熱線:021-66110810,66110819
手機:13564362870

熱線:021-66110810,66110819
手機:13564362870
Effects of irrigation and water content of packing materials on a thermophilic biofilter for SO2 removal: Performance, oxygen distribution and microbial population
灌溉和填料含水量對熱生物過濾器去除SO2的影響:性能、氧氣分布和微生物種群
來源:Biochemical Engineering Journal, Volume 118, 2017, Pages 105-112
《生化工程雜志》第118卷,2017年,第105-112頁
摘要
摘要闡述了填料含水量(WCR)是生物過濾器成功處理廢氣的關鍵因素,特別是對于熱生物反應器。通過直接灌溉填料可實現最佳WCR。本研究通過不同灌溉時間調查了熱生物過濾器去除SO2的性能。SO2的去除效率很大程度上受填料含水量的影響,后者隨灌溉時間變化。當WCR>80%時,平均SO2去除效率可達98%。熱生物過濾器需要每日灌溉以維持最佳WCR。氧氣分布隨WCR變化而不同;高WCR的聚氨酯泡沫立方體(PUFCs)提供好氧-低氧-好氧區域。微生物種群也相應變化。對于處理SO2的熱生物過濾器,連續灌溉可實現>80%的最佳WCR。
研究目的
研究目的是確定填料含水量對熱生物過濾器性能的影響,包括SO2去除效率、氧氣分布和微生物種群,并建立高效的灌溉方法以優化熱生物過濾器的運行。
研究思路
研究思路是使用一個熱生物過濾器(60°C),通過改變灌溉間隔時間(從7天到連續灌溉)來模擬不同含水量條件。測量SO2去除效率、填料含水量(WCR)、氧氣分布(使用丹麥Unisense微電極)和微生物種群(通過PCR-DGGE分析)。通過比較不同灌溉策略下的數據,評估WCR對過濾器性能的影響,并確定最佳灌溉方案。
測量的數據及研究意義
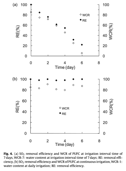
1 SO2去除效率:數據來自圖3和圖4。研究意義是直接評估生物過濾器的性能,顯示WCR對SO2去除的關鍵作用,如WCR>80%時效率超過90%,為優化灌溉頻率提供依據。


2 填料含水量(WCR):數據來自圖4和圖5。研究意義是量化水分變化對過濾器的影響,表明高WCR(>80%)維持高效去除,指導灌溉管理以防止過濾器干燥或過濕。

3 氧氣分布:數據來自圖7(使用Unisense微電極測量)。研究意義是揭示WCR如何影響氧氣梯度,例如高WCR時出現好氧-低氧-好氧區域,幫助理解微生物活動的微環境。

4 微生物種群數量和多樣性:數據來自表2、表3和圖8。研究意義是分析灌溉間隔對微生物群落的影響,如每日灌溉增加兼性厭氧菌比例,說明水分調控可增強微生物活性以提高處理效率。



結論
1 最佳填料含水量(WCR)為>80%,可通過每日灌溉實現,此時SO2去除效率最高(超過98%)。
2 氧氣分布受WCR影響,高WCR導致不均勻的氧氣梯度,促進多種微生物共生;低WCR時氧氣分布均勻但效率下降。
3 微生物種群隨灌溉頻率變化,每日灌溉增加細菌多樣性和兼性厭氧菌比例,優化了生物過濾器的整體性能。
使用丹麥Unisense電極測量數據的研究意義
使用丹麥Unisense電極(OX-10微電極)測量氧氣分布數據的研究意義在于其高精度和實時性,能直接量化填料內部(如PUFCs)的氧氣濃度梯度。例如,從圖7數據顯示,當WCR高(98.08%)時,氧氣濃度從表面到中心逐漸下降,形成好氧-低氧-好氧區域,這揭示了水分如何通過影響氧氣擴散來創造適宜的微生物棲息地。這些測量幫助驗證了高WCR促進SO2生物氧化所需的微環境,避免了厭氧條件導致的效率降低。此外,電極數據為優化灌溉策略提供了實驗證據,確保過濾器在熱條件下維持高效運行,減少了能源消耗和操作成本。