熱線:021-66110810,66110819
手機:13564362870

熱線:021-66110810,66110819
手機:13564362870
A dual indicator approach for monitoring benthic impacts from organic enrichment with test application near Atlantic salmon farms
在大西洋鮭魚養殖場附近進行試驗并采用雙重指標方法監測有機富集對底棲生物的影響
來源:Marine Pollution Bulletin 124 (2017) 258–265
一、論文摘要
本研究開發并驗證了一種用于監測海洋沉積物有機富集對底棲環境影響的“雙指標”現場監測新方法。該方法同時測量孔隙水中的溶解氧(O?)和總游離硫化物(S2?)濃度,以更準確地評估有機富集導致的缺氧和硫化物毒性壓力。研究指出,廣泛使用的離子選擇電極(ISE)標準方法在測量硫化物時,會因包含無毒的礦物硫化物以及游離硫化物的氧化和揮發而產生偏差。本研究開發的新型現場協議采用紫外分光光度法(UV)直接測量孔隙水中的硫化物,并整合了溶解氧微傳感器測量,從而解決了上述問題。研究人員在鮭魚養殖場附近的粘性(泥)和滲透性(沙)底質上采集沉積物樣品,分別用標準和新技術進行分析。結果證實了標準ISE方法存在人為誤差,而雙指標方法能更準確地描述影響底棲群落的沉積物地球化學變化的階段、空間范圍和強度。
二、研究目的
本研究旨在解決當前環境監測(特別是水產養殖管理)中對沉積物硫化物測量的準確性問題,并提供一個更全面的評估框架。具體目的包括:
開發一種改進的現場監測協議:創建一個能夠避免標準ISE方法誤差的、快速、準確的硫化物測量方法。
整合溶解氧測量:將可靠的溶解氧測量與硫化物分析相結合,提供更完整的沉積物氧化還原狀態信息,以評估對底棲生物的聯合壓力(缺氧與硫化物毒性)。
驗證新方法的性能:在真實環境(鮭魚養殖場附近)下,比較新開發的UV光譜法與傳統ISE方法的準確度和精密度。
評估方法的實際應用性:測試該雙指標方法在不同底質類型(泥 vs 沙)下的適用性,并評估其在管理框架中替代或補充傳統生物監測的潛力。
三、研究思路
研究遵循了 “方法開發 -> 實驗室驗證 -> 現場應用與比較 -> 效果評估”的系統思路:
新方法原理與開發:
硫化物測量:采用紫外分光光度法直接檢測孔隙水中硫氫根離子(HS?)在紫外波段(230, 240, 250 nm)的特征吸收,避免了對沉積物漿液的依賴,從而排除了礦物硫化物的干擾。
溶解氧測量:使用快速響應的溶解氧微傳感器(克拉克電極型或光學位點式),可直接插入孔隙水取樣器中進行原位測量。
關鍵采樣技術:使用RhizonCera等孔隙水取樣器,能夠在現場快速、無氧條件下從特定沉積物深度提取孔隙水,防止硫化物氧化和揮發。
實驗室驗證:通過制備標準溶液,嚴格校準UV光譜法的線性范圍、檢測限、精密度和準確度,并驗證其長期穩定性。
現場應用與對比:
研究地點:選擇兩個位于不同底質(泥質和沙質)的北大西洋鮭魚養殖場,沿 presumed 的有機富集梯度(從網箱邊緣到1000米外參考點)采集沉積物柱樣。
