熱線:021-66110810,66110819
手機:13564362870

熱線:021-66110810,66110819
手機:13564362870
Behavioural and biochemical responses to metals tested alone or in mixture (Cd-Cu-Ni-Pb-Zn) in Gammarus fossarum: From a multi-biomarker approach to modelling metal mixture toxicity
對沼蝦進行的金屬單獨作用或-混合作用(鎘 - 銅 - 鎳 - 鉛 - 鋅)的生理和生化反應研究:從多生物標志物方法到金屬混合毒性建模
來源:Aquatic Toxicology 193 (2017) 160–167
一、論文摘要
本研究系統評估了五種常見金屬(鎘Cd、銅Cu、鎳Ni、鉛Pb、鋅Zn)在單獨暴露和混合暴露情況下,對淡水鉤蝦(Gammarus fossarum)的亞致死毒性效應。研究采用多生物標志物方法,在120小時的暴露期內,監測了鉤蝦的死亡率、運動行為、呼吸速率以及多種消化代謝和蛻皮相關酶活性的變化。暴露濃度設定為歐洲水框架指令(WFD)中環境質量標準(EQS)的1倍(M1X混合物)和2倍(單種金屬及M2X混合物),以貼近實際環境濃度和監管背景。結果顯示,單種金屬暴露已在EQS水平上引起了鉤蝦的生物學改變,且效應因金屬種類和性別而異。對于混合物暴露,M1X和M2X均能改變生物標志物水平,但未觀察到金屬間的加和或協同效應。生物累積數據表明,在較高濃度(M2X)下,金屬間存在競爭性相互作用,反而降低了其內在化和毒性。整合生物標志物響應指數(IBR)分析表明,EQS水平的混合物(M1X)對鉤蝦健康的整體影響反而高于2倍EQS的混合物(M2X),這被歸因于低濃度下競爭減弱導致的金屬吸收增強。研究進一步建立模型,利用從單種金屬暴露獲得的生物濃縮數據成功預測了兩種混合物的整體毒性。結論指出,多生物標志物方法所識別的混合物亞致死效應可能導致鉤蝦種群動態的紊亂。盡管基于IBR的模型為預測金屬混合物毒性提供了有前景的方向,但在將其應用于實地之前,仍需更多研究來確認其在不同金屬組合下的預測質量。
二、研究目的
本研究旨在解決當前環境風險評估中對于低濃度金屬混合物毒性認知不足的問題,具體目的包括:
評估環境相關濃度下金屬的亞致死效應:在接近(EQS)和略高于(2×EQS)環境監管標準的濃度下,探究金屬單獨作用時對鉤蝦關鍵生理功能(行為、呼吸、消化、蛻皮)的亞致死影響,明確不同金屬的特異性效應。
探究金屬混合物的“雞尾酒效應”:重點研究當五種金屬共存時,其毒性效應是相加、協同還是拮抗,從而檢驗現行基于單一物質的EQS在保護水生生物免受混合物影響方面的充分性。
闡明混合物毒性作用的生物累積機制:通過測量鉤蝦體內的金屬生物累積量,將外部暴露濃度與內部劑量聯系起來,從生物可利用性和內在化的角度解釋混合物毒性效應的機理。
開發混合物毒性預測模型:嘗試利用整合生物標志物響應(IBR)指數和生物濃縮因子(BCF)等數據,建立并驗證一個能夠基于單種金屬毒性數據來預測混合物整體毒性的模型,為未來的環境風險評價提供方法論支持。
三、研究思路
研究遵循了 “梯度暴露 -> 多端點監測 -> 數據整合 -> 機制探究 -> 模型預測”的系統性思路:
實驗設計與暴露:采集野外清潔水體中的鉤蝦,在實驗室馴化后,將其暴露于不同處理組:空白對照、五種金屬各自在2×EQS濃度下的單種暴露、五種金屬均在2×EQS濃度下的混合物(M2X)暴露、以及五種金屬均在EQS濃度下的混合物(M1X)暴露。
多維度生物標志物監測:在120小時的暴露期內,定期測量:
整體健康指標:死亡率。
行為指標:運動能力(穿越標記次數)、呼吸速率(耗氧率)。
生化指標:消化酶(β-葡萄糖苷酶、β-半乳糖苷酶)活性、與蛻皮相關的幾丁質酶(殼二糖酶)活性、總蛋白含量(能量代謝指標)。特別注意區分了雌雄個體的差異。
生物累積分析:暴露結束后,測定鉤蝦體內五種金屬的含量,計算生物濃縮因子(BCF)和攝取速率,將外部暴露與內部負荷關聯。
數據整合與模型構建:使用整合生物標志物響應(IBR)指數將多個生物標志物的響應匯總為一個單一的、反映整體健康影響的數值。隨后,嘗試利用從單種金屬暴露獲得的IBR值和BCF數據,構建數學模型來預測M1X和M2X混合物的IBR值(即整體毒性)。
機制分析與預測驗證:比較不同暴露條件下的生物標志物響應模式、金屬生物累積量以及模型預測結果與實測結果的符合程度,深入探討混合物中金屬相互作用的機理(競爭或協同),并評估所建模型的預測能力。
四、測量數據、研究意義及來源
研究者測量了多個層面的數據,其意義和來源如下:
鉤蝦的運動和呼吸行為數據:通過直接觀察和微傳感器測量暴露期間鉤蝦的運動頻率和耗氧率。
研究意義:行為是生物對環境壓力最直接、最敏感的響應之一,與個體的生存 fitness(如覓食、避敵)直接相關。數據顯示,單種金屬暴露對行為的影響具有金屬依賴性,例如Cd和Pb顯著抑制運動,而Zn反而刺激運動;Cu和Cd抑制呼吸(文檔圖1)。混合物(M2X)也引起行為抑制,但效應并非單種金屬效應的簡單加和,提示存在相互作用。這些行為變化可作為金屬污染早期預警的敏感指標。

