熱線:021-66110810,66110819
手機:13564362870

熱線:021-66110810,66110819
手機:13564362870
Concentration-dependent metabolic effects of metformin in healthy and Fanconi anemia lymphoblast cells
二甲雙胍在健康和范可尼貧血淋巴母細胞中的濃度依賴性代謝效應
來源:Journal of Cellular Physiology, Volume 233, 2017, Pages 1736-1751
《細胞生理學雜志》,第233卷,2017年,第1736-1751頁
摘要
這篇論文摘要討論了二甲雙胍(MET)作為一種常用糖尿病藥物,在體外研究中常使用高濃度(10-100倍于患者血漿濃度)的問題。研究評估了不同濃度MET對細胞生化、代謝和形態的影響,并測試了MET對范可尼貧血(FA)細胞和人類早幼粒白血?。℉L60)細胞系的作用。發現野生型細胞對MET的反應呈濃度依賴性:低濃度(15和150μM)通過AMPK/Sirt1通路增加氧化磷酸化和氧化應激反應,而高濃度(1.5 mM)抑制呼吸鏈、改變細胞形態并產生毒性。在FA細胞中,MET無法糾正能量/呼吸缺陷,也不改善氧化應激和DNA損傷反應。相反,HL60細胞在150μM時即表現出敏感性。結果強調MET濃度在評估細胞代謝效應中的重要性,并表明使用高濃度MET的體外實驗數據不能直接用于理解臨床效應。
研究目的
本研究旨在闡明二甲雙胍(MET)濃度依賴性效應對細胞能量代謝、氧化應激和生化反應通路的影響,使用三個MET濃度(15μM、150μM和1.5 mM),分別對應患者血漿濃度、中間濃度和抑制復合物I的濃度。同時,評估MET對范可尼貧血(FA)細胞(一種存在能量和葡萄糖代謝缺陷的DNA修復遺傳病)和HL60白血病細胞的作用,以探討MET作為潛在治療候選物的可行性。
研究思路
研究思路包括使用野生型、FA和FA校正的淋巴母細胞系以及HL60細胞系,進行體外實驗。細胞用不同濃度MET處理24小時后,通過多種技術評估效應:細胞存活和形態使用流式細胞術和電子顯微鏡;能量代謝通過測量ATP/AMP比、葡萄糖消耗、乳酸產生、氧消耗(使用丹麥Unisense電極)、復合物活性和線粒體質量等;氧化應激通過ROS、MDA、GSH和過氧化氫酶活性檢測;信號通路通過Western blot分析AMPK磷酸化和Sirt1表達;DNA損傷通過彗星試驗和染色體斷裂試驗。數據統計處理,比較濃度差異和細胞類型差異。
測量的數據及研究意義
1 細胞存活和形態數據:MET在1.5 mM時導致野生型細胞死亡約40%,并引起線粒體腫脹和結構改變(圖1a、1b)。研究意義在于證實高濃度MET的細胞毒性,強調濃度選擇在體外實驗中的臨界性,避免誤導性結論。

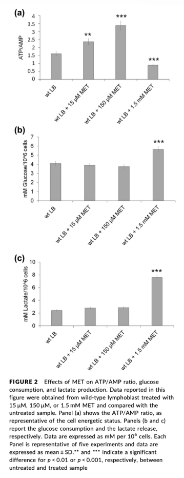
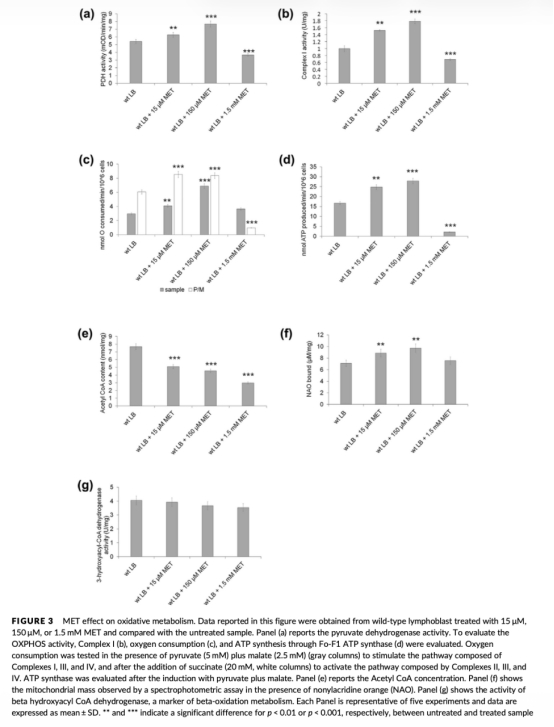
2 能量代謝數據:低濃度MET增加ATP含量和ATP/AMP比(圖2a),增強PDH活性(圖3a)、復合物I活性(圖3b)、氧消耗(圖3c)和ATP合成(圖3d),但不影響葡萄糖消耗和乳酸產生(圖2b、2c);高濃度MET抑制有氧代謝,增加糖酵解(圖2b、2c)。研究意義在于揭示MET濃度依賴性雙向調節有氧代謝,低濃度促進線粒體功能,高濃度誘導糖酵解轉換,為MET的代謝調節機制提供實證。


