熱線:021-66110810,66110819
手機:13564362870

熱線:021-66110810,66110819
手機:13564362870
Polynitroxylated Pegylated Hemoglobin-A Novel, Small Volume Therapeutic for Traumatic Brain Injury Resuscitation: Comparison to Whole Blood and Dose Response Evaluation
多硝氧基聚乙二醇化血紅蛋白——一種新型小體積創傷性腦損傷復蘇治療劑:與全血比較及劑量反應評估
來源:Journal of Neurotrauma, Volume 34, 2017, Pages 1337-1350
《神經創傷雜志》,第34卷,2017年,第1337-1350頁
摘要
本研究開發并評估了一種新型多硝氧基聚乙二醇化血紅蛋白(PNPH)作為創傷性腦損傷(TBI)合并出血性休克(HS)的小體積復蘇液。通過小鼠模型比較了PNPH與全血和乳酸林格液(LR)的復蘇效果。結果表明,PNPH復蘇能顯著提高平均動脈壓(MAP),降低心率(HR)和顱內壓(ICP),減少腦水腫,并改善酸堿平衡和血鉀水平。PNPH在寬劑量范圍內(2-100 mL/kg)均安全有效,顯著減少了液體需求。研究支持PNPH作為TBI復蘇的潛在治療劑進行進一步臨床前開發。
研究目的
本研究的主要目的是比較PNPH與全血在TBI合并HS復蘇中的急性生理效果,并評估PNPH在寬劑量范圍內的安全性和有效性。具體目標是驗證PNPH是否能改善MAP、HR、腦組織氧分壓(PbtO2)等生理指標,同時減少液體負荷和腦水腫風險。
研究思路
研究思路是通過建立小鼠TBI(控制性皮質沖擊)和HS(平均動脈壓降至25-27 mmHg維持35分鐘)模型,模擬臨床創傷場景。小鼠被隨機分為三組:PNPH復蘇組、全血復蘇組和LR復蘇組。在復蘇后90分鐘(模擬院前階段)和15分鐘(模擬醫院階段,吸入100%氧氣)監測生理參數,包括MAP、HR、PbtO2、血液氣體/化學分析和ICP。在劑量反應實驗中,測試了PNPH從2到100 mL/kg的多個劑量,評估其對ICP和腦水腫的影響。數據通過統計方法(如ANOVA)進行分析,以比較組間差異。
測量的數據及研究意義
1. 平均動脈壓(MAP)和心率(HR)數據:這些數據顯示PNPH復蘇組在院前和醫院階段具有更高的MAP和更低的HR,與全血或LR組相比有顯著差異(p<0.01),如圖2A和2B所示。研究意義:表明PNPH能有效維持血流動力學穩定,減少心臟負荷,提示其作為復蘇液的優越性,可能通過其膠體滲透壓和血管調節作用實現。

2. 腦組織氧分壓(PbtO2)數據:使用丹麥Unisense微電極測量,全血復蘇組在院前階段PbtO2最高,PNPH組次之,但PNPH組PbtO2上升較慢,可能與PNPH初始為一氧化碳血紅蛋白形式有關,如圖2C所示。研究意義:PbtO2直接反映腦氧合狀態,PNPH雖初始氧合較低,但隨時間改善,且能維持氧供,減少了腦缺氧風險,支持其在神經保護中的潛力。
3. 血液氣體和化學分析數據:包括pH、血鉀、血紅蛋白等,PNPH復蘇組有更高的pH和更低的血鉀水平(p<0.05),如圖3和表1所示。研究意義:PNPH能糾正酸中毒和高鉀血癥,改善代謝環境,減少復蘇相關并發癥,如心律失常,凸顯其生物相容性。


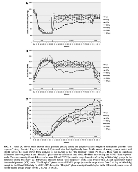
4. 顱內壓(ICP)和腦水腫數據:在劑量反應實驗中,PNPH處理組ICP顯著低于LR組,但腦水腫百分比無組間差異,如圖4C和圖6所示。研究意義:PNPH能有效控制ICP,可能通過減少液體需求和改善微循環,從而降低繼發性腦損傷風險,但高劑量下需注意電解質平衡。