數據來源:不同暴露條件下鉤蝦的運動和呼吸活動隨時間的變化曲線展示在 文檔圖1中。
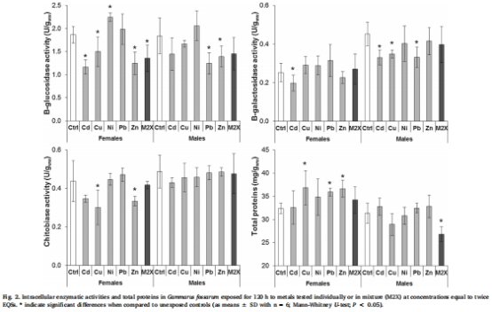
鉤蝦消化代謝和蛻皮相關酶活性數據:通過生化分析測量暴露后鉤蝦體內的多種酶活性和總蛋白含量。
研究意義:從生化層面揭示金屬毒性作用的具體靶點和生理機制。結果顯示,酶活性的變化因金屬種類、酶種類和鉤蝦性別而異,表明毒性機制具有特異性(文檔圖2)。例如,Cd抑制消化酶,Cu和Zn抑制與蛻皮相關的殼二糖酶。這種多生物標志物策略有助于識別特定的毒性通路,而混合物的效應再次顯示非加和性。這些生化擾動可能影響個體的生長、發育和能量平衡,具有種群水平的生態風險。

數據來源:暴露120小時后,鉤蝦體內各種酶活性和總蛋白含量的變化(與對照相比)展示在 文檔圖2中。
鉤蝦體內金屬生物累積數據:通過ICP-MS測量暴露后鉤蝦體內的金屬濃度,并計算生物濃縮因子(BCF)和攝取速率。
研究意義:這是連接外部暴露與內部毒性的關鍵環節,直接揭示了金屬的生物可利用性和在生物體內的富集情況。數據(文檔中表1)清楚地顯示,在2×EQS的混合物(M2X)中,大多數金屬在鉤蝦體內的累積量顯著低于其相應的單種金屬暴露。這強有力地證明了金屬之間存在競爭性拮抗作用,降低了各自的內在化程度。相反,在EQS水平的混合物(M1X)中,某些必需金屬(如Cu, Zn)的累積量甚至高于單種暴露,表明在低濃度下競爭減弱,可能導致吸收增強。這為理解混合物毒性機制提供了核心證據。

數據來源:不同暴露條件下,介質中的金屬濃度、鉤蝦體內的金屬濃度、以及計算得到的攝取速率詳細列于 文檔中表1。生物濃縮因子(BCF)的對比展示在 文檔圖3中。
整體毒性效應的整合指數(IBR):將所有測得的生物標志物響應標準化后計算得到一個綜合指數。
研究意義:解決了多變量數據解讀的復雜性,提供了一個量化、可比的整體健康影響評分。IBR值(文檔圖4)直觀地顯示,單種金屬毒性順序為 Cd > Pb > Zn > Cu > Ni。最關鍵的發現在于,EQS水平的混合物(M1X)的IBR值(即整體毒性)高于2倍EQS的混合物(M2X),這顛覆了“濃度越高,毒性越大”的簡單認知,突顯了低濃度混合物可能因相互作用模式改變而帶來意想不到的高風險。

