熱線:021-66110810,66110819
手機:13564362870

熱線:021-66110810,66110819
手機:13564362870
Phosphorus release from coastal sediments: Impacts of the oxidation-reduction potential and sulfide
海岸沉積物磷的釋放氧化還原電位和硫化物的影響
來源:Marine Pollution Bulletin 113 (2016) 176–181
論文總結
一、論文摘要
本研究探討了氧化還原電位(ORP)和硫化物對中國燕鳥河河口沿海沉積物中磷釋放的影響。結果表明,沉積物中磷的主要埋藏相為鐵結合磷(Fe-P)。上覆水中的磷濃度隨ORP降低和硫化物增加而升高,與ORP和硫化物濃度呈顯著線性相關。降低ORP可能提高零平衡磷濃度(EPC0),增強沉積物釋磷能力;而增加硫化物可通過反應或捕獲反應性鐵,降低沉積物對磷的吸附能力,加速磷釋放。因此,控制ORP和硫化物生成對沿海沉積物中磷的“匯-源”轉換至關重要。
二、研究目的
本研究旨在明確ORP和硫化物對沿海沉積物磷釋放的影響機制,具體目標包括:
通過控制ORP條件,探究其對磷釋放的動態影響,并計算零平衡磷濃度(EPC0)以量化沉積物釋磷潛力。
通過添加硫化物,分析其如何通過改變鐵硫循環間接促進磷釋放。
為沿海富營養化治理提供理論依據,強調氧化還原條件調控在磷循環管理中的重要性。
三、研究思路
研究采用野外采樣與室內控制實驗相結合的思路:
采樣設計:從燕鳥河河口(圖1)采集沉積物樣品,該區域受城市污水輸入影響,呈現高有機質和低氧特征。

實驗方法:
ORP依賴性磷釋放實驗:在厭氧條件下,向沉積物-水體系添加不同劑量NaBH4以調控ORP,測量ORP和磷濃度變化(圖2和圖3)。


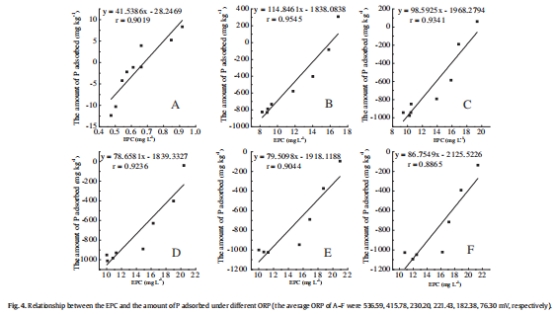
吸附等溫線實驗:通過添加不同濃度磷酸鹽,計算不同ORP下的EPC0(圖4和圖5)。


硫化物添加實驗:添加不同濃度Na2S,分析硫化物對磷釋放及Fe2+溶出的影響(圖7)。

分析技術:使用Unisense電極測量ORP和溶解氧(DO),采用SEDEX順序提取法分析沉積物磷組分(圖6),并通過線性回歸驗證相關性。

四、測量數據及研究意義
本研究測量了多類數據,其來源和意義如下:
環境背景數據(來自表1和表2):


數據:河水化學需氧量(CODc)平均達753.70 mg L?1,遠超V類水標準(40 mg L?1),沉積物總有機碳(TOC)為7.67%,總鐵含量為9361 mg kg?1。
研究意義:這些數據揭示了燕鳥河受污水輸入嚴重污染的高有機負荷特征,為后續實驗提供了高還原潛力的沉積物背景。鐵含量高表明鐵磷耦合反應可能是磷循環的關鍵。
ORP與磷釋放關系數據(來自圖2和圖3):
數據:初始ORP為272 mV時,磷濃度為0.42 mg L?1;添加NaBH4后,ORP降至76 mV,磷濃度顯著上升。ORP與磷濃度呈負相關(r = -0.8934, p < 0.05)。
研究意義:直接證明了還原條件促進磷釋放,ORP每降低100 mV,磷釋放量增加約0.5 mg L?1。這支持了厭氧環境下鐵氧化物還原溶解導致磷活化的經典理論。
EPC0與ORP的關聯數據(來自圖4和圖5):
數據:ORP從536 mV降至76 mV時,EPC0從0.68 mg L?1升至24.50 mg L?1(表3)。

研究意義:EPC0升高表明沉積物從“磷匯”轉向“磷源”,為預測富營養化風險提供了量化指標。在低ORP下,沉積物釋磷傾向增強,易引發水體藻華。
磷組分分布數據(來自圖6):
數據:Fe-P是主要磷組分(1092.29 mg kg?1),占總磷的57.6%,而有機磷(Or-P)僅占9.4%。
研究意義:Fe-P的主導地位說明鐵還原是磷釋放的主要途徑;Or-P占比低表明有機磷礦化作用較弱,突出了無機磷循環的主導性。
硫化物影響數據(來自圖7):
數據:硫化物添加量從0增至30 mg L?1時,磷濃度從0.66 mg L?1上升,與硫化物濃度線性相關(r = 0.9916);同時ORP下降,Fe2+濃度升高。
研究意義:硫化物通過還原Fe(III)為Fe(II),消耗反應性鐵吸附位點,間接促進磷釋放。這揭示了硫-鐵-磷耦合循環在厭氧環境中的關鍵作用。
五、研究結論
本研究主要結論如下:
Fe-P是磷主要載體:在燕鳥河河口沉積物中,鐵結合磷是磷的主要存在形式,對氧化還原條件敏感。
ORP控制磷釋放:ORP降低顯著提高EPC0,增強沉積物釋磷能力,證實還原條件是沿海富營養化的關鍵驅動因子。
硫化物間接促進釋磷:硫化物通過改變鐵形態減少磷吸附位點,加速磷向上覆水遷移。
管理啟示:控制沉積物ORP和硫化物生成(如通過增氧或限制硫酸鹽輸入)是抑制磷釋放、管理沿海水體營養狀態的有效策略。
六、丹麥Unisense電極測量數據的研究意義
本研究使用丹麥Unisense微電極測量氧化還原電位(ORP)和溶解氧(DO),其數據具有重要研究意義:
高精度量化氧化還原梯度:Unisense電極以毫伏(mV)級分辨率實時監測ORP變化(如圖2和圖3),準確捕捉了NaBH4添加后體系的還原強度。例如,ORP從272 mV降至76 mV的動態過程,直接關聯了化學還原劑劑量與磷釋放量,避免了傳統化學分析的時間滯后誤差。
揭示環境閾值:通過ORP與磷濃度的線性模型(圖3),Unisense數據明確了磷釋放的ORP臨界點(約150 mV)。當ORP低于此值時,沉積物從“匯”轉為“源”,為沿海管理提供了可操作的監測閾值。例如,在河口修復中,可通過維持ORP > 150 mV以抑制磷釋放。
支持機制解析:電極數據與Fe2+測量結合(圖7),驗證了“ORP降低→鐵還原→磷溶解”的因果鏈。Unisense的高空間分辨率(毫米級)還可用于未來微環境研究,如沉積物-水界面氧化層的精細刻畫。
環境應用價值:Unisense電極的現場適用性使其成為沿海缺氧區監測的理想工具。本研究數據可直接應用于富營養化模型,預測營養鹽釋放對水文變化的響應,為生態修復提供技術支撐。
總之,Unisense電極不僅提供了ORP的可靠量化,還通過關聯磷循環關鍵過程,凸顯了氧化還原調控在沿海環境管理中的核心地位。