方法比較:在同一采樣點,平行應用新開發的“UV-O?”協議和傳統的“ISE”標準方法測量硫化物。
多參數分析:同時測量不同深度(1cm, 2cm)的溶解氧,并分析沉積物的有機質含量和粒度。
數據分析:使用統計方法(如配對t檢驗、多元方差分析MANOVA)比較兩種硫化物測量方法的結果差異,并分析O?和S2?濃度隨距離養殖場遠近的空間變化趨勢。
四、測量數據、研究意義及來源
研究者測量了多個層面的數據,其意義和來源如下:
硫化物濃度測量準確性與比較:使用新UV法和標準ISE法測量相同沉積物樣品中的總游離硫化物濃度。
研究意義:這是評估新方法可靠性和揭示傳統方法缺陷的核心。數據顯示,兩種方法的結果存在顯著差異且相關性散亂(文檔圖3)。標準ISE法在沙質底質處顯著高估了硫化物濃度(平均高出7.5倍),而在某些情況下又會低估。這證實了傳統方法因溶解礦物硫化物和樣品處理中硫化物損失而存在嚴重偏差,而新UV法則提供了更準確的結果。


數據來源:兩種方法測得的硫化物濃度比較散點圖展示在 文檔圖3中。統計比較結果總結在 文檔表2的“ISE S?2”列。
溶解氧濃度空間變化:測量了養殖場周圍不同距離和沉積物深度(1cm, 2cm)的孔隙水溶解氧濃度。
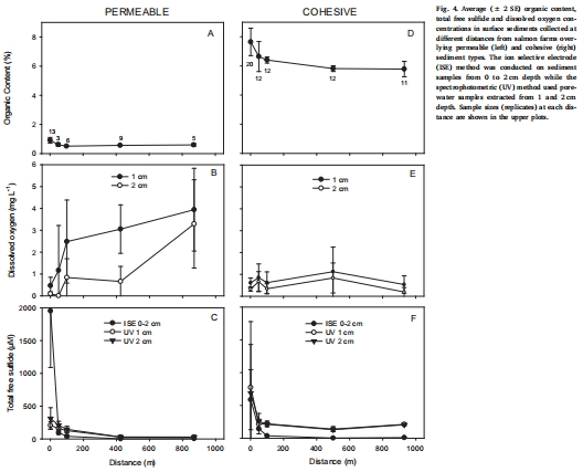
研究意義:揭示了有機富集導致的缺氧程度和空間范圍。在沙質底質養殖場,距離網箱870米的參考點溶解氧濃度最高,而缺氧(O? < 2 mg L?1)影響范圍可達425米(文檔圖4b)。這提供了缺氧壓力空間分布的精確地圖,是評估生態影響的關鍵。

數據來源:不同距離下的溶解氧濃度變化展示在 文檔圖4b和4e中。統計顯著性總結在 文檔表2的“O2 1cm”和“O2 2cm”列。
孔隙水取樣器性能驗證:比較了在核心管內的海水經過Rhizon和RhizoCera取樣器前后,溶解氧濃度的變化。
研究意義:確保了溶解氧測量樣本的完整性。結果顯示,RhizoCera陶瓷取樣器能有效密封,防止大氣氧氣侵入,從而保證了孔隙水原位缺氧/厭氧條件的真實測量(文檔圖2)。這是獲得準確O?數據的前提。

數據來源:取樣器性能驗證結果展示在 文檔圖2中。
沉積物特性:分析了沉積物的有機質含量和粒度組成。
研究意義:作為有機富集程度的輔助證據。數據顯示,從養殖場邊緣向外,表層沉積物有機質含量平均下降,證實了有機物的沉降梯度(文檔圖4a和4d)。這為地球化學參數的變化提供了背景支持。
數據來源:沉積物有機質含量隨距離的變化展示在 文檔圖4a和4d中。
五、研究結論
成功開發了一種更優越的現場監測協議:新開發的紫外分光光度法結合孔隙水無氧取樣技術,為測量沉積物總游離硫化物提供了一種快速、準確、精密且穩定的方法,有效避免了標準ISE法的人為誤差。
雙指標提供更全面的環境評估:同時測量溶解氧和硫化物的雙指標方法,能夠更清晰地區分和描述有機富集的不同階段。例如,在養殖場邊緣,可以觀察到嚴重的缺氧壓力和初期的硫化物壓力,而單靠硫化物指標可能會誤判或漏判某些環境影響。
揭示了傳統ISE方法的不可靠性:研究證實,標準ISE方法會嚴重高估或低估真實的孔隙水硫化物濃度,其測量結果不應用于精確的環境影響評估或管理決策,特別是在沙質等滲透性底質區域。
