熱線:021-66110810,66110819
手機:13564362870

熱線:021-66110810,66110819
手機:13564362870
Influence of sediment resuspension on the efficacy of geoengineering materials in the control of internal phosphorous loading from shallow eutrophic lakes
沉積物再懸浮對地球工程材料用于控制淺層富營養化湖泊內磷負荷效果的影響
來源:Environmental Pollution 219 (2016) 568-579
論文總結
一、論文摘要
本研究探討了沉積物再懸浮對兩種地球工程材料(Phoslock®,一種鑭改性膨潤土;和熱改性鈣基凹凸棒石)控制淺水富營養化湖泊內源磷負荷效果的影響。通過使用一種可模擬不同風速(中等風速5.1 m/s,強風速8.7 m/s)的沉積物再懸浮發生系統(Y形裝置),研究人員評估了在沉積物再懸浮條件下,這兩種材料對沉積物穩定性、上覆水磷濃度、沉積物-水界面磷通量以及沉積物磷形態的影響。研究結果表明,添加地球工程材料能夠增強表層沉積物的穩定性,減少風蝕深度。兩種材料均能有效降低上覆水中的可溶性反應磷(SRP)濃度,其中Phoslock®的效果通常最佳。然而,它們的效率隨著沉積物再懸浮發生次數的增加而有所下降。添加材料還能有效降低沉積物-水界面的磷通量,并減少沉積物在再懸浮期間向孔隙水補充磷的能力。此外,處理后的沉積物中活性磷組分減少,而鈣結合態磷和殘渣態磷的比例增加,這有利于湖泊內源磷的長期管理。所有結果均表明,所研究的地球工程材料適用于存在頻繁沉積物再懸浮活動的淺水富營養化湖泊。
二、研究目的
本研究旨在評估在模擬沉積物再懸浮的動態條件下,兩種常見的地球工程材料(Phoslock® 和熱改性鈣基凹凸棒石)控制沉積物內源磷釋放的有效性和穩定性。具體目的包括:
評估材料穩定性:探究材料添加后,沉積物在風浪作用下的抗侵蝕能力(如侵蝕深度)變化。
量化控磷效率:測量再懸浮過程中,材料處理對上覆水磷濃度和沉積物-水界面磷通量的控制效果。
揭示作用機制:分析材料添加如何改變沉積物中磷的形態分布,從而闡明其長期控磷的潛力。
比較應用方式:對比熱改性鈣基凹凸棒石兩種應用方式(表層覆蓋與 與沉積物混合)的控磷效果差異。
三、研究思路
研究采用了受控的實驗室模擬與多指標協同分析相結合的系統思路:
實驗材料與設計:從太湖和巢湖采集沉積物柱芯,并制備兩種地球工程材料(Phoslock® 和熱改性鈣基凹凸棒石,記為NCAP700)。在實驗室中,設置對照組(無材料添加)和處理組(分別添加Phoslock®、NCAP700覆蓋、NCAP700混合)。
模擬再懸浮事件:使用Y形實驗裝置(圖1)模擬中等風速和強風速條件,并重復進行三次再懸浮-沉降循環實驗,以模擬頻繁的風浪擾動。

多參數實時監測:在再懸浮過程中,定期采集不同水層樣品,分析懸浮固體(SS)濃度和可溶性反應磷(SRP)濃度,并計算其通量。
沉積物特性分析:實驗結束后,分析沉積物的侵蝕深度、磷的化學形態(活性磷、鐵鋁結合磷、鈣結合磷、有機磷、殘渣磷等)。
高分辨率剖面測量:在實驗初期,使用高分辨率孔隙水平衡儀(HR-Peeper)和薄膜擴散梯度技術(DGT)獲取沉積物孔隙水SRP和活性磷的垂向剖面。
數據對比與建模:通過對比不同處理組的數據,評估材料效果,并利用DGT誘導通量模型(DIFS)分析沉積物固體磷的再補給動力學。
四、測量數據及研究意義(注明來源)
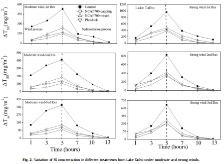
懸浮固體(SS)濃度與沉積物侵蝕深度(來自圖2、圖3、圖4):



