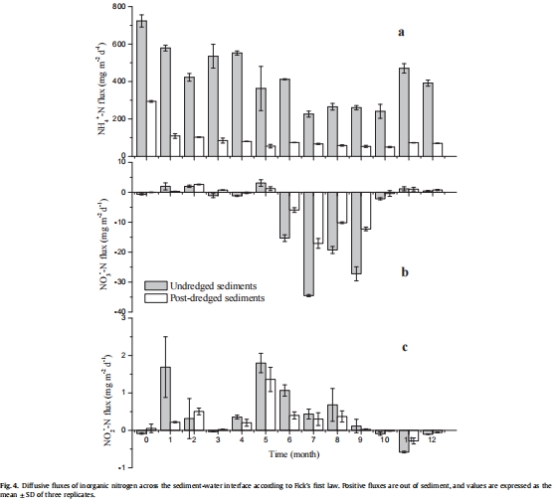
氮擴散通量(來自Fig. 4):

數據:Fig. 4表明疏浚使NH?-N通量降低458%,NO?-N和NO?-N通量分別降低235%和179%;疏浚沉積物從氮“源”向“匯”轉變。
研究意義:通量變化量化了疏浚的凈減排效果,但NO?-N通量相對增加暗示反硝化削弱,對湖泊脫氮潛力有重要啟示。
沉積物性質(來自Table 1和Fig. 2):
數據:Table 1顯示疏浚后沉積物總氮(TN)降低66%,有機質(LOI)減少,孔隙度增加;Fig. 2中疏浚點DO滲透深度更深(8 mm vs. 2 mm),Eh值升高。
研究意義:理化性質變化解釋通量差異:高孔隙度促進擴散,但低TN和有機質限制礦化源;氧化環境增強(DO、Eh升高)利于硝化但抑制反硝化。
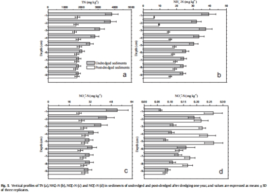
氮分餾與形態分布(來自Fig. 5、Fig. 6和Table 2):


數據:Fig. 5顯示疏浚后TN和NH?-N含量下降;Fig. 6中IMOF-N和OSF-N為主要形態,疏浚后各形態氮含量降低;Table 2相關性分析表明氮形態與pH、LOI、Fe顯著相關。
研究意義:分餾數據揭示氮穩定性變化,疏浚后惰性氮(如OSF-N)比例增加,表明氮釋放風險降低,但鐵錳氧化物結合氮(IMOF-N)減少可能影響氮吸附容量。
細菌群落結構(來自Fig. 7、Fig. 8):
數據:Fig. 7顯示疏浚后變形菌門(Proteobacteria)豐度下降,硝化螺旋菌門(Nitrospira)增加244%;Fig. 8中反硝化菌(如Thiobacillus)豐度降低。
研究意義:群落演變從微生物機制解釋氮轉化:硝化菌富集促進NO?-N生成,反硝化菌減少削弱NO?-N去除,說明疏??赡芨淖兊h路徑。
五、研究結論
本研究主要結論如下:
疏浚有效減少氮釋放:疏浚通過移除富氮表層沉積物,顯著降低NH?-N通量(78.2%),但對NO?-N和NO?-N通量影響較小,甚至可能因氧化條件增強而增加。
機制多維度:氮通量變化由沉積物性質(如有機質減少)、氮形態穩定性(惰性氮增加)和微生物群落(硝化增強、反硝化減弱)共同驅動。
管理啟示:疏??勺鳛榭刂苾仍吹廴镜挠行侄危杈杵淇赡芟魅醴聪趸饔?,長期需結合其他措施以維持氮平衡。
六、丹麥Unisense電極測量數據的詳細研究意義
本研究中使用丹麥Unisense微電極測量的數據具有關鍵研究意義:
高分辨率氧化還原梯度量化:Unisense微電極以毫米級垂直分辨率實時測量了沉積物-水界面的DO、pH和Eh剖面(Fig. 2)。數據顯示疏浚后DO滲透深度從2 mm增至8 mm,Eh值升高,直接證實疏浚創造了更氧化的環境。這種高精度測量避免了傳統取樣擾動,為理解氮形態轉化(如NH?-N氧化為NO?-N)提供了物理化學基礎。
關聯環境條件與氮轉化:DO和Eh剖面與氮通量顯著相關(如DO升高對應NO?-N增加),揭示了氧化還原電位對硝化/反硝化平衡的調控作用。例如,疏浚點深層氧滲透可能抑制反硝化,導致NO?-N積累,解釋了通量數據中的矛盾現象。
支持機制闡釋:微電極數據與微生物結果耦合(如Nitrospira富集),證實氧化條件促進硝化過程,而反硝化菌減少與缺氧微環境喪失一致。這從微尺度驗證了疏浚通過改變氧化還原狀態影響氮循環功能群。
技術優勢與應用價值:Unisense電極的原位連續測量提供了時間動態數據,彌補了月度取樣的不足。在管理層面,這些數據可用于優化疏浚深度(如確保氧化層不破壞反硝化區),為湖泊修復提供精準調控參數。
總之,丹麥Unisense電極數據不僅是環境條件的記錄工具,更是連接疏浚工程與氮生物地球化學響應的橋梁,通過量化氧化還原梯度,提升了我們對人為擾動下沉積物氮循環的預測能力。