5. 液體需求數據:PNPH復蘇顯著減少了額外液體需求,即使低劑量(2-5 mL/kg)也有效,如圖5所示。研究意義:PNPH作為小體積復蘇液,適用于資源有限環境(如戰場),減少了容量負荷相關副作用,如肺水腫。

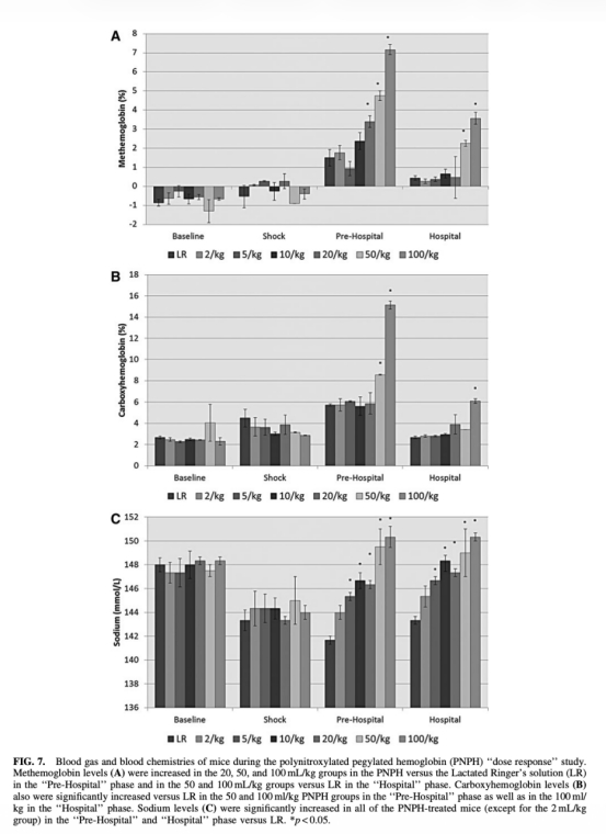
6. 高鐵血紅蛋白和碳氧血紅蛋白數據:隨PNPH劑量增加,這些參數升高,但僅在極高劑量(50-100 mL/kg)有臨床意義,如圖7所示。研究意義:PNPH在治療劑量下安全性良好,但需監控高鐵血紅蛋白水平,以避免氧輸送受損。

結論
1. PNPH復蘇在TBI合并HS模型中優于LR和全血,能顯著改善MAP、HR和ICP,并減少酸中毒和高鉀血癥。
2. PNPH在寬劑量范圍(2-100 mL/kg)內安全有效,顯著降低液體需求,支持其作為小體積復蘇液的臨床轉化潛力。
3. 盡管全血在初始PbtO2方面略優,但PNPH能提供持久的生理穩定,且無嚴重不良反應,表明其是TBI復蘇的有前途候選者。
使用丹麥Unisense電極測量數據的研究意義
在本文中,使用丹麥Unisense氧氣微電極測量腦組織氧分壓(PbtO2)具有關鍵的研究意義。該電極用于實時監測小鼠海馬區的氧分壓,提供了直接、高分辨率的腦氧合數據。研究意義在于:1. 精準評估腦氧合:Unisense電極能檢測微小氧分壓變化(如院前階段PNPH組PbtO2的緩慢上升),揭示了PNPH復蘇的動力學特性,即初始因一氧化碳血紅蛋白形式氧合較低,但隨時間解離而改善,這驗證了PNPH的可控氧釋放機制。2. 比較復蘇效果:通過電極數據,顯示全血復蘇組PbtO2最高,但PNPH組優于LR組,突出了PNPH的氧攜帶能力,為復蘇液選擇提供了生理學依據。3. 支持神經保護:PbtO2是腦損傷預后的關鍵指標,電極測量數據證實PNPH能維持腦氧供,減少了缺氧繼發損傷風險,強化了PNPH在神經保護中的價值。總之,Unisense電極的應用為本研究提供了可靠的腦氧合監測,是評估復蘇效果和機制探索的重要工具。