熱線:021-66110810,66110819
手機:13564362870

熱線:021-66110810,66110819
手機:13564362870
Pre-exposure to simultaneous, but not individual, climate change stressors limits acclimation capacity of Irukandji jellyfish polyps to predicted climate scenarios
預先接觸同時存在的但并非單獨的氣候變化壓力因素會限制伊魯坎吉水母幼體對預計氣候變化情景的適應能力
來源:Coral Reefs (2017) 36:987–1000
一、論文摘要
本研究探討了預先暴露于氣候變化壓力因素(海洋變暖和酸化)是否能幫助一種危險的伊魯坎吉水母(Alatina alata)的息肉階段更好地適應未來的海洋條件。研究者進行了一個兩階段的實驗:首先將息肉預暴露于當前條件或未來條件(升溫、酸化或其組合)下14天;隨后將這些息肉及其無性繁殖的后代轉移到當前或未來的氣候情景下再培養34天,以評估其適應能力。適應能力通過無性繁殖率、呼吸速率、攝食率和蛋白質濃度等多個指標來衡量。結果發現,單獨預暴露于升溫或酸化能部分或完全緩解未來條件對息肉適應能力的負面影響,顯示出一定的短期適應潛力。然而,同時預暴露于兩種壓力因素反而限制了息肉的適應能力,導致其在未來條件下的適應能力下降。無論預暴露條件如何,未來條件下的息肉呼吸速率均更高,表明新陳代謝成本增加。此外,親代息肉和子代息肉對各處理條件的響應相似,說明親代的預暴露并未給無性繁殖的后代帶來任何優勢。本研究的關鍵在于指出,雖然預暴露于單個壓力因素可能誘導短期適應,但現實中氣候變化壓力因素是同時發生的,而這種多重壓力因素的共同作用可能會阻止息肉種群成功適應未來的海洋環境。
二、研究目的
本研究旨在超越僅關注氣候變化即時效應的傳統研究,深入探究生物體通過預暴露(預適應)過程獲得適應能力的潛力。具體目的包括:
評估預暴露的緩解作用:檢驗預暴露于升溫、酸化或其組合,能否減輕未來氣候條件對伊魯坎吉水母息肉適應能力的負面影響。
比較單個與多重壓力因素的影響:明確單獨預暴露與同時預暴露于多種壓力因素在誘導適應能力上的效果是否存在差異,這對預測真實世界中的生態響應至關重要。
檢驗跨代適應效應:探究親代息肉的預暴露經歷能否通過非遺傳機制傳遞給其無性繁殖的后代,從而賦予子代在未來條件下更高的適應力。
三、研究思路
研究采用了 “預暴露階段 → 二次暴露階段”的嚴謹實驗設計,并設置了多因素、多指標的全面分析方案:
雙階段實驗設計:
預暴露階段(14天):將息肉置于四種條件下培養:① 對照(25°C, pH 8.0)、② 升溫(28°C)、③ 酸化(pH 7.6)、④ 升溫+酸化(28°C, pH 7.6)。
二次暴露階段(34天):將經過預暴露的親代息肉及其在預暴露期間產生的子代息肉,分別轉移到兩種最終氣候情景下:① 當前條件(25°C, pH 8.0)和② 未來條件(28°C, pH 7.6)。
多因子交叉設計:實驗包含了4個關鍵因子:預暴露溫度、預暴露pH、息肉世代(親代/子代)、最終氣候情景,從而能夠細致地分析各因素的主效應和交互作用。
多指標綜合評價適應能力:并非使用單一指標,而是從能量獲取、消耗和分配等多個角度綜合評估適應能力:
無性繁殖數量:種群增長潛力的核心指標。
呼吸速率:代謝消耗和能量需求的指標。
攝食率:能量攝入能力的指標。
蛋白質濃度:生理狀況和生物量合成的指標。
四、測量數據、研究意義及來源
研究者測量了多個方面的數據,其具體意義和來源如下:
無性繁殖數量:在實驗結束時統計每個處理組中的息肉總數。
研究意義:這是評估種群適應能力(fitness)的最直接指標。數量的多少直接反映了種群在特定環境下的增長和存活潛力。結果顯示,預暴露處理對未來條件下的繁殖成功率有顯著影響,特別是雙重預暴露產生了負面效果。

數據來源:實驗結束時(第34天)各處理組的息肉數量比較展示在 文檔圖2中。
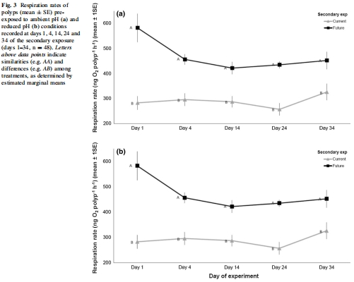
呼吸速率:使用丹麥Unisense氧微電極系統定期測量息肉的耗氧率。
研究意義:呼吸速率反映了生物體的代謝強度。較高的呼吸速率通常意味著需要更多能量來維持基本生命活動,可能導致用于生長和繁殖的能量減少。數據顯示,在未來條件下,無論預暴露歷史如何,呼吸速率都顯著升高,這表明未來環境下的維持代謝成本普遍增加。


