熱線:021-66110810,66110819
手機:13564362870

熱線:021-66110810,66110819
手機:13564362870
Benthic foraminiferal Mn/Ca ratios reflect microhabitat preferences
底棲孔蟲的錳鈣比值反映了其對微生境的偏好
來源:Biogeosciences Discuss., doi:10.5194/bg-2016-547, 2017
一、論文摘要
這篇發表在《Biogeosciences》上的論文核心研究了底棲有孔蟲殼體中的錳鈣比值如何反映其在不同沉積層中的微棲息地偏好。研究首次沿日本東北部大陸坡(西太平洋)一個底層水氧梯度(從缺氧到富氧),測定了五種活體(玫瑰紅染色)底棲有aminifera殼體中的Mn/Ca比值及其與孔隙水錳濃度的關系。通過激光剝蝕電感耦合等離子體質譜法進行單房室分析,研究發現Mn摻入殼體主要受環境條件控制,不受個體發育影響。不同物種間的Mn/Ca差異與其在沉積物中的棲息深度(微棲息地)及相應的孔隙水化學環境密切相關,但也顯示出顯著的種間分配差異。總體而言,中間底棲的有孔蟲類群(如Uvigerina spp.)的Mn/Ca比值最有希望作為古海洋學重建的工具,因為其微棲息地使其暴露于孔隙水錳濃度變化更大的環境中,從而對氧化還原條件和底層水含氧量變化更為敏感。
二、研究目的
本研究旨在驗證底棲有孔蟲殼體Mn/Ca比值與其微棲息地偏好之間的內在聯系,并評估其作為重建古底層水氧含量和沉積物氧化還原條件指標的潛力。具體來說,研究試圖在一個與以往研究地點不同的底層水氧梯度(所有站點BWO ≥ 33 μmol/L)上,厘清有孔蟲Mn/Ca比值的變化模式,從而完善已有的概念模型(如TROXCHEM3模型)。
三、研究思路
研究思路遵循了“環境梯度選擇 -> 原位樣品采集 -> 多參數同步測量 -> 種間對比與模型驗證”的科學路徑:
選擇天然實驗場:沿日本東北大陸坡選擇一個底層水氧含量變化的斷面(從496米到1963米水深),該斷面提供了從貧氧到富氧的天然環境梯度。
高質量樣品采集:使用多管采樣器獲取未擾動的沉積物巖心,確保沉積物-水界面完整。同時使用CTD采水器測量水體參數。
高分辨率測量:
使用丹麥Unisense微電極在受控培養箱中測量沉積物剖面的溶解氧穿透深度。
通過離心和過濾提取孔隙水,分析其錳、硝酸鹽、銨鹽等化學組成。
對玫瑰紅染色的活體有孔蟲進行挑樣、清洗,并使用激光剝蝕ICP-MS技術分析單個房室的Mn/Ca比值。
數據分析與關聯:計算各物種的平均生活深度,將有孔蟲的Mn/Ca比值、分配系數與其微棲息地、孔隙水化學以及底層水氧含量進行統計關聯和對比,以驗證和發展已有的理論模型。
四、測量數據、研究意義及來源
研究者測量了多個層面的數據,其意義和來源如下:
有孔蟲殼體Mn/Ca比值:這是最核心的數據,通過LA-ICP-MS技術獲得,提供了單顆有孔蟲甚至單個房室的化學信息。
研究意義:直接反映了有孔蟲在生長過程中所處環境的錳有效性,是連接生物指標與環境條件的直接證據。




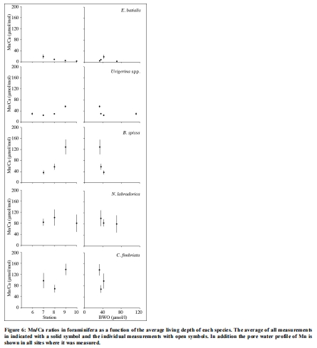
數據來源:文檔圖3展示了不同房室間的Mn/Ca變異性,證明了個體發育影響不顯著;文檔圖4以散點圖形式展示了所有測量的單個有孔蟲的Mn/Ca值與其在沉積物中發現深度的關系;文檔圖5和文檔圖6則系統性地展示了不同物種Mn/Ca比值與其平均生活深度和底層水氧含量的關系。
孔隙水化學數據:測量了孔隙水中溶解錳、硝酸鹽、銨鹽的濃度剖面。
研究意義:這些數據定義了有孔蟲微棲息地的化學環境,特別是錳的還原帶位置和強度,是解釋有孔蟲Mn/Ca比值變化的直接環境背景。

