熱線:021-66110810,66110819
手機:13564362870

熱線:021-66110810,66110819
手機:13564362870
Energetics of acclimation to NaCl by submerged, anoxic rice seedlings
淹沒、缺氧水稻幼苗對NaCl適應的能量學
來源:Annals of Botany, 2017, Volume 119, Pages 129-142
《植物學年鑒》,2017年,第119卷,129-142頁
摘要
摘要闡述了研究旨在闡明植物組織在嚴重能量危機下如何應對高NaCl脅迫,高NaCl會增加離子通量從而增加能量需求。通過評估結合鹽度和缺氧條件下的離子調節能量需求,以深入了解耐缺氧水稻胚芽鞘中的離子運輸過程。研究發現,在缺氧條件下,完整幼苗的胚芽鞘在100 mM NaCl下仍能生長,但外植胚芽鞘僅在50 mM NaCl下存活,可能因為葡萄糖作為底物時能量產生低于完整胚芽鞘使用蔗糖。缺氧條件下胚芽鞘的Na+和Cl-凈吸收速率約為通氣條件下的一半。在50 mM NaCl下,缺氧時的乙醇形成和通氣溶液中的O2消耗各增加13-15%,表明ATP形成被刺激。適應50 mM NaCl時,缺氧組織僅消耗通氣組織所耗能量的25%。將胚芽鞘返回通氣非鹽水溶液后,凈K+吸收速率恢復至持續通氣溶液的水平,表明在50 mM NaCl缺氧期間損傷很小。結論是水稻幼苗能在缺氧下存活,即使NaCl施加額外能量需求(完整幼苗100 mM,外植胚芽鞘50 mM),通過減少胚芽鞘生長、降低離子通量以及能量經濟型離子運輸系統實現節能。
研究目的
研究目的是闡明植物組織在嚴重能量危機下(如缺氧)應對高NaCl脅迫的機制,評估結合鹽度和缺氧條件下的離子調節能量需求,以深入了解耐缺氧水稻胚芽鞘中的離子運輸過程。具體包括評估NaCl對組織離子和生長的影響、能量生產與需求平衡,以及可能的能量高效運輸機制。
研究思路
研究思路包括使用水稻品種'Amaroo',通過一系列實驗(實驗1-5)對比完整幼苗和外植胚芽鞘在缺氧和通氣條件下對50或100 mM NaCl的響應。實驗設計包括:對完整幼苗和外植胚芽鞘進行缺氧預處理(缺氧前36小時通氣,然后30小時低氧),隨后施加NaCl處理;測量生長、組織離子濃度(Na+、K+、Cl-)、組織滲透勢、乙醇形成、O2消耗等參數;通過能量預算分析比較缺氧和通氣條件下的ATP生產和消耗;評估恢復能力以確認損傷程度。數據通過統計方法(如ANOVA)分析,以揭示離子通量和能量平衡的機制。
測量的數據及研究意義
1. 生長數據:測量胚芽鞘鮮重增量,顯示在缺氧條件下,50 mM NaCl使完整幼苗生長減少15%,100 mM NaCl減少40%;外植胚芽鞘在50 mM NaCl下生長減少75%,100 mM NaCl下致命損傷。數據來自FIG.1。研究意義是表明NaCl脅迫加劇缺氧能量危機,生長減少可能為節能以適應脅迫,揭示物種耐受性差異。

