熱線:021-66110810,66110819
手機:13564362870

熱線:021-66110810,66110819
手機:13564362870
An experimental study of pH distributions within an electricity-producing biofilm by using pH microelectrode
使用pH微電極研究產電生物膜內pH分布的實驗研究
來源:Electrochimica Acta, Volume 251, 2017, Pages 187-194
《電化學學報》,第251卷,2017年,第187-194頁
摘要
這篇論文通過使用pH微電極量化了產電生物膜及其濃度邊界層和本體溶液中的空間pH分布,并探索了pH分布與電流密度之間的關系。研究發現,在350微米厚的Geobacter生物膜中,陽極表面附近的pH低至5.57,而本體溶液pH為6.90;生物膜內平均pH隨時間降低;pH變化使循環伏安法的中點電位每pH單位偏移59.0mV;在低緩沖濃度下,陽極表面pH更低。此外,論文還提出了一種通過pH-深度剖面導數估計生物膜厚度的方法。
研究目的
研究目的是量化產電生物膜深度的空間和時間pH分布及變化,探索pH分布與電流密度之間的關系,并理解pH梯度對生物電化學系統性能的影響機制。
研究思路
研究思路包括:使用丹麥Unisense pH微電極實時測量Geobacter生物膜在不同電流密度下的pH分布;通過pH-深度剖面分析生物膜厚度、邊界層和本體溶液的pH變化;結合循環伏安法研究pH對電化學行為的影響;考察緩沖濃度對pH分布的調控作用;最終通過數據推導生物膜內質子傳輸機制。
測量的數據及研究意義
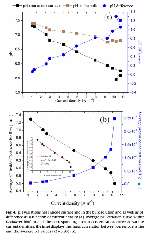
1 pH分布數據:測量了不同電流密度下生物膜內、邊界層和本體溶液的pH-深度剖面。數據顯示,隨著電流密度增加,陽極表面pH從7.33降至5.57,而本體溶液pH從7.40降至6.90。這些數據來自圖2。研究意義:揭示了生物膜內存在顯著pH梯度,質子積累隨電流增加而加劇,這直接影響微生物活性和電子傳輸效率,為優化生物電化學系統提供依據。

2 生物膜厚度數據:通過pH-深度剖面的導數計算生物膜厚度,發現生物膜厚度隨電流密度增加從90微米增至350微米,其中活性層約275微米,非活性層隨電流增加而擴大。這些數據來自圖3。研究意義:提供了一種非侵入式生物膜厚度估算方法,表明厚度增加導致質子傳輸效率下降,非活性層形成會限制底物擴散,但電子傳輸仍可維持。

3 pH與電流關系數據:陽極表面與本體溶液的pH差隨電流密度線性增加,最大差達1.33單位,質子濃度near電極表面比本體高20倍。生物膜內平均pH隨電流密度線性下降。這些數據來自圖4。研究意義:證實電流產生與質子積累直接相關,pH梯度是限制高電流下性能的關鍵因素,提示需要緩沖調控以減輕抑制。

4 電化學數據:循環伏安法顯示中點電位隨生物膜內平均pH降低而正移,斜率為59.0mV/pH,符合Nernst方程。這些數據來自圖5。研究意義:表明電子傳輸過程與質子耦合,pH變化可調控電化學行為,為生物膜內反應機制提供證據。

5 緩沖濃度影響數據:在25mM磷酸緩沖下,陽極表面pH低至4.91,而100mM時為5.73,電流密度隨緩沖濃度增加而提高。這些數據來自圖6。研究意義:證明高緩沖濃度可緩解質子積累,提升電流輸出,指導實際系統中緩沖策略優化。

結論
論文得出結論:產電生物膜內存在顯著pH梯度,陽極表面pH可低至5.57,質子積累隨電流增加而加劇,抑制微生物活性;生物膜厚度增加導致質子傳輸效率下降,但電子傳輸仍可維持;pH變化通過Nernst關系影響電化學行為;高緩沖濃度能緩解質子積累,提升系統性能。
使用丹麥Unisense電極測量數據的研究意義
使用丹麥Unisense pH微電極測量的數據提供了高空間分辨率(50微米尖徑)和實時的生物膜內pH分布信息,研究意義在于:該技術允許非侵入式地量化微尺度環境下的pH變化,直接揭示了質子梯度形成機制。測量顯示pH從本體溶液到陽極表面逐漸降低(圖2),證實了質子產生與傳輸的不平衡性。通過pH-深度剖面導數分析(圖3),可準確估算生物膜厚度和活性區域,避免了傳統破壞性方法。此外,pH與電流密度的線性關系(圖4)為預測生物膜代謝狀態提供了工具,而pH對電化學行為的調控(圖5)深化了對質子耦合電子傳輸的理解。這些數據共同表明,Unisense電極是研究生物膜內微環境的關鍵工具,為優化生物電化學系統設計提供了實證基礎。