熱線:021-66110810,66110819
手機:13564362870

熱線:021-66110810,66110819
手機:13564362870
Bacterial and macrofaunal communities in the sediments of the West Gironde Mud Patch, Bay of Biscay (France)
法國比斯開灣泥地沉積物中細菌和大型動物群落
來源:Estuarine, Coastal and Shelf Science 179 (2016) 189-200
論文總結
一、論文摘要
本研究調查了法國比斯開灣西吉倫特泥灘(West Gironde Mud Patch, WGMP)沉積物中細菌和大型底棲動物群落的變化。研究沿內-外斷面(NE-SW方向)設置了三個站點(E:內部、C:中心、W:外部),于2010年7月進行采樣。結果顯示,除站點E表層存在沙層外,所有站點沉積物均以泥質為主,且站點C和W的沉積物更粗、富含光合色素和顆粒有機碳氮。站點E的氧滲透深度最淺,原核細胞豐度最低,細菌群落組成與站點C和W差異顯著。相反,大型底棲動物豐度和物種豐富度從站點E到W單調遞減,群落組成在站點E與站點C/W之間明顯不同。研究未發現細菌與大型底棲動物群落組成間的整體相關性,這可能與采樣設計限制有關。這些結果支持了沉積過程的空間異質性以及主要河流對底棲生物的長期影響范式。
二、研究目的
本研究的主要目的是:
揭示環境梯度對群落結構的影響:通過沿WGMP內-外斷面采樣,探究沉積物特征、細菌群落和大型底棲動物群落的同步變化,評估其如何支持當前關于河流輸入對海岸沉積物生物地球化學過程的范式。
驗證群落間的相互作用:假設生物擾動介導的細菌-大型底棲動物相互作用會導致兩者群落分布模式相關聯,從而檢驗其在有機質礦化等關鍵過程中的作用。
填補現場研究空白:此前研究多集中于實驗室尺度,本研究首次在自然環境中同步評估細菌和大型底棲動物群落的響應,為海岸生態系統管理提供基礎數據。
三、研究思路
研究采用空間梯度調查與多參數整合分析相結合的思路:
采樣設計:沿WGMP的NE-SW斷面選擇三個站點(E、C、W),代表從近岸(受吉倫特河口輸入影響)到遠岸的梯度。使用多管取樣器采集沉積物巖心,確保沉積物-水界面無損。
多維度測量:
沉積物物理化學特性:分析粒度(D50)、有機碳(POC)、有機氮(PON)、葉綠素a、脫鎂葉綠素a等,評估沉積物組成和有機質分布。
氧微剖面測量:使用丹麥Unisense氧微電極測定溶解氧垂直分布,計算氧滲透深度(OPD),以表征氧化還原條件。
微生物群落:通過流式細胞術計數原核細胞豐度,利用ARISA(自動核糖體基因間隔區分析)技術解析細菌群落組成。
大型底棲動物:通過哈蒙抓斗采樣,鑒定物種、計算豐度、生物量、物種豐富度和多樣性指數。
統計分析:使用PERMANOVA檢驗站點間差異,Bray-Curtis相似性分析群落組成,Mantel檢驗評估細菌與大型底棲動物群落的相關性。
四、測量數據及研究意義(注明來源)
本研究測量了多類數據,其來源和意義如下:
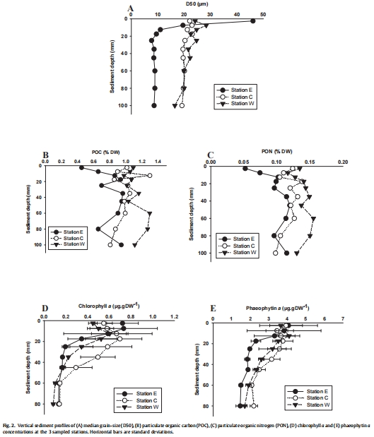
沉積物物理化學特性(來自圖2):

數據:包括粒度(D50)、顆粒有機碳(POC)、顆粒有機氮(PON)、葉綠素a和脫鎂葉綠素a的垂直剖面。站點E表層D50較粗(19-46 μm),POC和PON較低(0.44-0.65% DW),而站點C和W的D50更均勻(18-28 μm),POC和PON較高(可達1.29% DW)。
研究意義:這些數據揭示了沉積物來源的空間分異:站點E受強水動力影響,以砂質沉積為主;站點C和W則接收河口細顆粒輸入,有機質富集。這驗證了WGMP中“內部水動力主導-外部河口輸入”的沉積范式,為解釋生物群落差異提供了環境背景。
氧滲透深度(OPD)(來自圖3,通過Unisense微電極測量):