數據:與對照組相比,所有材料處理組均顯著降低了上覆水中的SS濃度和沉積物的侵蝕深度。其中,NCAP700覆蓋處理的SS濃度和侵蝕深度最低,表明其穩定沉積物表面的效果最好。強風條件下的SS濃度和侵蝕深度均高于中等風力條件。
研究意義:這些數據直接證明,添加地球工程材料可以增強沉積物表面的物理穩定性,減少再懸浮帶來的顆粒物釋放,從而有助于降低水體濁度。這對于改善淺水湖泊的光照條件、促進沉水植物恢復具有積極意義。
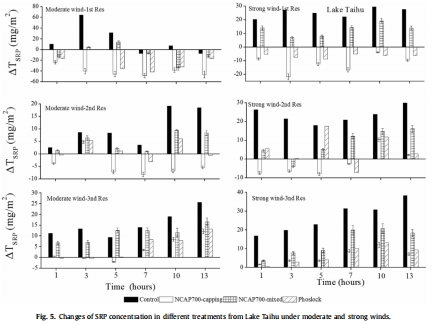
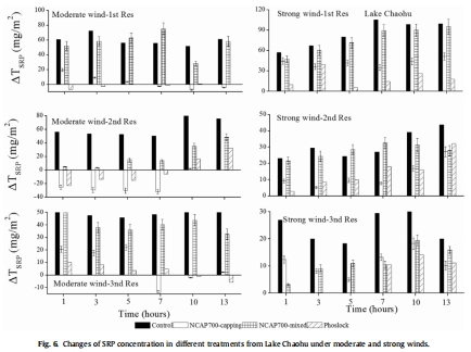
上覆水可溶性反應磷(SRP)濃度與通量(來自圖5、圖6、圖7):



數據:在整個再懸浮過程中,對照組的上覆水SRP濃度和沉積物-水界面磷通量始終最高。所有材料處理組均能有效降低SRP濃度和磷通量,效果依次為:Phoslock® ≈ NCAP700覆蓋 > NCAP700混合 > 對照組。但隨著再懸浮次數增加,所有處理組的控磷效率均有下降趨勢。
研究意義:這表明地球工程材料在動態水文條件下依然能有效抑制內源磷的釋放。Phoslock®和NCAP700覆蓋法的優異表現,可能是因為材料能更充分地與上覆水接觸,快速吸附釋放出的磷。效率隨次數下降則提示,在野外應用中可能需要考慮補充投加或優化施用以維持長期效果。
沉積物磷形態轉化(來自圖9和正文圖S10):