數據來源:預暴露于不同pH條件的息肉在不同氣候情景下隨時間變化的呼吸速率展示在 文檔圖3a和3b中。統計結果總結在 文檔表2。
蛋白質濃度:在實驗結束時測量每個息肉的蛋白質含量。
研究意義:蛋白質濃度是生理狀況和生物量的良好指標。濃度的變化可以反映能量分配策略的改變,例如,是否將資源從蛋白質合成轉向應急代謝。結果顯示,預暴露處理顯著影響了蛋白質積累,雙重預暴露處理下的息肉蛋白質濃度最低。


數據來源:實驗結束時各處理組的息肉蛋白質濃度對比展示在 文檔圖4中。統計結果總結在 文檔表1。
攝食率:通過計算息肉在固定時間內捕食鹵蟲無節幼體的百分比來評估。
研究意義:攝食率直接關系到能量攝入。攝食率下降可能意味著能量短缺,從而限制生長和繁殖。結果顯示,經歷雙重預暴露的息肉在未來條件下的攝食率最低,表明其能量獲取能力受到嚴重抑制。

數據來源:實驗結束時各處理組的攝食率對比展示在 文檔圖5中。統計結果總結在 文檔表1。
五、研究結論
單個壓力預暴露的有限益處:預暴露于單獨的升溫或酸化壓力,確實能部分(升溫)或完全(酸化)緩解未來條件對息肉適應能力的負面影響。這表明伊魯坎吉水母息肉對單個壓力因素具有一定的短期適應(馴化)能力。
多重壓力預暴露的負面效應:這是本研究最關鍵的發現。同時預暴露于升溫和酸化兩種壓力因素,不僅沒有幫助息肉適應未來條件,反而限制了其適應能力。與對照相比,經歷雙重預暴露的息肉在未來條件下表現出更低的無性繁殖率、蛋白質濃度和攝食率。這揭示了壓力因素之間的拮抗作用,表明在現實的多重壓力環境下,生物的適應潛力可能被高估。
代謝成本普遍增加:在所有處理中,未來條件下的息肉呼吸速率都更高。這表明無論息肉是否有預暴露經歷,未來環境都迫使它們付出更高的基礎代謝成本,這可能會制約它們用于生長和繁殖的能量預算。
缺乏跨代適應證據:親代息肉和子代息肉對所有處理條件的響應沒有顯著差異。這表明在本實驗的時間尺度內,親代通過預暴露獲得的任何生理調整并未通過非遺傳方式傳遞給無性繁殖的后代,子代未能從親代的“經歷”中獲益。
六、使用丹麥Unisense電極測量數據的研究意義詳解
在本研究中,丹麥Unisense的PA200皮安計和OX-25氧微電極被用于高頻率、高精度地測量小型玻璃瓶內水中溶解氧濃度的微小變化,從而計算出水母息肉精確的呼吸速率。
其研究意義至關重要,主要體現在以下幾個方面:
提供了高時間分辨率的代謝動態數據:Unisense系統的高靈敏度和快速響應能力,使得研究者能夠在二次暴露階段的5個不同時間點(第1、4、14、24、34天)成功捕捉到息肉呼吸速率的動態變化。這種縱向監測揭示了代謝響應并非一成不變,而是隨著暴露時間的推移可能發生變化。例如,數據顯示在實驗初期(第1天),某些處理組間的呼吸速率差異不顯著,但隨后差異變得明顯(文檔圖3a和3b)。沒有這種高時間分辨率的測量,這種動態模式就無法被揭示。
精確量化了未來環境下的代謝成本:Unisense電極提供的高精度數據無可辯駁地證明,在未來的氣候情景(升溫+酸化)下,息肉的呼吸速率系統性且顯著地高于當前條件。這為“未來環境維持代謝成本更高”的假說提供了最直接的實驗證據。這種代謝成本的增加是評估生物能量收支和預測長期適應性的關鍵參數。
揭示了預暴露的局限性:盡管預暴露處理(無論是單獨還是組合)影響了繁殖、攝食等指標,但Unisense的數據顯示,無論息肉經歷過何種預暴露,只要處于未來條件下,其呼吸速率就會升高。這一發現至關重要,它表明:預暴露可能幫助息肉在功能上(如繁殖)進行一定補償,但無法消除其基礎代謝水平的根本性提升。這揭示了短期適應可能存在的“天花板”或代價。
確保了實驗的嚴謹性:研究者設置了空白對照瓶來扣除微生物背景呼吸的影響。Unisense系統能夠檢測到極低的氧氣消耗,使得從總耗氧量中準確減去背景值、從而得到純粹由息肉產生的呼吸速率成為可能。這種嚴謹的操作增強了研究結論的可靠性。
總結:丹麥Unisense氧微電極系統在本研究中扮演了 “代謝變化的精密監測儀”角色。它提供的高精度、高時間分辨率的耗氧率數據,是成功量化未來環境代謝成本、揭示代謝響應動態規律、以及論證預暴露策略局限性的技術關鍵。這些數據雄辯地表明,即使生物體在行為或繁殖上表現出一定的適應性,其基礎的生理能耗可能已經發生了不可逆的增加,這對其長期生存構成挑戰。因此,Unisense的測量結果從能量學角度為評估氣候變化的生態影響提供了深刻見解,凸顯了在氣候變化生理學研究中精確測量代謝參數的重要性。