3 氧化應激數據:低濃度MET增加ROS產生(圖4a)和MDA水平(圖4b),但同時增強過氧化氫酶活性(圖4d)和GSH水平(圖4e);高濃度MET降低氧化應激但不增強抗氧化防御。研究意義在于表明MET誘導的氧化應激與線粒體活性相關,低濃度觸發適應性抗氧化反應,而高濃度直接抑制電子傳遞鏈,影響氧化還原平衡。

4 信號通路數據:低濃度MET激活AMPK磷酸化和增加Sirt1表達(圖5),高濃度僅增加Sirt1表達。研究意義在于確認MET通過AMPK/Sirt1通路調節線粒體生物合成,解釋其濃度依賴性代謝效應。

5 DNA穩定性數據:彗星試驗顯示MET處理未增加DNA鏈斷裂(表1),染色體斷裂試驗在FA細胞中無改善(表3)。研究意義在于表明MET在測試濃度下不引起DNA損傷,但在FA細胞中無法糾正固有DNA修復缺陷,提示其治療局限性。


6 FA細胞特異性數據:MET在FA細胞中雖增加線粒體質量(圖6c),但氧消耗和ATP合成改善有限(圖6e、6f),且不增強抗氧化反應(圖7)。研究意義在于揭示FA細胞線粒體缺陷(復合物I-III異常)削弱MET效益,強調疾病背景對藥物反應的影響。


結論
1 二甲雙胍效應呈濃度依賴性:低濃度(15和150μM)增強有氧代謝和氧化應激反應,通過AMPK/Sirt1通路;高濃度(1.5 mM)抑制呼吸鏈,促進糖酵解,導致細胞毒性。
2 在范可尼貧血細胞中,MET無法有效糾正能量代謝缺陷、氧化應激或DNA損傷反應,因FA細胞存在固有線粒體電子傳遞障礙,限制MET作用。
3 研究強調體外使用高濃度MET的數據不能直接外推至臨床,實際患者血漿濃度(低濃度)更可能通過增強有氧代謝發揮效益,而非抑制效應。
使用丹麥Unisense電極測量數據的研究意義
使用丹麥Unisense電極測量的氧消耗數據具有關鍵研究意義,因為它提供了實時、高精度的線粒體呼吸功能定量評估。Unisense電極基于安培法原理,通過檢測封閉腔室中氧分壓變化計算氧消耗率,直接反映細胞有氧代謝活性。在本研究中,電極數據(如圖3c)顯示低濃度MET增加氧消耗,表明增強氧化磷酸化;而高濃度MET抑制氧消耗,證實呼吸鏈抑制。研究意義包括:首先,電極測量提供了客觀的線粒體功能指標,驗證MET濃度依賴性效應,區分促有氧和抑制性作用。其次,通過添加底物(如丙酮酸/蘋果酸或琥珀酸)和抑制劑(如魚藤酮),電極數據可特異性評估電子傳遞鏈不同通路(復合物I-III-IV vs II-III-IV),揭示MET主要影響復合物I途徑。此外,在FA細胞中,電極顯示氧消耗改善有限,突顯線粒體缺陷對藥物反應的干擾??傮w而言,Unisense電極的應用增強了實驗的可靠性,為MET代謝調節機制提供了直接生理學證據,支持濃度依賴性結論的嚴謹性。