數據:經材料處理后,沉積物中的活性磷(Pmobile)含量顯著降低,而鈣結合磷(Ca-P)和殘渣磷(Res-P)等穩定形態磷的比例顯著增加。Phoslock®在表層(0-2厘米)沉積物中的Pmobile降低效果最明顯。
研究意義:這是最關鍵機制性證據。它表明地球工程材料不僅短期吸附磷,更能促進磷向化學性質穩定、難以釋放的形態轉化。這種轉化對于實現內源磷的長期、根本性控制至關重要,降低了沉積物作為“磷庫”的潛在風險。
沉積物磷的再補給能力(來自正文圖S8及DIFS模型分析):
數據:DGT測量顯示,材料處理組沉積物中的活性磷濃度顯著低于對照組。DIFS模型分析進一步表明,處理組沉積物固體磷的解吸響應時間(Tc)更短,解吸速率(Kd)更高,但其再補給比率(R,CDGT/CPW)在表層沉積物中低于對照組。
研究意義:從動力學角度證實,材料處理不僅降低了沉積物中活性磷的“庫存量”,還改變了其“活動性”,使得沉積物固體在磷被消耗后補充孔隙水磷的能力減弱。這解釋了為什么材料能持續降低磷向上覆水的釋放通量。
五、研究結論
本研究得出以下核心結論:
地球工程材料能增強沉積物穩定性:在模擬風浪擾動下,Phoslock®和熱改性鈣基凹凸棒石均能提高沉積物的抗侵蝕能力,其中以NCAP700直接覆蓋在沉積物表面的效果最為顯著。
材料能有效控制內源磷釋放:兩種材料均能顯著降低再懸浮期間上覆水的SRP濃度和沉積物-水界面的磷釋放通量,Phoslock®的整體表現略優于NCAP700。
應用方式影響控磷效果:對于熱改性鈣基凹凸棒石,直接覆蓋在沉積物表面的控磷效果優于與表層沉積物混合的應用方式。
材料促進磷的穩定化:地球工程材料通過將沉積物中的活性磷轉化為穩定的鈣結合磷和殘渣磷,實現了對內源磷的長效控制。
適用于動態環境:盡管效率會隨頻繁擾動略有下降,但研究證明這兩種地球工程材料適用于存在沉積物再懸浮的淺水富營養化湖泊,為實際應用提供了科學依據。
六、使用丹麥Unisense電極測量數據的研究意義(詳細解讀)
在本研究中,丹麥Unisense微電極系統被用于高分辨率(100微米)測量沉積物-水界面(SWI)附近的溶解氧(DO)剖面(參考正文圖S2)。盡管在結果部分未作為重點展示,但這項測量提供了至關重要的環境背景信息,其研究意義深遠:
界定關鍵的氧化還原微環境:Unisense氧微電極能夠精確描繪出溶解氧在沉積物中急劇衰減的梯度。測量結果顯示,氧氣僅能滲透到沉積物表層約2毫米的深度,隨后環境迅速轉變為厭氧狀態。這一定量數據精確標定了好氧/厭氧過渡帶的位置,而該界面是控制磷、鐵等元素地球化學行為(如鐵氧化物的溶解與沉淀)的核心區域。
為解釋磷釋放機制提供基礎:在厭氧條件下,沉積物中的鐵(羥基)氧化物會發生還原性溶解,同時釋放其表面吸附或共沉淀的磷。Unisense數據提供的缺氧環境證據,是理解淺水湖泊沉積物為何會成為內源磷“源”的理論基石。它表明,在沉積物主體中,存在著驅動磷釋放的強還原條件。
輔助評估地球工程材料的潛在作用機制:雖然本研究未直接報道材料添加后氧剖面的變化,但此類測量通常可用于推斷材料的間接影響。例如,如果某種材料能改變沉積物的物理結構或微生物活動,從而影響氧的消耗和滲透,那么Unisense電極就能捕捉到這種微觀環境的變化。這對于全面理解材料如何通過改變氧化還原條件來間接影響磷的固定(如促進鐵氧化物對磷的吸附)至關重要。
支撐整個實驗系統的生態真實性:獲取與原位環境相符的氧剖面數據,驗證了實驗室模擬系統(如Y形裝置中的沉積物柱)維持了關鍵的化學梯度。這確保了后續關于磷動態的所有觀測(如SRP釋放)是在貼近實際的、具有化學層次的環境中發生的,從而增強了研究結果的可靠性和外推價值。
綜上所述,丹麥Unisense氧微電極的測量數據在本研究中扮演了 “環境診斷師”的角色。它通過提供高精度的原位氧化還原信息,為理解沉積物中磷的生物地球化學循環設定了準確的物理化學背景。沒有對沉積物氧環境的準確認知,就無法深入理解磷釋放的內在驅動因素,也無法全面評估地球工程材料在復雜環境中的真實效能。