數據:站點E的OPD最淺(2.9 ± 0.1 mm),站點C和W的OPD較深(3.9 ± 0.8 mm和3.7 ± 0.1 mm)。
研究意義:OPD的差異直接反映了沉積物的氧化狀態。站點E的淺OPD表明其表層氧化層薄,可能與高有機質礦化速率或強水動力擾動相關;而站點C和W的深OPD指示更穩定的氧化環境,支持了河口有機質輸入增強微生物活性的假設。
微生物群落數據:
原核細胞豐度(來自圖4):從站點E到W,豐度遞增(站點E:1.1 × 10^7 cells gDW?1,站點W:2.0 × 10^7 cells gDW?1)。

細菌群落組成(來自圖5):基于Bray-Curtis相似性的nMDS圖顯示,站點E的群落異質性高(相似性38%),而站點C和W更均質(相似性59-61%)。

研究意義:細菌豐度和組成與有機質含量正相關,說明沉積物有機質是調控微生物群落的關鍵因子。站點E的低豐度和高異質性可能源于水動力擾動,而站點C/W的均質化反映了河口輸入的統一影響。
大型底棲動物數據(來自圖6和表1):


數據:大型底棲動物豐度從站點E(407 ± 69 ind. 0.25 m?2)向站點W(29.7 ± 3.8 ind. 0.25 m?2)遞減,物種豐富度同步下降。群落組成在站點E以雙殼類(如Kurtiella bidentata)為主,站點C/W以多毛類為主。
研究意義:豐度梯度支持了“河流近端受沉積擾動抑制生物,遠端因有機富集促進生物”的范式。站點E的高豐度與砂質底質適應種相關,而站點C/W的群落變化體現了有機質輸入的生境過濾作用。
五、研究結論
本研究得出以下核心結論:
沉積環境驅動群落分異:WGMP的內-外梯度顯著影響沉積物特性,站點E以水動力主導的砂質沉積為特征,站點C和W則受河口細顆粒輸入影響,有機質富集。
細菌與大型底棲動物響應相反:細菌豐度和多樣性向海方向增加,與有機質含量正相關;而大型底棲動物豐度和豐富度向海遞減,受沉積穩定性和食物可用性調控。
群落間無顯著相關性:Mantel檢驗未發現細菌與大型底棲動物群落組成的關聯,可能因采樣尺度不匹配或環境因子主導了各自群落的組裝。
生態啟示:結果強調了在河口前沿生態系統中,物理沉積過程對底棲群落的塑造作用強于生物相互作用,需在海岸管理中考量空間異質性。
六、丹麥Unisense電極測量數據的詳細解讀
本研究使用丹麥Unisense氧微電極測量沉積物氧微剖面,所獲數據(圖3)具有重要研究意義:
技術原理:Unisense微電極是一種Clark型傳感器,可在亞毫米分辨率下原位測量溶解氧濃度。本研究通過垂直剖面測量(以100 μm深度間隔),確定了氧滲透深度(OPD),即氧氣濃度降至檢測限以下的深度。
數據解讀:OPD在站點E最淺(2.9 mm),站點C和W較深(3.9 mm和3.7 mm)。這種空間差異直接反映了沉積物的氧化還原狀態。站點E的淺OPD表明其表層沉積物氧化層薄,可能由于兩種機制:(1)強水動力擾動導致沉積物再懸浮,增加了有機質礦化耗氧;(2)站點E靠近河口,接受新鮮有機質輸入,刺激了微生物呼吸耗氧。相反,站點C和W的深OPD指示更穩定的氧化環境,這與河口細顆粒沉積造成的低擾動一致。
研究意義:
指示微生物活動熱點:淺OPD(如站點E)常與高有機質礦化速率相關,暗示這些區域是碳循環的“熱點”。結合細菌豐度數據(站點E較低),可推斷強耗氧可能限制了好氧菌的豐度,但促進了厭氧過程(如硫酸鹽還原)。
關聯生物擾動潛力:OPD與大型底棲動物數據結合分析顯示,站點C和W的深OPD與多毛類等生物擾動者豐富相關,支持了生物灌溉可增強氧氣滲透的經典理論。然而,站點E雖OPD淺,但大型底棲動物豐度高,說明水動力可能掩蓋了生物擾動效應。
環境診斷價值:Unisense微電極提供的高分辨率OPD數據,是評估沉積物健康狀況的關鍵指標。在本研究中,OPD梯度驗證了WGMP作為“河口過濾帶”的功能,其中站點E充當高擾動區,而站點C/W為有機質埋藏區。
技術優勢:相較于傳統分層取樣,Unisense電極實現了無損、原位、高頻測量,避免了樣品氧化擾動,從而準確捕捉了界面過程的微觀異質性。這對于理解沉積物-水界面通量至關重要。
總之,Unisense電極數據不僅量化了氧化還原梯度,還揭示了物理-生物耦合機制如何調控海岸沉積物生態系統功能,為后續生物地球化學建模提供了關鍵參數。