熱線:021-66110810,66110819
手機:13564362870

熱線:021-66110810,66110819
手機:13564362870
Measurement of oxygen tension within mesenchymal stem cell spheroids
間充質干細胞球體內氧張力的測量
來源:Journal of the Royal Society Interface, Volume 14, 2017, article number 20160851
《皇家學會界面雜志》,第14卷,2017年,文章編號20160851
摘要:
這篇論文研究了間充質干細胞(MSC)球體內氧張力的分布。MSC球體在細胞治療中具有提高細胞存活和營養因子分泌的優勢,但作用機制尚不明確。許多人假設球體形成會在大直徑球體內產生缺氧核心,從而增強細胞功能。本研究通過測量不同直徑球體的氧張力,并關聯細胞功能,發現氧張力梯度變化小,無缺氧核心,細胞代謝隨球體大小增加而減少。這表明MSC球體的增強功能并非由氧介導。
研究目的:
本研究的目的是評估MSC球體內的氧張力分布,以確定是否存在缺氧核心,并隨后將細胞存活與氧可用性關聯起來。研究旨在通過實驗測量氧張力,驗證數學模型,并探討球體大小對細胞功能的影響。
研究思路:
研究采用人骨髓來源的MSC,使用懸滴技術形成不同大小的球體(15000、30000、60000細胞/球體)。通過Unisense氧微傳感器實時測量球體內的氧張力,結合數學模型分析氧梯度。同時,測量細胞活力、代謝參數(如葡萄糖消耗、乳酸生產)、包裝密度、細胞凋亡等,并通過組織學分析驗證結果。數據用于數值模擬氧分布,并關聯球體大小與細胞功能。
測量的數據及研究意義:
1. 氧張力測量數據:使用Unisense微傳感器測量球體內不同徑向位置的氧張力,顯示氧梯度隨球體大小增加但變化小,最大球體內氧張力僅降低不到10%。研究意義在于直接驗證了MSC球體無缺氧核心,挑戰了傳統假設,為球體功能機制提供新見解。數據來自圖1d、1e、1g。

2. 包裝密度數據:計算球體包裝密度,發現隨球體大小增加而減少,較大球體包裝更松散。研究意義在于揭示球體通過降低包裝密度來促進氧和營養擴散,避免缺氧核心形成,這解釋了為什么大球體仍能維持細胞功能。數據來自圖2a、2b。

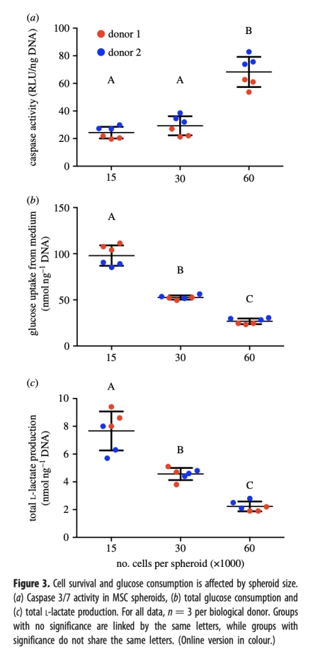
3. 細胞代謝數據:測量葡萄糖消耗和乳酸生產,顯示隨球體大小增加,葡萄糖消耗顯著減少,但乳酸-葡萄糖比率不變。研究意義在于表明球體大小調節葡萄糖攝取,可能影響細胞代謝途徑,提示獨立于氧的調控機制。數據來自圖3b、3c。

4. 細胞活力數據:通過caspase活性測定和活死染色,顯示大球體凋亡增加,但組織學分析無顯著缺氧或凋亡核心。研究意義在于表明細胞凋亡可能與聚集應力相關,而非氧張力,突出了球體形成中其他因素的作用。數據來自圖3a、圖4a、4b。

5. 組織學缺氧檢測數據:使用pimonidazole染色驗證無缺氧區域。研究意義在于支持氧張力測量結果,確認球體在環境條件下無缺氧核心,增強結果可靠性。數據來自圖5。

結論:
1. MSC球體無缺氧核心,氧張力梯度小,表明增強功能并非由缺氧介導。
2. 球體大小增加時,包裝密度減少,促進氧擴散,但細胞代謝降低,可能與細胞-ECM相互作用減少相關。
3. 球體形成調節細胞功能獨立于氧張力,提示其他機制如聚集應力或代謝變化起主要作用。
使用丹麥Unisense電極測量數據的研究意義:
使用丹麥Unisense氧微傳感器測量氧張力數據具有重要研究意義。該電極允許直接、實時測量球體內局部氧張力,提供高空間分辨率的數據,從而準確描述氧梯度。測量結果與數學模型結合,驗證了氧擴散理論,并揭示MSC球體即使在大直徑下也無缺氧核心,這挑戰了基于癌細胞球體的傳統假設。直接測量避免了間接推斷的誤差,增強了實驗的可信度。此外,該數據表明MSC球體通過自適應包裝密度維持氧合,這為組織工程中設計大型細胞構建體提供了指導,強調氧測量在優化細胞治療策略中的關鍵作用。這些發現有助于理解MSC球體的生理機制,并支持其臨床翻譯潛力。