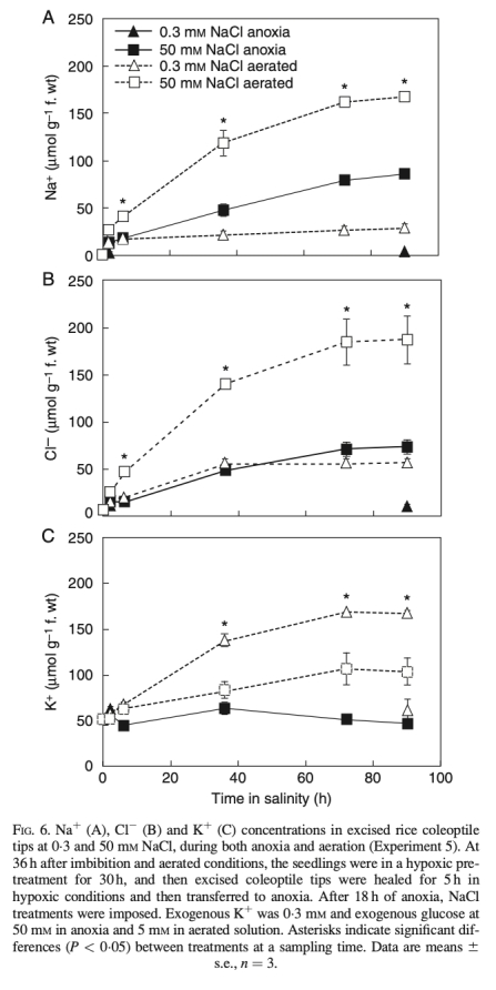
2. 組織離子濃度:測量Na+、K+、Cl-濃度(組織水基),顯示在缺氧條件下,Na+和Cl-濃度隨時間增加,K+濃度下降;外植胚芽鞘在50 mM NaCl下離子通量低于通氣條件。數據來自FIG.5、FIG.6和TABLE 3。研究意義是量化離子調節效率,表明缺氧條件下離子通量降低以節能,支持能量經濟型運輸的假設。



3. 能量生產數據:測量乙醇形成速率(缺氧)和O2消耗速率(通氣),顯示在50 mM NaCl下,乙醇形成增加12%,O2消耗增加13-15%。數據來自FIG.4。研究意義是直接評估能量代謝,證明NaCl刺激ATP生產以應對額外需求,但缺氧條件下增加幅度小,提示能量高效利用。

4. 組織滲透勢和膨壓:測量組織滲透勢和計算膨壓,顯示在NaCl脅迫下膨壓下降。數據來自TABLE 2。研究意義是反映滲透調節成本,膨壓降低可能為節能適應,但需維持細胞完整性。

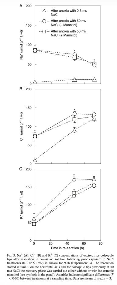
5. 恢復數據:測量再通氣后凈K+吸收,顯示快速恢復,表明損傷小。數據來自FIG.2和FIG.3。研究意義是確認組織耐受性,缺氧NaCl脅迫未導致永久損傷,支持能量平衡機制的有效性。


結論
1. 水稻幼苗胚芽鞘能耐受缺氧結合高NaCl(完整幼苗100 mM,外植胚芽鞘50 mM),通過減少生長、降低離子通量和能量經濟型運輸系統實現節能。
2. 缺氧條件下,能量生產可被NaCl刺激(如乙醇形成增加),但增加幅度遠低于通氣條件,表明缺氧組織更高效利用能量。
3. 離子通量在缺氧條件下降低,可能通過能量高效運輸器(如低耦合比的H+泵)和膜通透性降低實現,避免能量危機加劇。
4. 恢復實驗顯示組織損傷小,證實缺氧NaCl脅迫下細胞功能可快速恢復,強調能量平衡的關鍵作用。
使用丹麥Unisense電極測量數據的研究意義
使用丹麥Unisense電極(如Clark型O2微型電極OX-500)測量溶解O2濃度,用于評估通氣條件下外植胚芽鞘的O2消耗速率。研究意義在于:該電極提供高精度、實時O2數據,使能量化呼吸代謝速率。例如,在實驗5中,電極測量顯示在50 mM NaCl下O2消耗增加13-15%(FIG.4B),表明ATP生產被刺激以應對離子調節能量需求。這直接證明了NaCl脅迫增加能量需求,而Unisense電極的高靈敏度允許檢測微小變化,支持能量預算分析。此外,電極數據與乙醇形成對比,揭示通氣和缺氧條件下能量代謝差異,突顯缺氧組織的高效性。總體,Unisense電極數據為理解能量危機下的離子運輸機制提供了關鍵實證,強調其在植物生理研究中的重要性。