數據來源:各暴露條件下的整合生物標志物響應(IBR)指數值,包括實測值和模型預測值,展示在 文檔圖4中。
五、研究結論
證實了低濃度金屬混合物的亞致死毒性:即使在EQS水平,金屬混合物也能對鉤蝦的行為、呼吸、消化和蛻皮等關鍵生理功能產生顯著擾動,表明現行水質標準在保護水生生物免受混合物影響方面可能存在不足。
揭示了金屬混合物相互作用的復雜性:研究未發現簡單的加和或協同效應。相反,生物累積數據表明,相互作用模式高度依賴于濃度。高濃度(M2X)下,金屬間主要表現為競爭性拮抗,降低吸收和毒性;而低濃度(M1X)下,競爭減弱可能導致某些金屬吸收增強,從而引發更強的整體毒性效應。
建立了基于生物累積的毒性預測模型:利用從單種金屬暴露獲得的生物濃縮因子(BCF)數據建立的模型,能夠較好地預測兩種金屬混合物的整體毒性(IBR值)。這表明BCF是比單純的組織濃度更好的毒性預測指標,為發展基于生物有效性的混合物風險評估模型提供了有力支持。
強調了多生物標志物與整合方法的必要性:單一生物標志物的響應不一,甚至相反,唯有通過整合方法(如IBR)才能全面、準確地評估化學混合物的整體生態風險。該方法對未來的環境監測和風險評估具有重要的方法論意義。
六、使用丹麥Unisense電極測量數據的研究意義詳解
在本研究中,丹麥Unisense的Clark型氧微電極(OX-500)被用于實時、高精度地監測暴露介質中溶解氧濃度的微小變化,從而準確計算出鉤蝦的呼吸速率(耗氧率)。
其研究意義至關重要,主要體現在以下幾個方面:
提供了代謝壓力的直接、定量指標:呼吸速率是反映生物體能量代謝強度和生理應激狀態的核心指標。Unisense氧電極憑借其高靈敏度(可檢測μM級溶解氧變化)和快速響應特性,能夠準確捕捉到因金屬暴露引起的、可能是非常微弱的耗氧率變化。本研究觀察到Cd、Cu等金屬暴露導致耗氧率下降(文檔圖1),這直接證明了這些金屬對鉤蝦的代謝過程產生了抑制性毒性效應,可能是通過干擾線粒體呼吸鏈或影響氣體交換器官(如鰓)的功能實現的。
揭示了金屬毒性的特定模式與混合物效應:通過比較不同暴露組,Unisense電極提供的數據幫助識別了金屬毒性的特異性。例如,Ni和Zn單種暴露對呼吸無顯著影響,而Cd和Cu則表現出抑制作用。更重要的是,在混合物(M2X)暴露下,呼吸抑制效應在暴露早期(24h)即出現,這為了解混合物對機體生理的即時沖擊效應提供了關鍵信息。這些精細的、隨時間變化的呼吸數據,是判斷毒性反應動力學和識別關鍵效應窗口的重要依據。
作為整合健康評估(IBR)的關鍵組成部分:呼吸速率是計算整合生物標志物響應(IBR)指數所用的多個生物標志物之一。Unisense電極提供的精確、可量化的耗氧率數據,為IBR這個綜合健康指標貢獻了關于能量代謝和基礎生理功能維度的信息。沒有這個可靠的數據點,IBR對整體健康影響的評估將是不完整的,其結論的說服力也會打折扣。
支持了關于混合物相互作用機制的推斷:研究發現,EQS水平的混合物(M1X)對呼吸的抑制效應弱于2倍EQS的混合物(M2X)(參見文檔中表2)。這一看似反常的現象(與整體IBR趨勢相反),結合其他生物標志物和數據,間接支持了作者關于“不同濃度下金屬相互作用模式不同”的核心推論。即,在M2X中,金屬可能通過競爭鰓部吸附位點或引起更嚴重的鰓部結構損傷(作為呼吸毒物)而導致更早、更明顯的呼吸抑制;而在M1X中,雖然呼吸直接受影響較小,但金屬可能通過其他途徑(如增強吸收后干擾細胞內代謝)對機體造成更廣泛的、綜合性的(反映在高IBR值上)損害。Unisense電極提供的精確呼吸代謝數據,為這種復雜的機制分析提供了不可或缺的實驗證據。
總結:丹麥Unisense氧微電極在本研究中扮演了 “生理代謝的精密示蹤器”的角色。它提供的高時間分辨率、高精度的耗氧率數據,將金屬暴露與生物體的核心能量代謝過程直接聯系起來。這不僅使得“呼吸抑制”這一毒性效應從定性描述變為可精確測量和比較的定量指標,而且為理解金屬的毒性機制(尤其是對鰓和代謝系統的直接影響)和混合物復雜的相互作用提供了關鍵的內在視角。因此,Unisense電極的貢獻在于確保了呼吸這一重要毒性終點數據的高度可靠性,從而增強了整個研究關于金屬混合物亞致死效應及其機理結論的科學性和說服力。