強調了缺氧作為獨立壓力因子的重要性:研究發現,在滲透性沙質底質中,缺氧的影響范圍(可達425米)遠大于硫化物的影響范圍(主要限于網箱邊緣)。這表明,僅監測硫化物會嚴重低估有機富集對底棲生態的實際影響范圍,因為缺氧本身就足以導致生物多樣性下降。
具有重要的管理啟示:研究強烈建議在環境監測和法規(如加拿大水產養殖活動法規)中,采用這種更準確的雙指標方法來替代或補充單一的硫化物監測,以便為管理決策提供更科學、更可靠的基礎。
六、使用丹麥Unisense電極測量數據的研究意義詳解
在本研究中,丹麥Unisense公司的克拉克型溶解氧微傳感器被用于高精度、快速地測量從沉積物中提取的孔隙水樣品內部的溶解氧濃度。
其研究意義至關重要,是成功實現“雙指標”監測理念的技術基石,主要體現在以下幾個方面:
實現了對孔隙水原位氧濃度的真實測量:Unisense微傳感器具有微米級的尖端直徑(<1.5mm)和極快的響應時間(90%響應<10秒),使其能夠直接插入細小的孔隙水取樣器(如RhizoCera)內部進行測量。結合無氧取樣技術,這種“原位模擬”測量最大限度地保留了孔隙水的原始氧狀態,避免了樣品暴露大氣導致的氧化,從而首次在現場條件下獲得了接近真實的沉積物孔隙水溶解氧數據。這是準確評估底棲生物所受氧化應激的關鍵。
為“雙指標”分析提供了可靠、可比的平行數據:Unisense傳感器與UV光譜法能夠在同一份孔隙水樣品、幾乎同一時間進行測量。這種數據獲取的同步性和同源性確保了O?和S2?這兩個關鍵指標之間的高度可比性,使得研究人員能夠可靠地分析二者在空間上的耦合或分離關系(例如,文檔圖4顯示在沙質底質養殖場,缺氧范圍遠大于硫化物升高范圍)。沒有這種高精度、同步的O?數據,雙指標分析的價值和說服力將大打折扣。
揭示了缺氧影響的真實空間范圍:憑借其高精度和靈敏度,Unisense傳感器成功探測到溶解氧濃度從養殖場邊緣向外的梯度變化。數據顯示,在沙質底質養殖場,缺氧影響可達425米遠,而硫化物濃度升高僅集中在網箱邊緣。這一發現從根本上改變了對有機富集影響范圍的認識,證明缺氧是比硫化物毒性影響范圍更廣的生態壓力因子。這對于科學劃定管理區、制定監測方案具有重大意義。
保證了方法在現場條件下的實用性:盡管是精密儀器,Unisense傳感器系統體積相對小巧、可由電池供電,適合在監測船上使用。其自動溫度、鹽度和壓力補償功能簡化了現場操作,減少了人為計算誤差,滿足了環境監測方法對“實用性”和“可操作性”的要求,使高質量的數據采集能在“近實時”的條件下完成,便于現場決策(如是否需要重新采樣)。
總結:丹麥Unisense溶解氧微傳感器在本研究中扮演了 “缺氧壓力的精密探測儀”角色。它提供的高精度、快速響應的孔隙水溶解氧數據,與新型UV硫化物數據相輔相成,共同構成了“雙指標”監測策略的核心。這些數據不僅驗證了新采樣協議的有效性,更重要的是,它們無可辯駁地揭示了缺氧作為獨立且影響廣泛的壓力因子的重要性,挑戰了過度依賴硫化物作為單一指標的傳統管理范式。因此,Unisense傳感器的測量結果從方法論和生態學認知兩個層面,極大地推進了對有機富集環境影響的理解和監測能力,凸顯了在環境監測中采用可靠、精準的傳感器技術對于制定科學管理策略的極端重要性。