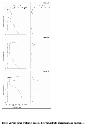
數據來源:文檔圖2清晰地展示了各站點的孔隙水化學剖面(氧、硝酸鹽、銨、錳)。
有孔蟲生態學數據:通過切片計數確定了各物種的平均生活深度,從而將其劃分為淺底棲、中間底棲和深底棲類群。
研究意義:將生物行為(棲息偏好)與地球化學指標聯系起來,是解釋種間Mn/Ca差異的關鍵。
數據來源:平均生活深度數據總結在文檔圖5中,原始計數數據來源于引用的Fontanier et al. (2014)的研究。
底層水氧含量:使用CTD搭載的氧傳感器測量。
研究意義:提供了研究斷面的整體氧脅迫梯度,是環境變化的主控因子。

數據來源:站點信息總結在文檔表1中。
五、研究結論
Mn/Ca比值確鑿地反映了微棲息地:在所有站點,淺底棲種 E. batialis的Mn/Ca比值最低,中間底棲種 Uvigerinaspp. 和 B. spissa次之,深底棲種 N. labradorica和 C. fimbriata最高。這證明有孔蟲殼體Mn/Ca是其棲息深度的可靠指標。
Mn摻入主要受環境驅動:研究未發現Mn/Ca比值與有孔蟲房室序號(個體發育)之間存在系統性關系,表明Mn的摻入主要受外界環境(孔隙水Mn2?濃度)控制,而非生物學分餾效應。
中間底棲物種是理想的古環境代理:中間底棲物種(如 B. spissa)的Mn/Ca比值與研究斷面的底層水氧含量顯示出顯著的負相關關系。由于它們的棲息地緊鄰錳還原帶,對氧化還原條件的變化非常敏感,因此是重建古底層水氧含量的最佳候選者。
驗證并完善了現有模型:本研究在太平洋獲得的數據支持了之前在阿拉伯海建立的TROXCHEM3模型,表明該模型在不同海域具有普適性。
六、丹麥Unisense電極測量數據的研究意義詳解
丹麥Unisense微電極在本研究中用于高精度、高空間分辨率地測量沉積物中的溶解氧濃度剖面,并精確確定氧氣的穿透深度。
其研究意義至關重要,體現在以下幾個方面:
精確界定氧化還原界面:Unisense電極提供的毫米級分辨率數據(見文檔圖2第一行)能夠精確描繪出沉積物中氧氣耗盡的具體深度。例如,數據顯示在所有站點,氧氣穿透深度都小于5毫米,在最貧氧的6號站甚至小于2毫米。這一定量數據至關重要,因為它明確了有氧氧化和厭氧還原(包括錳還原)過程發生的具體空間位置。
為有孔蟲微棲息地提供關鍵的化學背景:有孔蟲的垂直分布直接受沉積物中氧化還原梯度的控制。Unisense電極測得的氧氣穿透深度,與通過有孔蟲計數得到的平均生活深度(文檔圖5)相結合,將有孔蟲的“居住地址”與其所處的“化學環境”進行了精確的時空關聯。例如,數據顯示深底棲有孔蟲(如 N. labradorica)確實生活在氧氣早已耗盡的沉積層中,這為其殼體中出現高Mn/Ca比值(因為該環境富含Mn2?)提供了直接且令人信服的解釋。
揭示環境異質性,支持深入討論:高分辨率的氧數據揭示了不同站點之間氧化還原結構的差異。例如,6號站和8號站的錳還原發生在非常靠近沉積物-水界面的位置(約1厘米深處),而10號站的錳還原峰則出現在更深的5-6厘米處。這種差異促使作者在討論中深入分析了可能導致這種格局的原因,如錳的“穿梭”效應(錳氧化物沿海底運輸和再沉積)或錳的循環效率。因此,Unisense電極的數據不僅是描述性的,更是啟發性的,推動了對于控制孔隙水錳分布的地球化學過程的更深層次探討。
總結:丹麥Unisense電極在本研究中扮演了 “化學標尺”和“過程探針”的角色。它提供的高質量溶解氧數據,將宏觀的底層水氧含量與微觀的沉積物孔隙水化學以及有孔蟲的生態行為精確地聯系起來,為論文的核心結論——有孔蟲Mn/Ca比值是其微棲息地偏好和周圍氧化還原條件的可靠指示計——提供了堅實、定量化的實驗基石。